苯啶菌酮(Pyriofenone)是2001年由日本石原产业株式会社开发的芳基苯基酮类(吡啶类)杀菌剂,苯啶菌酮具有保护和治疗作用,目前全球范围内被开发用于谷物、果树和蔬菜等如小麦、黄瓜、西葫芦、草莓等作物防治白粉病,虽然目前国际部分地区出现了较为明显的抗性,但在国内苯啶菌酮并未登记,其可作为防治白粉病的替代和抗性管理工具。苯啶菌酮专利保护期已于2021年届满。
英文名称:pyriofenone
中文名称:苯啶菌酮
其他名称:甲氧苯唳菌
化学名称:(5-氯-2-甲氧基-4-甲基吡啶-3-基)-(2,3,4-三甲氧基-6-甲基苯基)甲酮
分子式:C18H20ClNO5
相对分子质量:365.808
CAS登录号:688046-61-9
结构式:

三维结构式:

理化性质:外观:白色晶体粉末(99.19%),白色粉末(97.88%),无味。熔点:93~95 ℃;密度(20 ℃):1.33 g/mL;分解温度:>100°C (99.19%);蒸汽压:1.9×10-6 Pa(99.19%,25°C);亨利定律常数:1.9×10-4Pa·m3/mol;分配系数(20 °C,pH 7.2~7.5,99.19%):log Pow=3.2;离解常数(pKa):4.02;表面张力(20 ℃,90%的饱和溶液,99.19%):72 mN/m。有机溶剂中溶解度(g/L,20 ℃,97.88%):二氯甲烷>250,甲醇23.6,正己烷9.2,正辛醇17.8,丙酮>250,二甲苯>250,1,2-二氯乙烷>250,乙酸乙酯>250。水中溶解度(20 ℃,99.19%,pH 6.6):1.56 mg/L。
在铝、铁、锌和它们对应的乙酸盐中稳定;和常见的氧化和还原剂如KMnO4 和Zn 相容。
苯啶菌酮作用于激动蛋白,肌动蛋白是细胞分裂等具有重要功能的蛋白质,因此苯啶菌酮的作用导致细胞分裂不全,引起白粉病菌的孢子和孢子柄的形态异常。国际杀菌剂抗性行动委员会将其划归为 FRAC 50,B6,芳基苯酮组。
苯啶菌酮预防性应用时可抑制病原菌附着孢的形成及随后菌丝体渗入植物细胞;病害出现后应用苯啶菌酮可抑制病原菌次生菌丝、菌丝体和孢子的形成。
应用作物:番茄、迷你番茄、草莓、茄子、青椒、豆荟、紫菜、小麦、苹果、黄瓜、草莓、西瓜、甜瓜、南瓜
防治病害:白粉病
常见剂型:180g/L苯啶菌酮SC、300 g/L苯啶菌酮SC
应用技术:


苯啶菌酮2011 年上市,2012 年在韩国和英国、2013 年在日本和欧盟取得登记。
2014年2月1日,苯啶菌酮作为新有效成分被列入欧盟农药登记条例(1107/2009)已登记有效成分名单,有效期至2024年1月31日,近日欧盟将其有效期延至2025年1月31日。
2016年,苯啶菌酮在澳大利亚和加拿大获准登记,商品名Kusabi300、Pyriofenone 300,用于防治葫芦科蔬菜和某些浆果作物上的白粉病。
2017 年,石原产业/住友化学的苯啶菌酮产品Prolivo 300 SC 在美国登记,用于葫芦科蔬菜、浆果作物等。
2001年日本石原产业株式会在美国、中国、韩国等28个国家和地区申请了包括苯啶菌酮在内的相关苯甲酰吡啶衍生物的相关专利。
专利名称:苯甲酰吡啶衍生物或其盐、含有它作为活性成分的杀真菌剂、它的产生方法以及用于产生它的中间体
申请号:CN01812289.2
申请日:2001/07/05
公开号:CN1440389A
失效日:2021/07/05
初始申请人:石原产业株式会社
当前专利权人:石原产业株式会社
其他国家专利:EG20010000743、DK20010947857、EP20010947857、ES20010947857、HU2004000052、AU20010269456、BR20010112199DE2001630454T、AT20010947857、CY200711001484HUS1500038C、NL20170350079、
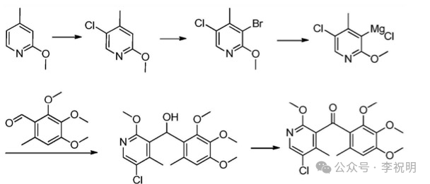
路线一:日本石原石原产业株式会社在专利CN1874680中披露了苯啶菌酮的合成路线,以2-甲氧基-4-甲基吡啶,为起始原料制备,虽然最后一步苯啶菌酮的收率为90%,但中间体(5-氯-2-甲氧基-4-甲基吡啶-3-基)(2,3,4-三甲氧基-6-甲基苯基)甲醇经3-溴-5-氯-2-甲氧 基-4-甲基吡啶调制5-氯-2-甲氧基-4-甲基-3-吡啶基氯化镁,进而与2,3,4-三甲氧基-6-甲基苯甲醛反应得到,收率仅为70%,成本较高。合成路线如下:

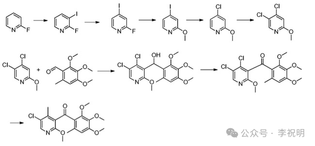
路线二:上海农药研究所的张一宾老师在“卤代吡啶衍生物在农药和医药合成中的应用”中提到以2-氟吡啶为起始原料合成苯啶菌酮的路线,经过多步反应,其中中间体(2,3,4-三甲氧基-6-甲基苯基)(4,5-二氯-2-甲氧基-3-吡啶基)甲醇通过4,5-二氯-2-甲氧基吡啶与2,3,4-三甲氧基-6-甲基苯甲醛反应得到,收率较低,仅为51%,苯啶菌酮的收率为75%。合成路线如下:

路线三:文献报道以2-氯-4-甲基烟酸盐(1)为起始原料合成苯啶菌酮的方法,SNAr 反应引入甲氧基,之后吡啶环发生选择性氯化,生成化合物2,产率85%。化合物2 水解产生对应酸(3),再转化为氯化酸(4)。在Lewis 酸催化下,化合物4 与3,4,5-三甲氧基甲苯(5)发生Friedel-Crafts烷基化反应,生成苯啶菌酮。氯化酸的形成和Friedel-Crafts烷基化反应为“一锅法”,既经济又环境友好。路线如下:文献[1] Jeanmart S , Edmunds A J F , Lamberth C ,et al.Synthetic approaches to the 2010-2014 new agrochemicals.[J].Bioorganic & Medicinal Chemistry, 2016, 24(3):317-341.DOI:10.1016/j.bmc.2015.12.014.

路线四:专利CN112441967报到了中间体(5‐氯‐2‐甲氧基‐4‐甲基吡啶‐3‐基)(2,3,4‐三甲氧基‐6‐甲基苯基)甲醇的合成路线,以5‐氯‐2‐甲氧基‐4‐甲基烟醛和 (2,3,4‐三甲氧基‐6‐甲基苯基)硼酸在镍系催化 剂作用下反应,制备得到(5‐氯‐2‐甲氧基‐4‐甲 基吡啶‐3‐基)(2,3,4‐三甲氧基‐6‐甲基苯基)甲醇,该专利将中间体(5‐氯‐2‐甲氧基‐4‐甲基吡啶‐3‐基)(2,3,4‐三甲氧基‐6‐甲基苯基)甲醇的收率由路线一的70%,提到高90%。路线如下:

苯啶菌酮+氟吡菌酰胺:该组合用于防治由子囊菌引起的白粉病具有特效,且两者无交互抗性,明显提高防效和持效期。
苯啶菌酮+灭菌丹/克菌丹:该组合用于防治蔬菜白粉病,具有优异的保护和治疗作用,延长持效,抗性相对来的慢。
苯啶菌酮+丙硫菌唑/戊唑醇/苯醚甲环唑/环丙唑醇:可用于防治谷物田常见病害,白粉病、灰霉病、黑斑病、褐斑病、黑胫病、菌核病和锈病等病害,对白粉病特效。
苯啶菌酮+肟菌酯/醚菌酯:增效作用明显,防效高,适合于防治瓜果蔬菜上的多种病害,尤其适合于防治白粉病。
苯啶菌酮+氟吡啶虫酯:该组合用用于防治白粉病具有明显的增效作用,同时对双翅目害虫具有较高的防效,节省了成本。
苯啶菌酮+螺环菌胺:该组合对白粉病有特效,可提供全面的保护和超强持效期且不易产生抗性。
苯啶菌酮+乙嘧酚/乙嘧酚磺酸酯:该组合对于白粉病有特效,同时可提供较长时间的保护,增效作用明显,退粉快。
白粉病俗称白毛,是一种广泛发生的世界性病害。病原菌主要通过气流传播,具有潜育期短、再侵染频繁、流行性强等特点,病原菌可寄生西葫芦、黄瓜、南瓜、甜瓜、西红柿、草莓等蔬菜作物和小麦、水稻等谷物以及果树等作物。空气相对湿度较大,温度在20~24℃时,白粉病易于发生。研究表明,白粉病病原菌分生孢子的最适萌发温度为20~25℃,湿度为80%以上。目前白粉病主要的防治方法还是化学农药,苯啶菌酮作为白粉病防治的特效新药,具有保护和治疗作用,预防性应用苯啶菌酮时可抑制病原菌附着孢的形成及随后菌丝体渗入植物细胞;病害出现后应用苯啶菌酮可抑制病原菌次生菌丝、菌丝体和孢子的形成。目前苯啶菌酮专利期已届满,其可作为白粉病的抗性管理工具在未来为我国植物真菌性白粉病的防治提供全新的解决方案。