提示
×
取消
确定
当前位置:首页 > 专利专论
新型三嗪酮类除草剂三氟草嗪,可用作抗性管理工具
来源:李祝明公众号   发布时间:2024-05-23 10:40
简述
三氟草嗪(trifludimoxazin)是巴斯夫公司2010年开发的具有三嗪酮类结构的原卟啉原氧化酶(PPO)抑制剂类除草剂,作为首个通过叶面触杀防除禾本科杂草的具有新颖作用机理的选择性除草剂三氟草嗪目前主要应用于谷物田、豆类、果树、休闲地及非作物领域用来防除黑麦草、早熟禾等禾本科杂草和十字花科、菊科、及苋属等阔叶杂草。

三氟草嗪(trifludimoxazin)是巴斯夫公司2010年开发的具有三嗪酮类结构的原卟啉原氧化酶(PPO)抑制剂类除草剂,作为首个通过叶面触杀防除禾本科杂草的具有新颖作用机理的选择性除草剂三氟草嗪目前主要应用于谷物田、豆类、果树、休闲地及非作物领域用来防除黑麦草、早熟禾等禾本科杂草和十字花科、菊科、及苋属等阔叶杂草。三氟草嗪目前尚未在国内登记,但随着近几年国内草项的变化,三氟草嗪在国内有较好的推广潜力,其专利期将于2030年6月10日届满。


01 产品简介


英文名称:trifludimoxazin


中文名称:三氟草嗪

化学名称:1,5-二甲基-6-硫亚基-3-(2,2,7-三氟-3-氧亚基-4-丙-2-炔基-1,4-苯并噁嗪-6-基)-1,3,5- 三嗪烷-2,4-二酮

CAS登录号:1258836-72-4

分子式:C16H11F3N4O4S

相对分子质量:412.05

结构式:

图片


理化性质:三氟草嗪纯品是一种米白色至米黄色的无气味结晶粉末,熔点206℃,相对密度(20℃): 1.58g/mL;在正常大气压下无沸点(225℃以上会发生分解);蒸气压(20℃)1.1x10-10Pa,(25℃)3.2x10-10Pa;油水分配系数LogPow.(30℃)3.33;Henry定律常数小于2.5x10-8Pa.m3/mol;水中溶解度(纯水,pH=7.88, 20.1℃)1.78mg/L,其他溶剂中溶解度(g/L,20℃):甲醇10.8,甲苯36.0,乙酸乙酯155.2,二氯甲烷238.4,丙酮423.8,正庚烷0.0265。离解常数pKa=7.59(20℃);


02 作用机理


三氟草嗪(trifludimoxazin )属于原卟啉原氧化酶抑制剂,通过阻止叶绿素的合成进而造成原卟啉Ⅸ累积,使得植物因光合作用受阻而引起植物细胞饥饿和细胞膜的损伤,最终导致植物细胞死亡。


三氟草嗪(trifludimoxazin )高效、广谱,具有触杀和持效作用,播前、苗前、苗后均可使用。

03 应用


应用作物:大麦、小麦、玉米、大豆、花生、棉花、向日葵以及果树、休耕地等


靶标杂草:黑麦草、看麦娘、早熟禾、马唐、狗尾草、牛筋草、藜、豚草、繁缕、猪殃殃、播娘蒿、荠菜、百日草、泥胡菜、鬼针草、自生油菜、反枝苋、马齿苋、苘麻等禾本科杂草和阔叶杂草。

图片


常见剂型:500 g/L三氟草嗪SC

04 合成路线


经文献查询目前三氟草嗪的合成路线主要有三条。


路线一:以5-氟-2-硝基苯酚为起始原料,在钯碳催化剂作用下与氢气进行硝基还原反应生成2-氨基-5-氟苯酚,2-氨基-5-氟苯酚上的氨基氢经氢化钠活化后与2-溴-2,2-二氟乙酸乙酯经酰胺化反应后,生成2-溴-2,2-二氟-N-(4-氟-2-羟基苯基)乙酰胺,产物2-溴-2,2-二氟-N-(4-氟-2-羟基苯基)乙酰胺在有机碱脱酸剂DBU作用下进行Williamson醚化反应生成2,2,7-三氟-2H-苯并[b][1,4]噁嗪-3(4H)-酮,2,2,7-三氟-2H-苯并[b][1,4]噁嗪-3(4H)-酮在硫酸和硝酸的作用下进行硝化反应生成产物2,2,7-三氟-6-硝基-2H-苯并[b][1,4]噁嗪-3(4H)-酮,2,2,7-三氟-6-硝基-2H-苯并[b][1,4]噁嗪-3(4H)-酮与3-溴丙炔再经酰胺的N-烷基化反应得到产物2,2,7-三氟-6-硝基-4-(丙-2-炔-1-基)-2H-苯并[b][1,4]噁嗪-3(4H)-酮,2,2,7-三氟-6-硝基-4-(丙-2-炔-1-基)-2H-苯并[b][1,4]噁嗪-3(4H)-酮在Fe还原剂下将硝基还原成氨基得到关键中间体6-氨基-2,2,7-三氟-4-(丙-2-炔-1-基)-2H-苯并[b][1,4]噁嗪-3(4H)-酮,6-氨基-2,2,7-三氟-4-(丙-2-炔-1-基)-2H-苯并[b][1,4]噁嗪-3(4H)-酮再与双光气在干燥的甲苯溶剂中反应生成异氰酸酯类化合物2,2,7-三氟-6-异氰酸基-4-(丙-2-炔-1-基)-2H-苯并[b][1,4]噁嗪-3(4H)-酮,最后2,2,7-三氟-6-异氰酸基-4-(丙-2-炔-1-基)-2H-苯并[b][1,4]噁嗪-3(4H)-酮与N,N-二甲基硫脲(L)、N,N′-羰基二咪唑(M)在干燥甲苯溶剂中环合得到目标产物三氟草嗪,具体合成路线见图:


图片


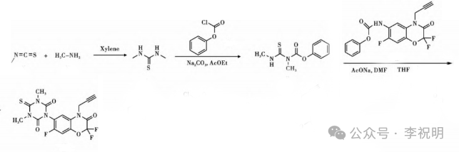
路线二:以异硫氰酸甲酯和一甲胺为初始原料生成N,N′-二甲基硫脲,N,N′-二甲基硫脲与氯甲酸苯酯,酰胺化得到N-甲基-N-(甲基氨甲酰)氨基甲酸甲酯,最后N-甲基-N-(甲基氨甲酰)氨基甲酸甲酯加入到苯基(2,2,7-三氟-3-氧代-4-(丙-2-炔-1-基)-3,4-二氢-2H-苯并[b][1,4]噁嗪-6-基)氨基甲酸酯,反应完全后即可制得目标化合物三氟草嗪,具体合成路线如下:

图片


苯基(2,2,7-三氟-3-氧代-4-(丙-2-炔-1-基)-3,4-二氢-2H-苯并[b][1,4]噁嗪-6-基)氨基甲酸酯的合成:

6-氨基-2,2,7-三氟-4-(丙-2-炔-1-基)-2H苯并[b][1,4]噁嗪-3(4H)-酮与氯甲酸苯酯反应,生成苯基(2,2,7-三氟-3-氧代-4-(丙-2-炔-1-基)-3,4-二氢-2H-苯并[b][1,4]噁嗪-6-基)氨基甲酸酯,合成路线如下:

图片


路线三:以2-溴-2,2-二氟乙酸乙酯和二甲胺为起始原料经酰化反应生成2-溴-2,2-二氟-N,N′-二甲基乙酰胺,产物2-溴-2,2-二氟-N,N′-二甲基乙酰胺与3-氟苯酚,经醚化反应生成2,2-二氟-2-(3-氟苯氧基)-N,N-二甲基乙酰胺,2,2-二氟-2-(3-氟苯氧基)-N,N-二甲基乙酰胺再进一步硝化得到产物2,2-二氟-2-(5-氟-2,4-二硝基苯氧基)-N,N′-二甲基乙酰胺,2,2-二氟-2-(5-氟-2,4-二硝基苯氧基)-N,N′-二甲基乙酰胺在Pb/C催化剂下与氢气还原且还原产物进一步醚化成环得到6-氨基-2,2,7-三氟-2H-苯并[b][1,4]噁嗪-3(4H)-酮,6-氨基-2,2,7-三氟-2H-苯并[b][1,4]噁嗪-3(4H)-酮与3-溴丙炔缩合生成关键中间体6-氨基-2,2,7-三氟-4-(丙-2-炔-1-基)-2H-苯并[b][1,4]噁嗪-3(4H)-酮,6-氨基-2,2,7-三氟-4-(丙-2-炔-1-基)-2H-苯并[b][1,4]噁嗪-3(4H)-酮再与氯甲酸苯酯,酰胺化反应得到产物苯基(2,2,7-三氟-3-氧代-4-(丙-2-炔-1-基)-3,4-二氢-2H-苯并[b][1,4]噁嗪-6-基氨基甲酸酯,最后产物苯基(2,2,7-三氟-3-氧代-4-(丙-2-炔-1-基)-3,4-二氢-2H-苯并[b][1,4]噁嗪-6-基氨基甲酸酯与氯甲酸苯酯和N,N′-二甲基硫脲的反应产物N-甲基-N-(甲基氨甲酰)氨基甲酸甲酯,进行环合得到最终产物三氟草嗪,具体合成路线如下:

图片


05 未来复配推介


三氟草嗪+氟唑磺隆:两者复配提供一种新型高效的小麦田除草组合,实现杀草谱广,有效防除禾本科杂草及众多阔叶杂草,以提高小麦的产量。


三氟草嗪+异丙隆:两者复配可适用于小麦、玉米等农田,弥补了单一制剂的不足,既能防治一年生禾本科杂草,又能防治阔叶科杂草,具有显著增效作用,且安全性好,是一种理想的除草组合。

三氟草嗪+特丁净/扑草净/噻吩磺隆/砜吡草唑:该组合主要用于土壤处理,可以有效防治小麦、玉米田杂草,增加了单一活性成分单独防治时的不足,既能防治一年生禾本科杂草,又能防治阔叶科和莎草科杂草。

三氟草嗪+环吡氟草酮:该组合能有效防除小麦、玉米、花生田的反枝苋、荠菜、播娘蒿、狗尾草、看麦娘、稗草等常见杂草,对抗性杂草播娘蒿、牛繁缕、麦家公、看麦娘、日本看麦娘等防除效果显著,且对小麦、玉米、花生安全性高,对下茬作物无影响,是一种优良的新型除草组合物。

三氟草嗪+噁草酮/乙草胺/异丙甲草胺:该组合可以用于花生田播后苗前施药、一次性完成花生田杂草的防治,操作简单,节省劳动力,易于推广,具有重要的社会意义和经济效益。

06 前景展望


三氟草嗪作为ppo抑制剂中重要的成员,具有一些显著的特点和优势。首先,它对多种禾本科杂草和阔叶杂草显示出绝佳的防效,可以广泛用于谷物、玉米、大豆、花生、柑橘、梨果等多种作物。其次,三氟草嗪的速效性好,持效期长,不仅能快速防除已发生的杂草,而且对多种杂草提供长达12周的持效作用。此外,三氟草嗪还可用作抗性管理工具,防除一些重要的抗性杂草,如苋属、豚草属等,以及难防除的黑麦草。


从市场角度看,三氟草嗪在澳大利亚首次登记后,全球商业化进程快速推进,虽然在美国的上市遇冷,但这并不影响三氟草嗪在ppo抑制剂除草剂中的重要性,并且对国内而言,三氟草嗪在玉米大豆复合种植区、冬小麦田种植区、新疆棉区等都有广阔的推广空间。