环哒嗪草酯(cyclopyrimorate) 是日本三井化学2002年基于哒草特(pyridate)及达草醚(credazine)结构衍生开发的具有苯氧哒嗪结构的除草剂,主要用于高效防除水稻田一年生阔叶杂草和部分抗性杂草,环哒嗪草酯具有全新的作用靶标,对环哒嗪草酯的研究对于水稻田抗性管理具有积极的作用,环哒嗪草酯在中国的专利已于2022年8月14日届满。

英文名称:cyclopyrimorate
中文名称:环哒嗪草酯
商品名:CYRA®
化学名称:[6-氯-3-(2-环丙基-6-甲基苯氧基)哒嗪-4-基]吗啉-4-羧酸酯
分子式:C19H20ClN3O4
相对分子质量:389.833
CAS登录号:499231-24-2
结构式:

三维结构式:

环哒嗪草酯属于尿黑酸茄尼基转移酶(homogentisate solanesyltransferase, HST)抑制剂,其作用靶标为尿黑酸茄尼基转移酶(HST),环哒嗪草酯的代谢产物对HST具有强烈的抑制作用,HST是质体醌生物合成途径中对羟基苯基丙酸酮双氧化酶(4-HPPD)下游的一种酶,通过对HST的抑制作用,导致植物的光合作用受阻,从而影响正常的生长代谢,导致植物白化死亡。
国际除草剂抗性行动委员会(HRAC)将其归类为第33组(HRAC/WSSA Group 33或HRAC Group T),苯氧哒嗪结构类型。这是该组中唯一的有效成分。
应用作物:水稻,其他谷物
杀草谱:稗草、狗尾草、蔊菜、猪殃殃、婆婆纳、萤蔺、野慈姑、狼把草、苘麻、牛繁缕、播娘蒿等
常见剂型:3.5%环哒嗪草酯GR,其复配性较好,同时可被开发成多种剂型。
环哒嗪草酯尚未在国内登记,在英国、澳大利亚、美国、欧盟也无登记。其在日本登记的部分产品如下:

专利名称:3-苯氧基-4-哒嗪醇衍生物以及含有它的除草剂组合物
申请号:CN02816090.8;TW091118561
申请日:2002.08.14;2002.08.16
公开号:CN1543455A
申请人:三共农业株式会社
发明人:塚本芳久; 驹井浩之; 门谷淳二; 小井清; 三尾茂; 竹柴英雄
其他国家专利:EP02760636A、CA2457575A、KR20047002273A、US20090583324A、DE60232981T、US20040487013A、AU2002327096A、EP02760636A、EP02760636A、WO2002JP08278、ES02760636T、KR20087025749A、JP2003521212A、US20040487013A、KR20047002273A、CA2457575A、US20090583324A、KR20087025749A、EP02760636A、TW91118561A
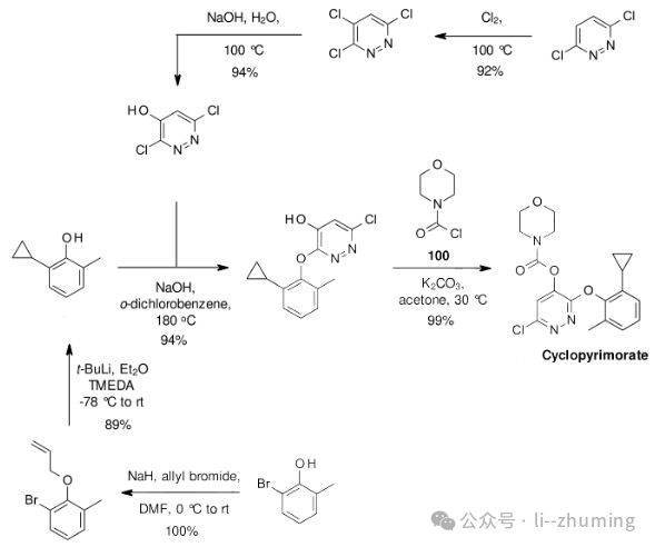
路线一:

路线二:

环哒嗪草酯是具有全新作用机理的化合物,其作用靶标HST被认为是一种新型的商业化除草剂分子靶标。对水稻及谷物田对ALS抑制剂、ACCase抑制剂和合成激素类除草剂产生抗性的杂草具有很好的防效,可作为优秀的抗性管理工具。同时其具有很好的复配性和五氟磺草胺、双环磺草酮、双草醚、环酯草醚、噁嗪草酮、三嗪氟草胺、环吡氟草酮、苯唑氟草酮、丙炔噁草酮、环戊噁草酮、三唑酰草胺、氟吡磺隆、双唑草腈、双唑草酮、嗪吡嘧磺隆、氯吡嘧磺隆、嘧啶肟草醚、氯氟吡啶酯、氰氟草酯等成分皆可混配开发,其杀草谱广,对禾本科杂草、阔叶杂草及莎草科杂草都有效,其施药期也相对较广,可保证控制水稻整个生育期的杂草。在未来该类化合物有望为水稻种植户带来更好的种植体验。