三氟甲氧威(Tolprocarb)是日本三井化学株式会社2004年开发的新型氨基甲酸酯类杀菌剂,据报道其可能是基于拜耳公司开发的异丙菌胺(撷霉威)和苯噻菌胺的基础上经优化得到的具有全新作用机理的化合物。三氟甲氧威对水稻稻瘟病和真菌性病害具有优异的防效,同时对梨黑星病、桃炭疽病、桃灰星病,以及果树、蔬菜等灰霉病、菌核病有效。其专利期已于2024年10月20日届满,是值得关注的优秀化合物。
英文名称:tolprocarb
中文名称:三氟甲氧威
化学名称:N-[(2S)-3-甲基-1-[(4-甲基苯甲酰基)氨基]丁-2-基]氨基甲酸(2,2,2-三氟乙基)酯
分子式:C16H21F3N2O3
相对分子质量:346.345
CAS登录号:911499-62-2
结构式:

三维结构式:

理化性质:纯品为白色无嗅粉末状固体;蒸气压:1.8×10-6Pa(25℃);密度:1.3 g/cm3(20℃);熔点:133.7~135.0(25℃);沸点:259℃时分解。辛醇/水分配系数logPow=3.28(25℃)。其不溶于水。
三氟甲氧威属于黑色素生物合成聚酮合酶(PKS)抑制剂(MBI-P),通过调控聚酮化合物合成和酮内酯(pentaketide)环化来抑制黑色素生物合成。同时研究表明三氟甲氧威可以刺激水稻启动系统获得性抗性,从而抑制细菌性病害的侵入。
研究结果表明,与一些传统的黑色素生物合成抑制剂(cMBIs)相比,三氟甲氧威只能在离体条件下抑制PKS活性;三氟甲氧威作用于稻瘟病菌的靶蛋白为 PKS,此即是三氟甲氧威不同于其他黑色素生物合成抑制剂之处。

应用作物:水稻、果树、蔬菜等
防治病害:水稻稻瘟病、水稻细菌性叶枯病,梨黑星病、桃炭疽病、桃灰星病、番茄灰霉病、油菜菌核病等
常见剂型:3%三氟甲氧威GR、6%三氟甲氧威GR、
使用方法:三氟甲氧威颗粒剂产品用于育苗箱时,于水稻移栽前3 d至移栽当天撒施1次;也可在水稻出穗前5~30 d撒施1次,使用剂量300~400 g/hm2,用药总次数不宜超过2次。当用于防治果树病害时,可制成20%三氟甲氧威EC,使用质量浓度为50~100 mg/L。


日本登记情况

化合物专利
2001年10月20日,日本三井化学在中国、日本、美国、巴西、韩国、中国香港等14个国家和地区申请了基于三氟甲氧威在内的二胺衍生物的化合物专利,这些专利大都在2024年届满。
专利名称:二胺衍生物,其制备方法,以及含有其作为活性成分的植物病害防治剂
申请日期:2004/10/20
公开号:WO2005042474A1
优先权号:JP20030372467
初始申请人:MITSUI CHEMICALS AGRO INC
当前专利权人:MITSUI CHEMICALS AGRO INC
其他国家专利:EP1681285A1、JP4627496B2、AU2004284997B2、BRPI0415972A、CN1863766A 、WO2005042474A1、US2007049635A1 、VN0014522B 、TW200526116A 、IL174919A0、IN279126B
制备专利:2011年日本三井化学在中国、日本、韩国、印度4个国家申请了基于三氟甲氧威在内的乙二胺衍生物的制造方法专利。
专利名称:具有含氟氨基甲酸酯基的氨基酸酰胺衍生物的制造方法、其制造中间体、及乙二胺衍生物的制造方法
申请号:WO2011JP05307
申请日:2011/09/21
公开历史:WO2012039132A1
首次公开日:2012/03/29
最早优先权日:2010/09/22
优先权:JP20100212143 2010/09/22
初始申请人:MITSUI CHEMICALS AGRO INC当前专利权人:MITSUI CHEMICALS AGRO INC
其他国家专利:JP20120534932、CN20118004495、KR20137008216、IN2013DELNP326
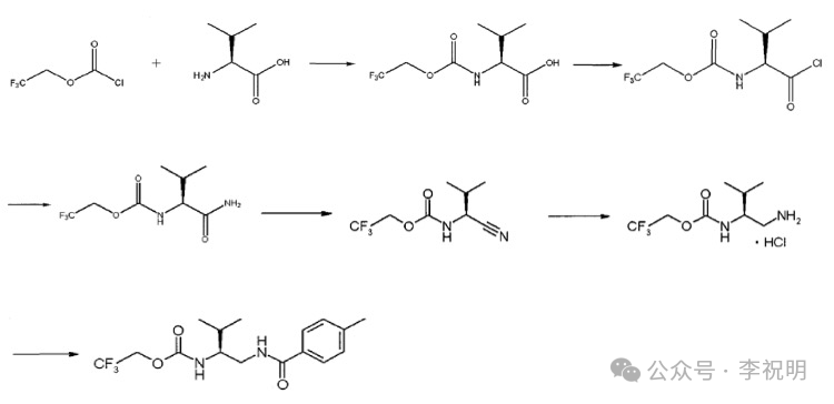
路线一:(原研专利)三井化学在专利WO2012039132A1中描述了三氟甲氧威的合成,即以L-缬氨酸和氯甲酸-2,2,2-三氟乙酯为起始原料制备三氟甲氧威,合成路线如下:

路线二:农药学杂志2019年6月15日期刊描述了新型杀菌剂三氟甲氧威的合成路线,即以N-叔丁氧基羰基-(N-Boc-)保护的L-缬氨酸甲酯与硼氢化钠发生还原反应,之后发生Mitsunobu偶联反应,再肼解生成胺衍生物(d)。之后形成酰胺键,再去N-Boc保护后得到胺衍生物(f)。最后胺衍生物(f)和氯甲酸酯(g)发生反应生成三氟甲氧威。合成路线如下:

路线一和路线二的思路相同,区别在于反应顺序不同。
三氟甲氧威+烯丙苯噻唑/二氯菌噻:组合为防治稻瘟病的特效药,两者组合做成颗粒剂,在秧盘或水稻苗后使用,可为水稻提供整个生长期的保护。
三氟甲氧威+中生菌素/春雷霉素:明显增效作用,安全性好,适用于防治水稻稻瘟病和白叶枯病,且适用于低空小型无人驾驶飞机的水稻田。
三氟甲氧威+氟唑菌苯胺:可用于防治多种作物苗期和成熟期的土传及种传病害。
三氟甲氧威+肟醚菌胺:可用于防治农作物上的多种病害,尤其适用于防治水稻稻瘟病和纹枯病,具有用药量低、增效作用明显、安全性好等特点。
三氟甲氧威+氯氟联苯吡菌胺:可用于防治农作物上的多种病害,尤其适用于防治水稻稻瘟病和果树、蔬菜灰霉病,具有用药量低、增效作用明显、安全性好等特点。
氨基甲酸酯类农药的特点是抗性来的非常慢,三氟甲氧威作为新型黑色素生物合成聚酮合酶(PKS)抑制剂具有独特的作用机理,且与其他黑色素生物合成抑制剂类杀菌剂不存在交互抗性,另外三氟甲氧威对黑星病,灰霉病,菌核病都有较好的防效,且选择性和安全性很高,与目前的大部分SDHI类杀菌剂有相同的杀菌谱,因此三氟甲氧威可以用于抗性治理。同时,三氟甲氧威不仅可以与多种杀菌剂配伍,还能和多种杀虫剂如呋虫胺、氯虫苯甲酰胺、溴虫氟苯双酰胺、三氟苯嘧啶、苯嘧虫噁烷、噁唑磺酰虫啶等复配,这使其在实际应用中具有更好的灵活性和适应性。同时,它在水稻及育苗等作物上表现出良好的稳定性和持效性,能够长时间保持杀菌效果,减少用药次数和成本。综上所述,三氟甲氧威有机会在未来为我国水稻种植防治稻瘟病等病害提供新的解决方案。