提示
×
取消
确定
当前位置:首页 > 专利专论
我国首个自主研发的新型芳酰基吡唑类除草剂——环吡氟草酮
来源:李祝明公众号   发布时间:2024-05-15 08:40
简述
环吡氟草酮(cypyrafluone)是清原农冠自主研发2018年在国内登记上市的芳酰基吡唑类除草剂,目前主要用于防除冬小麦田看麦娘、日本看麦娘、硬草、蜡烛草、棒头草等禾本科杂草以及印度和巴基斯坦的抗性小籽虉草,欧洲的大穗看麦娘、阿披拉草等杂草都十分高效。

环吡氟草酮(cypyrafluone)是清原农冠自主研发2018年在国内登记上市的芳酰基吡唑类除草剂,目前主要用于防除冬小麦田看麦娘、日本看麦娘、硬草、蜡烛草、棒头草等禾本科杂草以及印度和巴基斯坦的抗性小籽虉草,欧洲的大穗看麦娘、阿披拉草等杂草都十分高效。环吡氟草酮属于羟苯基丙酮酸酯双氧化酶(HPPD)抑制剂,与甲基二磺隆、啶磺草胺、氟唑磺隆等ALS抑制剂,炔草酯、唑啉草酯、精噁唑禾草灵等ACCase抑制剂,以及异丙隆等PS Ⅱ电子传递抑制剂都不存在交互抗性,具有活性高、残留低、对环境友好等特点。


 产品简介 


英文名称:cypyrafluone


中国名称:环吡氟草酮

其他名称:普草克

化学名称:1-(2-氯-3-(3-环丙基-5-羟基-1-甲基-1H-吡唑-4-羰基)-6-(三氟甲基)苯基)哌啶-2-酮

分子式:C20H19ClF3N3O3

相对分子质量:441.831

CAS登录号:1855929-45-1

结构式:

图片


理化性质:原药为棕褐色粉末,熔点144.5 ℃‍、沸点286 ℃、水溶性3.2mg/L(20℃,水)蒸气压(25℃)2.0x10-5Pa、不具有爆炸性,对包装材料无腐蚀性。


 作用机理 


环吡氟草酮是具有内吸传导作用的对羟苯基丙酮酸双氧化酶(HPPD)抑制剂类除草剂,通过抑制植物体 HPPD 的活性,使其底物转化为尿黑酸的过程受阻,从而导致生育酚及质体醌无法正常合成,进而影响靶标植物体内类胡萝卜素的合成,导致靶标植物叶片白化,最终使靶标植物死亡。


 应用 



应用:小麦、大麦、大蒜等


靶标杂草:对看麦娘、大穗看麦娘、牛繁缕、播娘蒿效果较好,对日本看麦娘、硬草、菵草、麦家公、婆婆纳和荠菜也表现较好防效,对雀麦、节节麦、多花黑麦草、早熟禾和泽漆等效果较差。


常见剂型:6 %环吡氟草酮OD


登记情况:目前国内只有清原农冠登记了95%环吡氟草酮原药、6%环吡氟草酮可分散油悬浮剂、25%环吡·异丙隆可分散油悬浮剂(3%环吡氟草酮+22%异丙隆)。


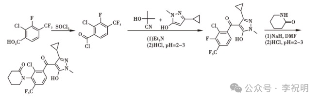
 合成路线 



环吡氟草酮的合成路线:以2-氯-3-氟-4-(三氟甲基)苯甲酸为原料,与氯化亚砜反应生成酰氯,再与关键中间体3-环丙基-1-甲基-1H-吡唑-5-醇发生酰化反应,得到(2-氯-3-甲基-4-(三氟甲基)苯基)(3-环丙基-5-羟基-1-甲基-1H-吡唑-4-基)甲酮,最终在氢化钠作用下与哌啶酮反应得到产物环吡氟草酮,合成路线如下:


图片


中间体:3-环丙基-1-甲基-1H-吡唑-5-醇的制备

合成路线:以碳酸二乙酯为起始原料制备3-环丙基-3-氧代丙酸乙酯,所得产物与甲基肼发生环化反应,得到中间体3-环丙基-1-甲基-1H -吡唑-5-醇。合成路线如下:

图片


 未来复配推介 



环吡氟草酮+唑啉草酯:二者复配具有明显的增效作用,特别是对于防治冬小麦田禾本科类的看麦娘、日本看麦娘、菵草、棒头草等杂草。


环吡氟草酮+三甲苯草酮:两者组合具有明显的增效作用,特别是对于防除冬小麦田对ALS及ACCase抑制剂产生抗性的看麦娘、日本看麦娘、硬草、菵草等有显著防除作用。

环吡氟草酮+吡草醚:两者组合具有明显的增效作用,扩大了杀草谱,靶标互补,弥补了吡草醚对看麦娘、播娘蒿防除效果差的缺陷,提高了环吡氟草酮对猪殃殃及繁缕的防除效果。

环吡氟草酮+砜吡草唑:两种成分组合增效作用明显,冬小麦田早期用药对小麦田抗性杂草播娘蒿、麦家公、日本看麦娘、多花黑麦草防除效果显著。

 前景展望 

环吡氟草酮是我国首个自主研发应用于小麦田苗后茎叶处理以防治禾本科杂草的除草剂,同时与现有的小麦田中防除禾本科杂草的除草剂如异丙隆、精噁唑禾草灵、甲基二磺隆、炔草酯、唑啉草酯、氟唑磺隆、啶磺草胺等作用机理不同。而国内禾本科作物中禾本科杂草的防除,一直都伴随着安全性及抗性问题,而环吡氟草酮安全性高,且对于目前稻麦轮作区对ALS及ACCase抑制剂产生抗性的看麦娘、日本看麦娘、硬草、菵草都有不错的防效。