嘧苯胺磺隆+嘧草醚:用于防除移栽水稻田一年生杂草。该组合物防除移栽水稻田一年生杂草效果明显优于各单剂,减少用药量,延缓杂草抗药性。
嘧苯胺磺隆+噁唑酰草胺:具有除草谱宽、防治效果好、使用安全的优势,可用于防除水稻田一年生杂草。
嘧苯胺磺隆+嘧啶肟草醚:用于防除移栽水稻田一年生杂草;本发明农药组合物防除移栽水稻田一年生杂草效果明显优于各单剂,减少用药量,延缓杂草抗药性。
嘧苯胺磺隆+氰氟草酯:防治水稻田一年生杂草的效果比单剂有了明显提高,降低了农药的使用剂量,减少了农药对生态环境的不利影响,对杂草抗性的综合治理有着重要意义,具有巨大的经济效益和社会效益。
丙炔噁草酮+嘧苯胺磺隆:与单剂单独使用相比明显提高了除草效果,扩大了杀草谱,同时降低了农药使用量,减轻了对环境的污染、延缓了杂草抗药性的产生,主要应用于水稻田防治一年生杂草。
嘧苯胺磺隆+双草醚:具有除草谱宽、防治效果好、使用安全的优势,可用于防除水稻田一年生杂草。
四唑酰草胺+嘧苯胺磺隆:可防除水稻一年生杂草稗草类和各种阔叶杂草和禾谷类作物如小麦、大麦、黑麦田里的禾本科杂草以及部分阔叶杂草。
丙嗪嘧磺隆+嘧苯胺磺隆:扩大除草谱,除草效果显著,持效期长,具有明显的增效作用。
嘧苯胺磺隆+二甲四氯二甲胺盐/二甲四氯异辛酯:混配而成的水稻田除草剂对水稻移栽田的稗草、一年生阔叶杂草及莎草有较好的防效,能有效防除稗草、野慈姑、雨久花、眼子菜、鸭舌草、节节菜、泽泻等杂草,杀草谱广,持效期长,对水稻生长安全性高。
氟酮磺草胺+嘧苯胺磺隆:用于防治水稻田一年生杂草,除草效果明显,对环境安全友好,具有明显的增效作用。
嘧苯胺磺隆+苯噻酰草胺:能防除水稻田大部分杂草,尤其对水稻田难以防治的恶性杂草野慈姑、泽泻、鸭舌草、稻稗有很好的防效。
嘧苯胺磺隆+丙炔噁草酮+扑草净:适用于防除水稻田大多数禾本科、阔叶草以及莎草科杂草,特别是对部分地区水稻田中发生危害比较严重的浮萍、水绵和绿藻等有很好的防效,对水稻表现安全。
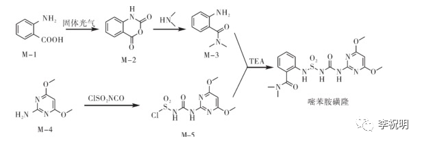
以邻氨基苯甲酸和2-氨基-4,6-二甲氧基嘧啶为起始原料,共经过4步制得目标化合物嘧苯胺磺隆。路线如下图

嘧苯胺磺隆目前在国内主要用于水稻田的推广,主要防除稗草、莎草、部分阔叶杂草如百日草、苘麻及浮萍青苔等,具有高效、广谱、低毒等优点,并且其合成路线简单,以邻氨基苯甲酸和 2-氨基-4,6-二甲氧基嘧啶为起始原料,共经过4步反应合成目标化合物嘧苯胺磺隆,适合大规模的生产,并且其对水稻和小麦安全性都很高,未来可关注其在小麦田的应用,其专利早已届满,嘧苯胺磺隆在未来具有较为广阔的市场开发潜力。