螺虫乙酯、螺甲螨酯、螺螨酯为拜耳公司继有机磷类、拟除虫菊酯类等杀虫剂类别后,又开发的一类杀虫剂。此类杀虫剂不仅结构独特(季酮酸类),而且作用机制新颖。通过抑制害虫(螨)的脂质合成,阻碍虫螨的能量代谢而致效。这类杀虫、杀螨剂由于与其他类别杀虫、杀螨剂无交互抗性,近年来发展迅速,已成为杀虫剂中重要组成部分。
螺虫乙酯[Spirotetramat]
害虫多面手

螺虫乙酯是由德国拜耳作物科学公司研发的季酮酸类杀虫剂,商品名为Movento,分子式为C21H27NO5。该化合物于2008年在美国和加拿大首次获准登记,主要用于防治刺吸式口器害虫,适用作物包括柑橘、蔬菜、葡萄、棉花等。螺虫乙酯具有双向内吸传导特性,可通过植物组织上下双向移动,保护新生茎叶及根部,持效期长达8周。其作用机制为干扰害虫脂肪合成,阻断能量代谢。其对瓢虫、食蚜蝇等益虫具有选择性,适用于综合虫害管理。
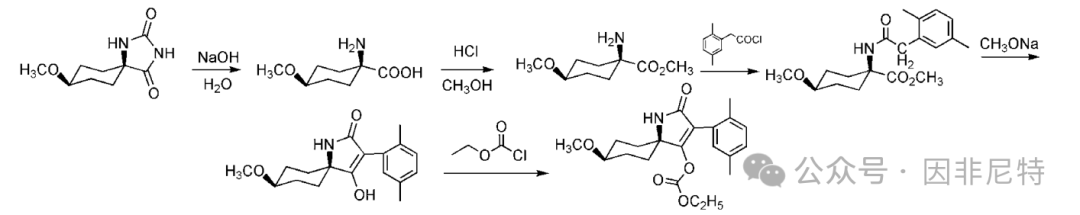
螺虫乙酯合成路线1:手性源法,cis-8-甲氧基-1,3-二氮杂螺[4,5]癸-2,4-二酮为初始原料,水解得到的氨基羧酸先进行酯化,然后将氨基酰胺化,合环,将羟基酯化得到目标化合物(详情见下表合成示例)。

cis-4-甲氧基环己基-1-氨基甲酸的制备 将cis-8-甲氧基-1,3-二氮杂螺[4,5]癸-2,4-二酮8.4g、水160g和氢氧化钠1.7g加入至高压釜中,加热至160°C,保持该温度搅拌24h,反应结束后,冷却至室温,浓盐酸调节pH值为3~4,减压蒸馏溶剂至釜残大约为20mL,冷却,氢氧化钠溶液调节pH值为弱酸性,过滤,干燥。得到棕红色固体7.3g,收率99%。 |
cis-4-甲氧基环己基-1-氨基甲酸甲酯盐酸盐的制备
将cis-4-甲氧基环己基-1-氨基甲酸5.2g加至40mL无水甲醇中,在0~5°C通入无水氯化氢至饱和,然后升温到40°C,并在此温度下反应5h,反应结束。减压蒸除甲醇,得到白色固体5.6g,收率84%。 |
cis-1-[2-(2,5-二甲基苯基)乙酰胺基]-4-甲氧基环己基甲酸甲酯的制备 将cis-4-甲氧基环己基-1-氨基甲酸甲酯盐酸盐4.45g和碳酸钾11.04g加入到20mL无水乙腈中,在5~10°C缓慢滴加3.65g2,5-二甲基苯乙酰氯的15mL乙腈溶液,滴毕,将混合物在室温搅拌3h,反应结束。将反应混合物加入至200mL冰水中,接着将混合物搅拌1.5h,过滤出固体,水洗,干燥,得到白色固体6.33g。 |
cis-3-(2,5-二甲基苯基)-8-甲氧基-2-氧代-1-氮杂螺环[4,5]-癸3-烯4-醇的制备 室温下,将cis-1-[2-(2,5-二甲基苯基)乙酰胺基]-4-甲氧基环己基甲酸甲酯3.33g溶于7mLDMF中,并将其逐滴加入至1.35gNaOMe的DMF溶液中,将反应混合物加热至60°C,并在此温度下搅拌4h,将反应过程中生成的甲醇在低度真空条件下蒸馏出,然后在10~20°C条件下,用32%盐酸溶液将pH值调到1,然后在室温下搅拌1~2h,抽滤出固体,用水洗涤2次,然后干燥。得白色固体2.77g,收率92%。 |
螺虫乙酯的制备 将cis-3-(2,5-二甲基苯基)-8-甲氧基-2-氧代-1-氮杂螺环[4,5]-癸3-烯4-醇1.51g和三乙胺0.7g加入10mL氯苯中,在60~65°C逐滴加入0.57g氯甲酸乙酯的4mL氯苯溶液,将混合物在60~65°C搅拌4h,反应结束。待冷却至室温,将反应溶液用10mL氯苯稀释,然后分别用10mL水、10mL5%氢氧化钠水溶液、5mL饱和氯化钠水溶液进行萃取,无水硫酸钠干燥有机相,减压蒸馏溶剂,得到白色固体2g。用甲基叔丁基醚重结品,干燥得1.85g,收率99%,含量97.2%。 |
螺虫乙酯路线2:4-甲氧基-1-氰基环已胺和2,5-二甲基苯乙酰氯反应得到4-甲氧基-1-氰基环已基-2,5-二甲苯乙酰胺,然后将氰基水解成酯基,合环,羟基酯化后手性拆分得到螺虫乙酯。

N-(1-氰基-4-甲氧基环己基)-2-(2,5-二甲基苯基)乙酰胺的制备 向反应体系中加入0.08mol 4-甲氧基-1-氨基环己腈、160mL四氢呋喃和12.3mL三乙胺,降低温度至0~10°C,14.9g2,5-二甲基苯乙酰氯溶于20mL四氢呋喃的溶液加入反应液中,待反应结束后,加入盐酸溶液和二氯甲烷溶液,分层,有机层蒸去溶剂,得到N-(1-氰基-4-甲氧基环己基)-2-(2,5-二甲基苯基)乙酰胺,收率80%。 |
1-(2-(2,5-二甲基苯基)乙酰胺基)-4-甲氧基环己基甲酸甲酯的制备 将12g N-(1-氰基-4-甲氧基环己基)-2-(2,5-二甲基苯基)乙酰胺溶于40mL氯化氢甲醇溶液中,氯化氢浓度为4mol/L,加热至回流,反应3h,反应结束,降温,用氮气将体系内氯化氢去除,蒸馏浓缩,得到的粗产品1-[2-(2,5-二甲基苯基)乙酰胺基]-4-甲氧基环己基甲酸甲酯,收率75%。其余步骤反应条件同合成方法1。 |
cis-4-甲氧基环己基-1-氨基甲酸甲酯的合成 26.9g的碳酸铵和5.88g的氰化钠溶解在110mL的水中,室温下,滴加7.7g4-甲氧基环己酮溶于110mL乙醇的溶液,升温至55~60°C,搅拌16h后,蒸出溶剂和水,得到的粗产品加入到100mL乙醇-水(体积比1:1)搅拌1h,过滤,干燥,得到12.7g产品,纯度57.8%,收率58.7%,顺反比例91:9。 |
对甲氧基环己酮的合成 可由对甲氧基苯酚经过氧化还原反应得到4-2。0.5g硼砂、0.5 g水和6g湿重为50%的5%Pb-C催化剂混合,得到的混合物加入到100g对甲氧基苯酚和150g甲基环已烷溶液中,升温至150~180°C,在氢气压3~8bar下进行加氢还原,直至不吸收氢,反应结束,蒸出溶剂得到对甲氧基环已酮,收率83%。 |
二甲基苯乙酰氯的制备 2,5-二甲基苯乙酸81.5g、甲苯287mL加入到反应瓶中,加热至50°C,在3h内滴加二氯亚砜65.3g,然后升温至65°C反应3h,色谱跟踪2.5-二甲基苯乙酸消失后,停止加热,冷却至室温,减压蒸馏,蒸出过量的二氯亚砜和溶剂,继续减压蒸馏,得到2,5-二甲基苯乙酰氯,收率70%。 |
2,5-二甲基苯乙酸的合成 方法1:此方法以最初对二甲苯为原料,经氯甲基化得到2,5-二甲基苄基氯,然后与氰化钠反应制备相应的苯乙腈,然后氰基水解得到2,5-二甲基苯乙酸。 方法2:此方法是先经甲醛、溴化氢、对二甲苯溴甲基化得到2,5-二甲基苄基溴,然后与氰化钠反应制备相应的苯乙腈,然后氰基水解得到2,5-二甲基苯乙酸。 方法3:氯乙酰氯和对二甲苯通过傅克反应合成2-氯-1-(2,5-二甲基苯基)乙酮,然后与二醇制备成缩酮,缩酮经重排会得到2,5-二甲基苯乙酸羟烷基酯和和双(2,5-二甲基苯乙酸)二酯的混合物,最后水解都得到2,5-二甲基苯乙酸。 |
螺甲螨酯 [Spiromesifen] |

| 
|
编码:SCJ-2008-0429 国际通用名称或俗名:spiromesifen 中文通用名称:螺甲螨酯 其他名称:螺虫酯;賜滅芬;Forbid;Oberon。 中文化学名称:[2-氧代-3-(2,4,6-三甲基苯基)-1-氧杂螺[4.4]壬-3-烯-4-基]-3,3-二甲基丁酸酯 英文化学名称:[2-Oxo-3-(2,4,6-trimethylphenyl)-1-oxaspiro[4.4]non-3-en-4-yl]-3,3-dimethylbutanoate |
螺甲螨酯是由拜耳开发的第二代螺环季酮酸类杀虫、杀螨剂,螺甲螨酯的作用机理是影响粉虱和螨虫的发育,干扰其脂质体的生k物合成,尤其对幼虫阶段有较好的活性,同时还可以产生卵巢管闭合作用,降低螨虫和粉虱成虫的繁殖能力,大大减少产卵数量。
近年由于印度和巴西等植保市场的良好表现,螺甲螨酯需求增量显著,而受到国内关注。目前其专利期已届满,但目前国内仅山东润丰进行了登记。
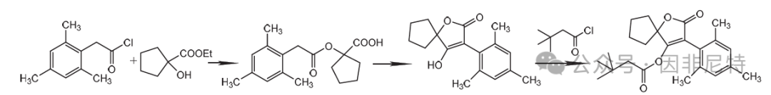
螺甲螨酯的合成主要由中间体1-羟基环戊基甲酸乙酯,与中间体2,4,6-三甲基苯乙酰氯经缩合、环合得到3-(2,4,6-三甲基苯基)-2-氧代-1-氧杂螺-癸-3-烯-4-醇,然后再与3,3-二甲基丁酰氯反应得到螺甲螨酯原药,合成路线如下图所示:

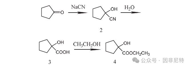
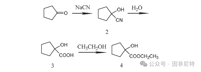
中间体1-羟基环戊基甲酸乙酯主要以环戊酮和氰化钠为起始原料,经亲核加成、氰基水解、酯化获得,合成路线见下图:

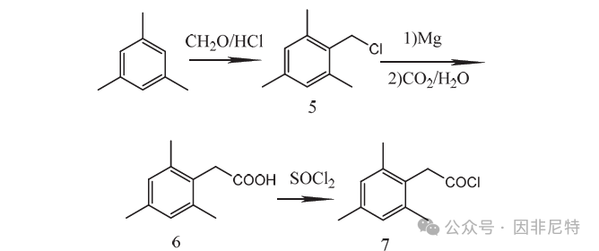
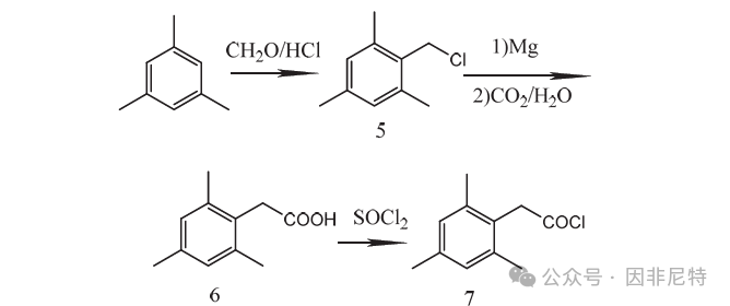
中间体2,4,6-三甲基苯乙酰氯主要有2条合成路线。第一条由均三甲苯在盐酸的存在下与甲醛进行氯甲基化,得到2,4,6-三甲基氯苄;然后在锌粉和氯化锂的催化下,与二氧化碳反应得到2,4,6-三甲基苯甲酸。该路线需要的氯化锂价格昂贵,而且反应要在高压下进行,收率也不高。第二条路线是2,4,6-三甲基氯苄与氰化钠反应,然后水解得到2,4,6-三甲基苯甲酸。氰化钠剧毒,环境压力较大。为了克服以上缺点,新工艺以均三甲苯为原料,经氯甲基化、格氏化反应,然后充入二氧化碳制得2,4,6-三甲基苯乙酸。该路线相对环保,工艺简单,收率也较高。其合成路线如下图所示:

螺螨酯[Spirodiclofen] |

| 
|
编码:SMJ-2008-0089 国际通用名称或俗名:spirodiclofen 中文通用名称:螺螨酯 其他名称:螨威多;季酮螨酯;賜派芬,Envidor。 开发代号:BAJ-2740; 中文化学名称:[3-(2,4-二氯苯基)-2-氧代-1-氧杂螺[4.5]癸-3-烯-4-基]-2,2-二甲基丁酸酯 英文化学名称:[3-(2,4-Dichlorophenyl)-2-oxo-1-oxaspiro[4.5]-dec-3-en-4-yl]-2,2-dimethylbutanoate |
螺螨酯,英文名spirodiclofen,是一种季酮酸类杀螨剂,也是一种有机氯杀螨剂,又名螨威多、螨危、季酮螨酯。分子式为C21H24Cl2O4,分子量411.319。
螺螨酯外观为白色粉末,具触杀作用,并可经叶面吸收并传导。螺螨酯是一种广谱杀螨剂,通过抑制螨虫体内脂肪合成发挥作用,与目前市面上的杀螨剂无交叉耐药。对害螨的卵、幼螨、若螨具有良好的触杀效果,对成螨无效,但能有效抑制雌螨产卵孵化。目前,柑橘全爪螨对螺螨酯抗性极其严重。
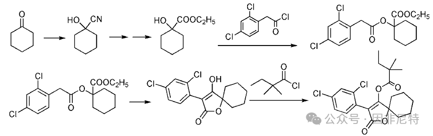
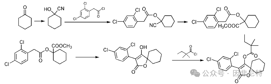
螺螨酯是由关键中间体3-(2,4-二氯苯基)-2-氧代-1-氧杂螺[4,5]-癸-3-烯-4-醇与2,2-二甲基丁酰氯进行反应而得到的,其主要合成路线具体如下:
路线1:以环己酮为原料,与NaCN加成后生成氰醇,氰基水解成羟基酸,进一步酯化,再与2,4-二氯苯乙酰氯反应生成环己酯,然后闭环反应,后与二甲基丁酰氯反应得产品。

路线2:以环己酮为原料,首先与NaCN加成后生成氰醇,然后和2,4-二氯苯乙酰氯反应,氰基水解成酸,再经酯化反应成环己酯,然后经闭环反应,最后与二甲基丁酰氯反应得到产品。
