提示
×
取消
确定
当前位置:首页 > 专利专论
优异的大豆锈病杀菌剂——苯并烯氟菌唑
来源:磊子侃农药   发布时间:2024-05-08 09:07
简述
苯并烯氟菌唑(benzovindiflupyr)是先正达2012年上市的谷物杀菌剂,商品名为Solatenol,该产品属于SDHI类杀菌剂。苯并烯氟菌唑是先正达发现的SDHI类杀菌剂,现由先正达和杜邦共同开发,先正达生产。

苯并烯氟菌唑(benzovindiflupyr)是先正达2012年上市的谷物杀菌剂,商品名为Solatenol,该产品属于SDHI类杀菌剂。


苯并烯氟菌唑是先正达发现的SDHI类杀菌剂,现由先正达和杜邦共同开发,先正达生产。苯并烯氟菌唑可与多种杀菌剂复配,如丙环唑、苯醚甲环唑和嘧菌酯等。苯并烯氟菌唑与嘧菌酯的复配产品Elatus是10年来对巴西亚洲大豆锈病防效最好的产品,是先正达有史以来增长最快、开发最成功的产品。Elatus以其杰出的产品性能斩获了2015年第八届Agrow Awards中的“最佳新作物保护产品奖”。
苯并烯氟菌唑,CAS号:1072957-71-1,分子式:C18H15Cl2F2N3O2,化学名称:N-[9-(二氯甲基)-1,2,3,4-四氢-1,4-亚甲基萘-5-基]-3-(二氟甲基)-1-甲基-1H-吡唑-4-羧酰胺。英文化学名称:N-[9-(dichloromethylene)-1,2,3,4-tetrahydro-1,4-methanonaphthalen-5-yl]-3-(difluoromethyl)-1 -methyl -1H -pyrazole -4 -carboxamide 。

图片


作用机理


苯并烯氟菌唑是琥珀酸脱氢酶抑制剂,作用于病原菌线粒体呼吸电子传递链上的蛋白复合体Ⅱ,即琥珀酸脱氢酶(succinate dehydrogenase,SDH)或琥珀酸-泛醌还原酶(succinate ubiquinone reductase,SQR),导致三羧酸循环(tricarboxylic acid cycle)障碍,阻碍其能量代谢,进而抑制病原菌的生长,导致其死亡,从而达到防治病害的目的。

靶标作物


苯并烯氟菌唑主要用于叶面喷雾或土壤处理可防治多种作物、草坪和花卉的叶面病害和土壤病害。


其在大豆、棉花、谷物、玉米和特种作物等许多作物上都展现了对主要病害的杰出防效。该产品对大豆亚洲大豆锈病具有杰出防效;对小麦叶枯病、全蚀病、基腐病,花生黑斑病均有很好的防治效果;尤其对小麦白粉病、玉米小斑病及灰霉病有特效。


大豆是苯并烯氟菌唑最重要的靶标作物,在南美洲。大豆锈病是其最重要的防治对象。


苯并烯氟菌唑和嘧菌酯的复配可用于防治温室或室外花卉白粉病、炭疽病、霜霉病、灰霉病和黑斑病等。


苯并烯氟菌唑和丙环唑复配乳油,用于防治多种作物的白粉病、炭疽病、霜霉病、灰霉病和黑斑病等。


毒理


苯并烯氟菌唑原药对大鼠急性经口LD50(雌性)55 mg/kg (b.w.)(高毒),大鼠急性经皮>2,000 mg/kg (b.w.)(低毒),大鼠急性吸入LC50>0.56 mg/L(微毒)。该剂对兔眼睛有微弱的刺激作用,对兔皮肤有微弱刺激作用,对CBA小鼠皮肤无致敏性。


苯并烯氟菌唑对蚯蚓LC50=406.4 mg (有效成分)/kg土壤(14 d):对蜜蜂LC50>100 μg (有效成分)/头蜜蜂(48 h,接触),对蜜蜂安全;对鹌鹑LD50=1,014 mg (有效成分)/kg (b.w.),有微毒(经口);野鸭LD50为每日3,132 mg (有效成分)/kg (b.w.),具有中等毒性。


苯并烯氟菌唑对水生生物高毒:


对水蚤LD50=0.085 mg (有效成分)/L (48 h),毒性非常高;虹鳟鱼LC50=0.0091 mg (有效成分)/L (96 h),毒性非常高;绿藻EC50>0.89 mg (有效成分)/L (96 h);对海洋无脊椎动物毒性高。


苯并烯氟菌唑在土壤中稳定,可在土壤中存在数年,不易消解或转化;被土壤牢牢吸附,不迁移或迁移作用微弱,不易被淋溶;在田间条件下不易挥发。在水中的溶解度很小,不易水解或生物转化;光转化速度慢,其DT50>10 d(水中或无菌缓冲液)。


专利情况


2023年10月13日,苯并烯氟菌唑在欧洲(EP1556385)和中国(CN100448876C)的化合物专利到期,其美国专利(US7598395)于2023年10月14日期满。


国内登记


截止2024年5月,我国共有两个苯并烯氟菌唑登记,分别是:


图片


苯并烯氟菌唑 96%原药先正达南通作物保护有限公司


15%苯丙烯氟菌唑+30%醚菌酯 WDG 瑞士先正达作物保护有限公司, 登记的作物为花生锈病和菊花白锈病。


合成工艺


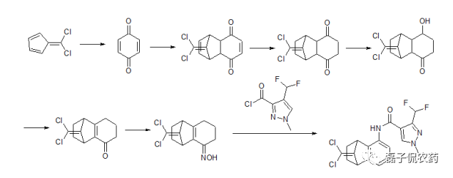
路线一(WO2007048556-原研专利、WO2010049228、Angew.Chem.Int.Ed.Engl.1975,14,801、Chimia,2015,69,425):该路线是先正达的原研路线,采用6-硝基-2-氨基苯甲酸为原料经由苯炔化、4+2环加成、C=C双键氧化切断、烯烃化、硝基还原等5步得到芳胺中间体;或者经由苯炔化、4+2环加成、加氢还原等3步反应,这个过程中,先对环戊二烯进行两步修饰即可得到中间体A,再与吡唑酰氯(中间体B)酰胺化得到产物。


图片


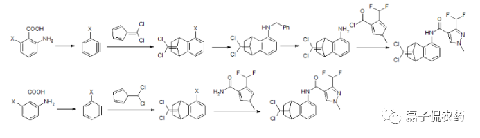
路线二(WO2007068417、WO2010072631、WO2011131544、WO2011131545、WO2011131546、Chimia,2015,69,425):该路线与路线一相比,不采用6-硝基-2-氨基苯甲酸,而使用6-卤代-2-氨基苯甲酸,后续采用C-X键的直接氨化(苄胺还原、催化氨化、催化酰胺化)。


图片


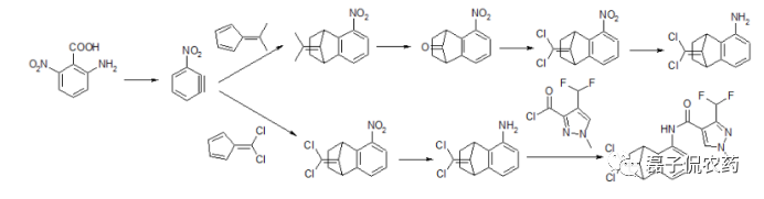
路线三(WO2011015416、WO2012101139、US20120136162、US20130310592、Bioorg.Med.Chem.,2016,24, 317-341、Chimia,2015,69,425):该路线以环戊二烯衍生物为起始原料,经由环加成、催化加氢、硼氢化钠还原、脱水异构、肟形成、酰胺化重排等6步反应得目标产物。


图片


总结


苯并烯氟菌唑是广谱的主要用于叶面喷雾或土壤处理 SDHI类杀菌剂,相比其单剂,与嘧菌酯的复配增加了杀菌效果,同时具有保护作用,更加具有商业推广价值。


其复配产品Elatus(苯并烯氟菌唑+嘧菌酯)在巴西上市后,在亚洲大豆锈病的防治中占有重要的地位。先正达已扩大其在巴西的农药生产厂的规模,以加工Elatus。基于苯并烯氟菌唑优异的产品性能以及在巴西市场的强势增长,先正达将其年峰值销售潜能从5.0亿美元提升至10.0亿美元。其与另外一个优异的大豆锈病杀菌剂丙硫菌唑, 具有不同的作用机理, 是很好的交替使用互补产品, 能延缓大豆锈病抗药性的产生。


苯并烯氟菌唑作为SDHI类杀菌剂, 其易产生抗性是需要注意的点。另外其对水生生物高毒,应注意施药环境,避免对水生环境产生影响。