提示
×
取消
确定
当前位置:首页 > 专利专论
新型吡唑酰胺类杀菌剂——异丙氟吡菌胺
来源:李祝明微信公众号   发布时间:2024-12-24 11:02
简述
异丙氟吡菌胺(isoflucypram)是德国拜耳公司2012年发现的新型吡唑酰胺类杀菌剂,2019年在新西兰首登,作为新一代SDHI类杀菌剂异丙氟吡菌胺具有新颖的化学结构,其分子中的酰胺键部分引入了环丙基,在此前的同类杀菌剂中仅有氟唑菌酰羟胺是在酰胺键部分引入了取代基,这也使的其在性能上较其他SDHI类杀菌剂有较大的提升。
异丙氟吡菌胺(isoflucypram)是德国拜耳公司2012年发现的新型吡唑酰胺类杀菌剂,2019年在新西兰首登,作为新一代SDHI类杀菌剂异丙氟吡菌胺具有新颖的化学结构,其分子中的酰胺键部分引入了环丙基,在此前的同类杀菌剂中仅有氟唑菌酰羟胺是在酰胺键部分引入了取代基,这也使的其在性能上较其他SDHI类杀菌剂有较大的提升。目前异丙氟吡菌胺被开发用于防治谷物田真菌性病害,如大麦网斑病、叶斑病、叶锈病,小麦条锈病、叶锈病、叶枯病,黑麦条锈病和叶锈病等,其具有广谱,高效,用药量低,持效期长,促进谷物增产等特点。目前异丙氟吡菌胺尚属于推广前期,许多特性还有待发现,笔者推测其对菌核病和灰霉病以及根结线虫等都会有较好的防治效果,当然这有待验证。


01 产品简介


英文名称:isoflucypram

中文名称:异丙氟吡菌胺

化学名称:N-[(5-氯-2-丙-2-基苯基)甲基]-N-环丙基-3-(二氟甲基)-5-氟-1-甲基吡唑-4-甲酰胺

分子式:C19H21ClF3N3O

相对分子质量:399.838

CAS登录号:1255734-28-1

结构式:

图片


三维结构式:

图片


理化性质:纯品为无味白色粉末,原药为具有轻微气味的浅米色粉末。熔点108.8℃,在215℃开始分解;相对密度:纯品D420=1.22,原药D420=1.31;蒸气压:1.2×10-7Pa(20℃)、2.8×10-7 Pa(25℃)、1.5×10-5 Pa(50℃);表面张力σ=68.2 mN/m(90%饱和溶液,20℃)。水中溶解度:1.8 mg/L(20℃,蒸馏水,pH 5.8);有机溶剂中的溶解度(20℃,g/L):正庚烷1.2,甲苯>260,二氯甲烷>260,甲醇97,丙酮>260,乙酸乙酯>260,二甲亚砜>260。分配系数:logPow=4.0(25℃)。 

02 作用机理


异丙氟吡菌胺为琥珀酸脱氢酶抑制剂,即SDHI类杀菌剂品种,作用于复合体II。通过干扰呼吸电子传递链复合体Ⅱ上的三羧酸循环来抑制线粒体的功能,阻止其产生能量,抑制病原菌生长,最终导致其死亡。

03 应用

‍‍
应用作物:谷物田如大麦、小麦、黑麦、水稻等以及花生、马铃薯、西红柿、瓜类以及果树、观赏植物等。

防治病害:大麦网斑病、叶斑病、叶锈病,小麦条锈病、叶锈病、叶枯病,黑麦条锈病和叶锈病、番茄白粉病、草莓灰霉病、油菜菌核病、水稻纹枯病等‍‍‍‍‍‍‍

开发剂型:50g/L异丙氟吡菌胺EC,可与丙硫菌唑、嘧菌环胺、啶氧菌酯开发复配制剂

04 登记情况


2019年,异丙氟吡菌胺在新西兰获得首登登记规格为50克/升,剂型为乳油,2020年上市。2020年4月,拜耳又登记了异丙氟吡菌胺与丙硫菌唑的复配剂型,登记规格为:50 g/L 异丙氟吡菌胺+100 g/L丙硫菌唑,剂型为乳油,于2021年上市。

新西兰登记信息


图片


图片

图片

图片


05 专利情况


2013年拜耳在包括欧洲、中国、美国、加拿大、巴西、澳大利亚、韩国、日本等14个国家和地区申请了基于异丙氟吡菌胺的化合物专利等


化合物专利:


专利名称:n-环烷基-n-[(杂环苯基)亚甲基]-(硫代)甲酰胺衍生物


专利号:‍‍‍WO2013156559A1


申请日期:2013/04/18


优先权号:EP20120356010、EP20120356015、US201261675001P


当前申请(专利权)人:拜尔农作物科学股份公司


其他国家专利:BR20141125976、AU20130251109、EP20130719444、CN20138002086、JP20150506237、KR20147032119、MX20140012449、US20131439503、UAA201412399


合成专利:


专利名称:生产羧酰胺的方法


申请日:2013-11-08


公开(公告)号:CN104781237A


当前申请(专利权)人:拜尔农作物科学股份公司


其他国家专利:IL238755A0、US20160009655A1、US9656964B2、TWI610922B、MX2015005854A、KR20150082602A、ES2646003T3、


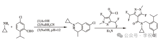
06 合成路线


以环丙烷胺、5-氯-2-异丙基苯甲醛为中间体,卤代物与胺基反应得N-(2-异丙基-5-甲基苄基)环丙烷胺(该中间体的制备可参考拜耳专利CN107056621A、CN104245660A),所得中间体与3-(二氟甲基)-5-氟-1-甲基-1H-吡唑-4-酰氯反应得到目标产物异丙氟吡菌胺,路线图如下:

                      

图片


07 复配推介


异丙氟吡菌胺+喹啉铜:该组合用于防治多种马铃薯早疫病、花生褐斑病、花生黑斑病等真菌性病害,具有杀菌谱广,持效期长,无交互抗性等特点。


异丙氟吡菌胺+啶氧菌酯该组合可适用于白粉病,锈病,颖枯病,网斑病,霜霉病,稻瘟病等病害的防治,对葡萄白粉病的防治表现出明显的增效作用。


异丙氟吡菌胺+三氟杀线酯+氟噻虫砜该组合可提高对线虫的防治效果,延长线虫的防治周期,有效减缓靶标害虫的抗药性产生,减少土传病害的发生。


异丙氟吡菌胺+胺吡菌酯:该组合药剂对多种果蔬作物白粉病和灰霉病有特效,同时对谷物田真菌性病害如水稻纹枯病、小麦赤霉病等防效较好。‍‍‍‍‍‍‍‍‍


异丙氟吡菌胺+氟啶胺:该农药组合可用于防治农作物,蔬菜上的病害,如在防治水稻纹枯病方面效果显著.


异丙氟吡菌胺+嘧菌环胺:该组合适用于瓜类,蔬菜,果树等作物灰霉病的防治,具有明显的增效作用降低了农药使用成本,提高经济效益。


08 前景展望


作为新一代SDHI类杀菌剂,异丙氟吡菌胺的分子结构经过精心设计和优化,引入了环丙基等独特的结构基团,从而提升了产品性能。这些结构基团使得异丙氟吡菌胺在生化构效关系上更加稳定,与SDH辅酶Q的结合更加紧密,从而增强了其杀菌效果,同时异丙氟吡菌胺能够在较长时间内保持对病害的防控效果,减少了农药的使用频率,降低了农业生产成本,使得作物在整个生长周期内都能保持健康状态,此外,异丙氟吡菌胺还能显著延长谷物灌浆时间,增加单粒重量,从而提高谷物产量和品质。据预测异丙氟吡菌胺的年销售额将达3亿美元,未来异丙氟吡菌胺有望成为谷物田防治真菌性病害的新标杆。