提示
×
取消
确定
当前位置:首页 > 新闻资讯
双向内吸传导杀虫剂螺虫乙酯,复配更具前途
来源:农化专利网   发布时间:2023-09-06 09:25
简述
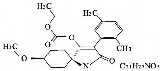
螺虫乙酯是一种新型杀虫、杀螨剂,具有双向内吸传导性,对防治刺吸式口器害虫,如蚜虫、叶蝉、蚧壳虫、木虱、粉虱等有较好效果,常用于柑橘上防治红蜘蛛和介壳虫。通用名称:spirotetramat分子式:C21H27NO5登记号:203313-25-1化学名称:4-(乙氧基羰基氧基)-8-甲氧基-3-(2,5-二甲苯基)-1-氮杂螺[4,5]-癸-3-烯-2-酮。

螺虫乙酯是一种新型杀虫、杀螨剂,具有双向内吸传导性,对防治刺吸式口器害虫,如蚜虫、叶蝉、蚧壳虫、木虱、粉虱等有较好效果,常用于柑橘上防治红蜘蛛和介壳虫。

通用名称:spirotetramat

分子式:C21H27NO5

登记号:203313-25-1

化学名称:4-(乙氧基羰基氧基)-8-甲氧基-3-(2,5-二甲苯基)-1-氮杂螺[4,5]-癸-3-烯-2-酮;

结构式:

图片

其作用机理与现有的杀虫剂不同,是通过干扰昆虫的脂肪生物合成导致幼虫死亡, 降低成虫的繁殖能力,这种独特的内吸性能可以保护新生茎、叶和根部,防止害虫的卵和幼虫生长。高效广谱,持效期长,有效防治期可长达8周。







理化性质


螺虫乙酯属于季酮酸类化合物,与拜耳公司的杀虫杀螨剂螺螨酯和螺 甲螨酯属同类化合物。从化学结构来看,除了芳基部分外,螺虫乙酯与螺螨酯、 螺甲螨区别都较大,尤其是分子中引人了立体异构和对母核季酮酸的结构突破,从而使其在生物活性和作用方式等方面产生了较大的变化。

作用方式


螺虫乙酯化合物可以在整个植物体内上下移动,从而防治如生菜和白 菜叶上及果树皮上的害虫,可以保护新生茎、叶和根部,防治害虫的卵和幼虫生长;其另一个特点是持效期长,可提供长达8周的有效防治。




经中国农药信息网查询,截至2023年9月4日,我国螺虫乙酯登记的有效证件有151个,其中,原药16个,单剂50个,混剂101个。

图片


复 配

01

螺虫乙酯150 OD与1.8%阿维菌素EC复配,对烟粉虱各个虫态都具有良好的药效。


02

螺虫乙酯与新烟碱类药剂复配,对田间取食不同寄主的烟粉虱具有良好的防效,并且能改善螺虫乙酯单剂在田间速效性差的缺点,同时仍具备较好的持效性。


03

螺虫乙酯与乙螨唑混配,对柑橘全爪螨及苹果全爪螨具有显著增效作用,并能改善乙螨唑在田间速效性差的缺点,且还能提高2种药剂的持效性。

04

螺虫乙酯与杀菌剂的混用能同时防治植物上发生的病害与虫害,24%螺虫乙酯SC与25%溴菌腈WP及2.5%适乐时FS复配后,对棉花田常见的炭疽病、红腐病和立枯病均有良好的防效,并且能有效控制棉花田害虫绿盲蝽和棉蚜的发生。


螺虫乙酯的复配研究扩大了螺虫乙酯的适用范围,当该药剂与其他类杀虫剂混用后,不仅能减少用药量、减缓抗药性的发生,更能扩大杀虫谱、提高速效性,是一种值得在田间推广应用的施药方式之一。


图片

文章来源:农博生物