L-草铵膦作为一种含膦氨基酸类的灭生性除草剂,凭借其高效的除草活性、良好的环境友好性以及广阔的应用市场,成为绿色仿生除草剂领域的研究热点。目前,主流生产工艺多以草铵膦为原料,结合双酶催化的生物合成路线实现制备。尽管该路线具有条件温和、立体选择性高等优点,但其经济竞争力仍受草铵膦价格波动及市场因素的制约。为进一步提升合成效率、降低生产成本,亟待开展相关中间体的研发以及新合成路径的探索,为L-草铵膦的合成提供更为高效、经济的解决方案。 酮酸作为化学合成中的重要中间体,在医药、农药以及材料等方面有着举足轻重的地位,尤其α-酮酸不仅是氨基酸生物合成过程重要中间体,也是降解代谢过程所形成的产物。
4-(羟基甲基膦酰基)-2-氧代丁酸,又名2-羰基-4-(羟基甲基膦酰基)丁酸,是典型的α-酮酸类化合物,以下简称PPO或酮酸。该化合物中酮羰基是潜在的手性官能团,能够通过化学或生物催化方式构建手性中心。近期研究表明,以PPO作为底物,采用转氨酶或脱氢酶等生物酶催化技术能够在温和条件下高收率、高选择性转化为L-草铵膦。这类反应具有绿色环保、操作简便等优点,在工业化生产中具有巨大潜力,为L-草铵膦的规模化和可持续生产提供了重要的技术支撑。
目前PPO的合成主要聚焦于化学合成路径,本文通过对相关文献调查、分析,总结了不同化学合成PPO的方法,主要包括:1)基于3-膦酰基丙酸酯与草酸二酯的Claisen缩合;2)基于3-膦酰基丙酰腈的水解;3)基于丁烯酮酸(酯)的加成。通过对这些方法的梳理和分析,为PPO或α-酮酸的化学合成提供理论参考,旨在推动L-草铵膦及相关产业的可持续发展。
1. 基于3-膦酰基丙酸酯与草酸二酯的Claisen缩合
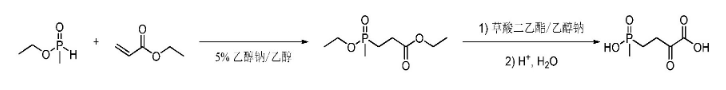
关于α-酮酸合成已有大量文献报道,在众多合成策略中,通过外源引入酮酸策略已被证实为高效构筑该类结构的有效方法。草酸二酯含有酮酸酯结构单元,具有一定的亲电性,通过与亲核试剂反应可实现α-酮酸酯的快速合成,最终经酸化水解得目标酮酸结构。 1980 年,FBC公司率先申请了制备酮酸中间体的专利,该专利利用3-(乙氧基甲基膦酰基)丙酸酯与草酸二乙酯经Claisen缩合延伸碳链,再酸化、水解得到酮酸中间体4-(羟基甲基膦酰基)-2-氧代丁酸,最后丙酮打浆、过滤得到PPO干粉。1991年,Hoechest公司利用甲基亚膦酸单乙酯与丙烯酸乙酯在乙醇钠的作用下通过Michael加成得到3-(乙氧基甲基膦酰基)丙酸乙酯,随后同样采用与草酸二酯的Claisen缩合、水解脱羧得到4-(羟基甲基膦酰基)-2-氧代丁酸,以甲基亚膦酸单乙酯计总收率46.6%(图1)。

图1 甲基亚膦酸单乙酯为原料的Claisen缩合路线
以甲基亚膦酸单乙酯和丙烯酸乙酯为原料构建3-(烷氧基甲基膦酰基)丙酸酯后,2014年苏州联合伟业科技有限公司公开了一种以甲基二氯化膦为原料合成4-(羟基甲基膦酰基)-2-氧代丁酸的生产工艺。该路线在氯化氢气体条件下,将丙烯酸缓慢滴入甲基二氯化膦溶液中制备酰氯化合物,再加入定量的甲醇钠甲醇溶液酯化得3-(甲氧基甲基膦酰基)丙酸甲酯,随后采用Claisen缩合、水解脱羧得到目标化合物。该路线特点为:前段通过甲基二氯化膦与丙烯酸构筑P-C键,后段则通过经典的草酸二酯参与的Claisen反应构筑酮酸结构。2020年,东南大学张莹论文中同样以甲基二氯化膦和丙烯酸为原料,经加成、酯化、缩合、水解4步反应制备出关键中间体PPO(图2)。该论文对各步反应工艺条件进行了系统性优化。在最佳工艺条件下,PPO纯度达95.8%,4步总收率为54.8%。

图2 甲基二氯化膦为原料的Claisen缩合路线
甲基亚膦酸二乙酯作为甲基二氯化膦下游产品同样可作为PPO合成起始原料,2017年浙江大学徐林杰论文中报道了PPO的合成及工艺优化。该论文以甲基亚膦酸二乙酯和丙烯酸酯为原料,在醇类溶剂中通过加成、重排构筑P-C键,从而得到缩合反应中亲核原料甲酯加成物。考察了加成反应中溶剂、温度、丙烯酸酯种类等对甲酯加成物反应收率的影响,优化条件下甲酯加成物反应收率达90.3%(以甲基亚膦酸二乙酯计);考察了缩合反应中溶剂、碱的种类等对PPO反应收率的影响,优化条件下PPO反应收率达87.4%(以甲酯加成物计);以甲基亚膦酸二乙酯计,PPO的总收率78.9%,分离收率46.9%(图3)。2017年,石家庄瑞凯化工有限公司也公开了一种草铵膦铵盐的类同合成方法,主要差别在于对缩合反应施加0.4 MPa压力。

图3 甲基亚膦酸二乙酯为原料的Claisen缩合路线
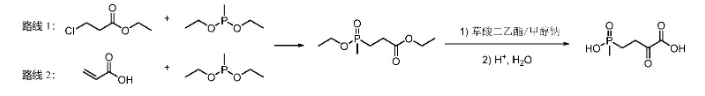
2019 年,武汉工程大学马银论文中以2种不同的路线制备出3-(烷氧基甲基膦酰基)丙酸酯(图4)。路线1,以3-氯丙酸乙酯和甲基亚膦酸二乙酯为原料,通过Arbuzov反应构建P-C键,以3-氯丙酸乙酯计,收率94.8%;路线2,以丙烯酸和甲基亚膦酸二乙酯为原料,通过加成重排构建P-C键,以甲基亚膦酸二乙酯计,收率93.4%。

图4 3-氯丙酸乙酯或丙烯酸为原料的Claisen缩合路线
在对以不同原料合成3-(烷氧基甲基膦酰基)丙酸酯作为Claisen缩合亲核前体进行介绍之后,1990年Kazakov课题组将亲核试剂替换成3-(乙氧基甲基膦酰基)丙氰,该试剂亲核位点与3-(烷氧基甲基膦酰基)丙酸酯一致,经草酸二乙酯的Claisen缩合,酸化水解,脱羧得到中间体4-(羟基甲基膦酰基)-3-腈基-2-氧代丁酸,再与六甲基二硅氮烷(HMDS)反应,最后水解以21.0%收率合成出PPO,但该工艺过程复杂,中间体存在多种异构体,不具备产业化价值(图5)。

图5 3-(乙氧基甲基膦酰基)丙氰为原料的Claisen缩合路线
2016 年,安徽国星生物化学有限公司[20]以环膦酸酐和草酸二酯为原料,在碱和相转移催化剂作用下,通过Claisen缩合将环膦酸酐引入酮酸结构,在酸性条件下水解最终得到目标化合物(图6),以环膦酸酐计,PPO总收率89.0%。

图6 环膦酸酐为原料的Claisen缩合路线
近年来,随着CO气相偶联合成技术的快速发展和广泛应用,草酸二酯的生产成本显著降低。这一技术不仅为传统的Claisen缩合路线提供了更加坚实的物质基础,而且极大地增强了其产业化的可行性。值得注意的是,浙江新安化工集团股份有限公司已成功实现由草酸二酯出发合成PPO的工艺及酶转化制备L-草铵膦的中试研究,并进一步形成了5000 t/年规模的生产制造能力,实现L-草铵膦系列产品全球化销售。该成果为L-草铵膦的工业化生产提供了新的技术途径,对于L-草铵膦的规模化制备具有积极的推动作用。
2. 基于3-膦酰基丙酰腈的水解
腈基水解反应在羧酸官能团构建中具有广泛的应用,其中选择性酰腈水解被认为是一种高效构建α-酮酸结构的有效途径。
1988 年,苏联专利[26]首次报道了以2,5-二氧代-1-氧杂-2-膦环戊烷和氰化钠为原料,通过开环制备出酰腈化合物,再利用酸解合成酮酸化合物(图7)。该专利较普通酯与氰化物反应,收率由18%~20%提升至75%~80%。2013年,江苏七洲绿色化工股份有限公司公开了一种草铵膦的制备方法,其中同样利用2,5-二氧代-1-氧杂-2-膦环戊烷和氰化钠为原料,通过开环酰腈化、水解合成PPO,再经过氨化、加氢还原合成草铵膦,该路线总收率达90.0%以上。

图7 环膦酸酐为原料的酰腈水解路线
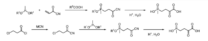
环膦酸酐是一种亲电活性官能团,能够被氰化钠有效地开环并转化为酰腈。酰氯作为一种经典的亲电官能团,同样能与金属氰化物发生酰腈化反应。2024年,浙江新安化工集团股份有限公司以丙烯酰氯合成的酰腈为酮酸的前体,通过加成重排与甲基亚膦酸二乙酯在有机酸催化下生成(3-腈基-3-羰基丙基)甲基膦酸酯,再经酸化水解生成目标酮酸化合物。此外,研究还采用3-氯丙酰氯在硅腈的作用下与金属氰化物反应合成外源酰腈3-氯丙酰腈,再与甲基亚膦酸二酯通过Arbuzov反应构筑出P-C键,最后酸化水解得到目标化合物。该方法特点在于利用外源酰腈化合物先构筑出P-C键合成出中间体(3-腈基-3-羰基丙基)甲基膦酸酯,再通过酰腈水解合成出酮酸结构。

图8 丙烯酰腈或3-氯丙酰氯为原料的酰腈水解路线
同年,浙江新安化工集团股份有限公司以大宗化学品丙烯酰氯为原料,通过与甲基亚膦酸二乙酯反应先构筑出P-C键,再利用氰化钠引入外源腈基,最后对酰腈进行水解合成出酮酸结构。同时也可以通过丙烯酰氯与氰化钠先进行反应,再水解生成酮酸结构,与甲基亚膦酸二酯反应后,水解生成PPO。这些方法具有原料来源广泛,步骤短等特点(图9)。

图9 丙烯酰氯为原料的酰腈水解路线
上述策略充分发挥了酰腈结构在中间体构建中的优势,通过多步化学反应,实现了酰腈与酮酸的转化,为酮酸及相关化合物的合成提供了有效途径。
3. 基于丁烯酮酸(酯)的加成
加成策略核心在于先通过化学反应构筑出酮酸或酮酸酯结构,再与有机膦化合物形成P-C键,最后水解合成出目标化合物。
乙烯基卤化镁作为乙烯基化试剂,可与草酸二酯发生反应,从而实现丁烯酮酸酯的快速制备。2015年,湖南海利化工股份有限公司公开了一种含膦α-酮酸酯的制备方法,通过格式反应制备丁烯酮酸酯,再与甲基亚膦酸二酯反应得到PPO前体,以甲基亚膦酸二酯计,酮酸酯的收率达到85%以上,但原料化合物的制备收率只有70%~80%,综合收率较低,且格氏试剂较为危险(图10)。

图10 格式试剂为原料的加成路线
甲基二氯化膦同样作为一种三级膦化合物,也能经丁烯酮酸(酯)的加成反应合成出PPO。2016年,安徽国星生物化学有限公司采用甲基二氯化膦为膦化试剂,与丁烯酮酸酯在缚酸剂作用下通过加成反应直接构筑出含膦α-酮酸骨架,再利用碱解合成出PPO,该步收率最高达94.6%。在此基础上,可进一步通过氨化、还原,以最高收率94.3%合成出草铵膦(图11)。

图11 甲基二氯化膦为原料的加成路线
在成功利用甲基二氯化膦与丁烯酮酸(酯)进行加成反应构建P-C键后,2024年,浙江新安化工集团股份有限公司以丙烯酰氯为原料,通过酰腈化、水解得到丁烯酮酸,再与甲基二氯化膦反应构筑出P-C键,最后水解合成出PPO。同年,浙江新安化工集团股份有限公司将大宗化学品衣康酸进行氧化得到含酮酸结构化合物,在自由基引发剂条件下与甲基次膦酸酯(或甲基次膦酸)通过加成重排构筑出含膦酮酸结构,最后酸性条件下水解得到目标化合物(图12)。

图12 丙烯酰氯或甲基亚膦酸单乙酯为原料的加成路线
该类加成策略巧妙地将酮酸结构的构建与膦化反应相结合,实现了2个关键反应步骤的有效整合。这种整合策略简化了合成路径,具有重要的应用价值和工业前景。
4. 其他策略
2008 年,明治制果药业株式会社[38]专利公开了一种PPO合成新方法,该方法利用砜基乙酸酯衍生物和甲基乙烯基膦酸酯在碱存在下,通过Michael加成反应生成2-砜基-4-(烷氧基甲基膦酰基)丁酸酯,进一步在碱存在下与硫代磺酸酯反应生成2-砜基-2-烷硫基-4-(烷氧基甲基膦酰基)丁酸酯。最后通过酸水解得到PPO(图13)。

图13 甲基乙烯基膦酸酯为原料合成PPO
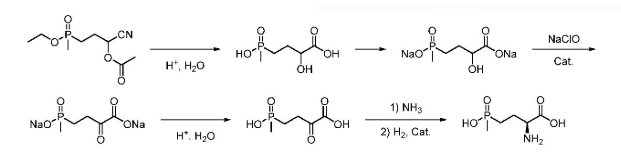
选择性氧化α-羟基酸是一种有效合成α-酮酸的策略。2017年江苏七洲绿色化工股份有限公司公开了一种L-草胺膦铵盐的合成方法,其中涉及PPO的合成。该方法首先利用4-(乙氧基甲基膦酰基)-2-乙酰氧基丁氰在酸性条件下水解生成4-(羟基甲基膦酰基)-2-羟基丁酸,再与碱生成4-(羟基钠甲基膦酰基)-2-羟基丁酸钠,随后催化剂作用下通过次氯酸钠进行氧化生成4-(羟基钠甲基膦酰基)-2-氧代丁酸钠,经酸化生成PPO,最后通过不对称催化以81%~90%总收率制备L-草铵膦(图14)。

图14 4-(乙氧基甲基膦酰基)-2-乙酰氧基丁氰为原料合成PPO
2024年,浙江新安化工集团股份有限公司[40]以3-甲基乙氧基膦酰基丙醛为原料,先与氰化物发生加成反应制备(3-氰基-3-羟基丙基)甲基次膦酸酯,再进行水解得到4-(羟基甲基膦酰基)-2-羟基丁酸,最后通过催化氧化生成目标化合物,3步总收率达90%以上。同年,浙江新安化工集团股份有限公司以甲基亚膦酸二酯和4-卤代-2-羰基丁酸酯为原料,通过Arbuozv反应高效构筑出P-C键得到PPO酯,最后经水解即可得到目标化合物(图15)。

图15 3-甲基乙氧基膦酰基丙醛或4-卤代-2-羰基丁酸酯为原料合成PPO
5. 总结与展望
4-(羟基甲基膦酰基)-2-氧代丁酸作为α-酮酸类化合物,通过生物酶催化技术能以高收率、高选择性合成L-草铵膦。本文通过对文献进行分析、总结,归纳出基于不同中间体的Claisen缩合、酰腈水解、加成重排等化学合成PPO方法,分类介绍各策略的优缺点,为PPO化学合成提供理论指导和参考。同时,随着耐草铵膦转基因作物商业化进程加速,草铵膦复配带来的市场增量,以及草甘膦抗药性的日趋严重、多个国家对百草枯禁用、限用等现实情况,未来L-草铵膦需求量将进入高速增长期。因此,4-(羟基甲基膦酰基)-2-氧代丁酸作为L-草铵膦转化过程中重要的中间体,其安全、经济、高效制备成为当前L-草铵膦合成工艺突破口,也是科研人员努力的方向。
本文作者:黄跃; 余神銮; 秦龙;等(浙江新安化工集团股份有限公司,浙江大学化学工程与生物工程学院)