噻菌灵(Thuabendazole)是美国Merck公司60年代初开发的苯并咪唑类杀菌剂,一开始在医药上作为驱除人畜肠道寄生虫的药剂而使用。随后发现它具有高效、广谱的杀真菌活性,后在工农业上广泛作为杀菌剂使用。1966年意大利学者Crivelli发现它可以作为柑桔的防腐保鲜剂使用,至今已有美、英、法、加拿大、德国、澳大利亚和日本等20多个国家相继使用它来作为柑桔、香蕉等多种水果蔬菜的防腐保鲜剂。噻菌灵具有高效、广谱、内吸性强,持效期长等特点,且应用十分广泛,虽然是老成分,但仍有开发推广的潜力。
中文名称:噻菌灵
英文名称:thiabendazole
其他名称:特克多、涕必灵、噻苯灵、噻苯达唑、腐絕
化学名称:4-(1H-苯并咪唑-2-基)-1,3-噻唑
分子式:C10H7N3S
相对分子质量:201.248
CAS登录号:148-79-8
结构式:

三维结构式:

理化性质:水溶解性:0.005 g/100 mL;密度:1.4 ± 0.1 g/cm³;沸点:446.0 ± 37.0 °C at 760 mmHg;熔点:298-301ºC;闪点:226.2 ± 16.9 °C;蒸汽压:0.0 ± 1.1 mmHg at 25°C;折射率:1.740;储存条件:0-6ºC条件下保存。
噻菌灵的作用机制是通过抑制真菌有丝分裂过程中的微管蛋白(也有资料指出是β-微管蛋白)的形成,从而阻断细胞分裂。这一过程影响了真菌纺锤体的形成,进一步抑制了真菌线粒体的呼吸作用和细胞增殖,最终导致真菌生长受阻甚至死亡。
噻菌灵具有内吸传导作用,根施时能向顶传导,但不能向基传导。抗菌活性限于子囊菌、担子菌、半知菌,而对卵菌和接合菌无活性。
噻菌灵被广泛应用于工业、医用、农业、园林、林业等领域。在农作物上,噻菌灵可以防治由真菌引起的多种病害,如白粉病、黑斑病、炭疽病等。同时,它还可以用于果蔬的防腐保鲜,延长贮藏期。
作杀菌剂:水稻恶苗病、稻瘟病;柑橘花腐病;黄瓜、草莓白粉病;草莓、葡萄灰霉病;芹菜叶枯病、菌核病;小麦赤霉病、条锈病;苹果和梨的青霉病、炭疽病、灰霉病、黑星病、白粉病等
作防腐防霉剂:通过浸果或烟熏,达到对柑橘、香蕉、桃、苹果等水果和蒜薹等蔬菜的防腐和保鲜。
截至2024年8月,噻菌灵在我国的共登记原药12家,登记含量有98%、98.5%、99%。单剂18个,其中悬浮剂13个,可湿性粉剂2个,烟剂2个,水分散粒剂1个。复配制剂9个。如下表



噻菌灵的主要合成方法大致分为三类:(1)以邻苯二胺或邻位取代苯胺与噻唑衍生物反应制备;(2)以苯并咪唑衍生物合成噻菌灵;(3)以氯丙酮、半胱氨酸盐酸盐、丙酮酸为原料的合成方法。
一、以苯胺为原料的合成方法
用苯胺与4-氰基噻唑作用得到N-苯基-4-噻唑甲脒盐酸盐,再相继用氯酸钠和碱处理,氧化关环成噻菌灵,总收率达78%。

或者是先把苯胺制成N-羟基脒,然后用苯磺酰氯和吡啶关环生成噻菌灵,与上述氯代脒反应基本一致。其机理被认为是由于N-羟基脒在苯磺酰化后易解离出具有强亲电性能的亚胺正离子,同苯环发生亲电取代反应的结果。

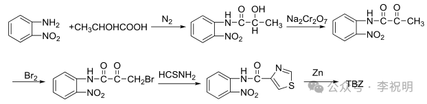
二、以邻硝基苯胺为原料的合成方法
采用乳酸与邻硝基苯胺反应,通过缩合、氧化、溴代,再与硫代甲酰胺合环得重要中间体N-(邻硝基苯基)-4噻唑甲酰胺,最后还原合成目标产物。

用邻硝基苯胺和4噻唑甲酰氯先制得中间体N-(邻硝基苯基)-4噻唑甲酰胺,再还原可得噻菌灵。

三、邻卤代苯胺与噻唑衍生物合成
以邻氯苯胺与4噻唑甲醛在铜催化下一步合成噻菌灵的反应,产率达85%,过程中需要用到叠氮化钠。邻碘苯胺效果要优于邻氯苯胺,反应产率高达98%。但是使用邻卤苯胺工业成本过高,反应过程中使用叠氮化物也有一定危险性,不利于放大生产。

四、邻苯二胺缩合的方法
一般4位取代的噻唑衍生物都能直接和邻苯二胺缩合得到噻菌灵。如4-噻唑甲醛、4-噻唑甲酸、4-氰基噻唑、4-噻唑甲酰胺等。
(1)与4-噻唑甲酰胺反应
1961年H.D.Brown等首次报道了噻菌灵这一经典农药的合成:用邻苯二胺和噻唑-4-甲酰胺在多聚磷酸存在下缩合得噻菌灵,产率达64%。

(2)与4-氰基噻唑反应
用4-氰基噻唑与邻苯二胺缩合环化制备噻菌灵,产率较高。反应过程涉及两次亲核加成:

(3)与4-噻唑甲酸反应
以4-噻唑羧酸或其酯类衍生物和邻苯二胺为原料,通常以多聚磷酸为脱水剂,进行缩合反应制备噻菌灵。其反应过程也是先得到N-(邻氨基苯基)-4-噻唑甲酰胺中间体,而多聚磷酸的作用就是将中间体脱水合环生成噻菌灵。
(4)与4-噻唑甲醛反应
4-噻唑甲醛和邻苯二胺在焦亚硫酸钠催化下可以顺利缩合得噻菌灵及其一系列衍生物。

五、丙酮酸路线
以丙酮酸为原料的合成路线报道比较多,国内早期的研究都是这种方法,其中李杜等对相关研究进行了比较并做了相关优化,总收率也只达到27%。

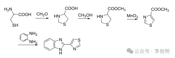
六、L-半胱氨酸盐酸盐为原料的合成方法
以L-半胱氨酸盐酸盐为原料,先与甲醛合环得噻唑烷-4-甲酸,随后用甲醇(或乙醇)酯化得噻唑烷-4-甲酸甲酯,再用活性二氧化锰氧化噻唑环得噻唑-4-甲酸甲酯,所得噻唑衍生物可与邻苯二胺缩合制得噻菌灵。

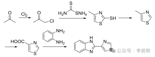
七、氯丙酮为原料的合成方法
以氯丙酮和硫代甲酰胺直接合环得4-甲基噻唑,然后用高锰酸钾氧化得4-甲酸噻唑,最后与邻苯二胺反应可得噻菌灵。

由于氯丙酮直接合成噻唑环产率太低,所以改用氯丙酮先和硫代甲酰胺合环生成2-氨基-4-甲基噻唑,再脱氨基后得4-甲基噻唑,最后经氧化、缩合可得噻菌灵。

类似的,也可以让氯丙酮先与二硫代氨基甲酸铵作用得到2-巯基-4-甲基噻唑,再加入盐酸和双氧水可脱去巯基得4-甲基噻唑,经氧化得到4-甲酸噻唑,最后缩合得噻菌灵。

八、以邻苯二胺为原料,杂多酸催化
以邻苯二胺为原料,酸性条件下与乳酸缩合得到2-(1-羟乙基)苯并咪唑,然后用高锰酸钾氧化或在磷钨杂多酸存在下用H2O2催化氧化得到2-乙酰基苯并咪唑,再经溴素卤化得到1-(1H-苯并咪唑-2-基)-2-溴乙酮,最后与硫代甲酰胺环合得到2-(4-噻唑基)-1H-苯并咪唑,即噻菌灵。

噻菌灵+三唑类(丙环唑、粉唑醇、己唑醇):该组合,兼顾保护与治疗作用,持效期长,耐雨水冲刷。可开发用于防治白粉病、锈病、纹枯病、轮纹病。
噻菌灵+醚菌酯/苯醚菌酯:可开发用于防治蔬菜及果树的白粉病、霜霉病、炭疽病、黑星病等。该组合广谱,保护期长。
噻菌灵+喹啉铜:该组合开发可用来防治葡萄黑痘病、草莓炭疽病、檬果炭疽病、莲雾炭疽病、荔枝炭疽病、 菱角炭疽病、葡萄晚腐病、无花果炭疽病、番石榴炭疽病及杨桃炭疽病。
噻菌灵+氰烯菌酯:该组合可开发用于防治小麦赤霉病。与单剂相比对小麦赤霉病具有明显的增效作用,,可显著提高防治效果。
噻菌灵+腐霉利:该组合可用于在防治水果、蔬菜贮藏期病害中的应用,比如可提高对灰葡萄孢菌、轮纹病菌、炭疽病菌的杀菌活性,使果蔬产品的防腐保鲜效果更加显著,提高果蔬产品的经济价值。
噻菌灵+咪鲜胺:可开发用于防治小麦赤霉病和水稻稻瘟病方面。具有持效期长的优点,与单一药剂相比,可降低成本。
噻菌灵+氟唑菌酰胺:该杀菌组合可应用于防治禾谷类、果树、蔬菜病害,具有较高的协同增效作用,克服和延缓了病菌的抗药性,杀菌速度快、持效期长、降低了应用成本。可以用于防治纹枯病、灰霉病、水稻恶苗病、梨白粉病、炭疽病等真菌病害。
噻菌灵+噻呋酰胺菌:不同作用机制的药剂复配使用,可以避免或延缓抗药性的产生可开发用于解决水稻纹枯病的问题。
噻菌灵+氟醚菌酰胺:可以用于防治农作物上的真菌性,尤其可以用于防治葡萄霜霉病、马铃薯晚疫病、水稻纹枯病、棉花立枯病、苹果白粉病等真菌病害,效果显著优于单剂使用。
噻菌灵+氰烯菌酯+精甲霜灵:可用于开发种子处理剂,提高种子发芽生长抗病能力,延缓病菌对有效成分抗性产生,增强植物根系,提高植物的耐逆性。
噻菌灵作为一种高效、广谱、低毒的杀菌剂,在农业、果蔬保鲜等领域都具有广泛的应用前景,噻菌灵的新型制剂也不断被研发出来,如悬浮剂、可湿性粉剂、烟剂等,新制剂在具有更好稳定性和使用效果的同时能够满足不同作物和病害的防治需求。同时在对环境的哺乳动物的安全性方面,噻菌灵相比多菌灵等的安全性高,终端使用成分也相对较低,噻菌灵在果蔬保鲜、种子处理和土壤处理等方面还有巨大的开发潜力。