提示
×
取消
确定
当前位置:首页 > 专利专论
新型脲嘧啶类除草剂氟丙嘧草酯,国内仅江苏激素有一个原药登记
来源:李祝明公众号   发布时间:2024-05-27 11:27
简述
氟丙嘧草酯(Butafenacil)是先正达在除草剂氟嘧草苯酯(flupropacil)的基础上优化开发的一种非选择性脲嘧啶类除草剂,于2001年上市,主要应用于禾谷类作物田、大型果园基地、棉花地和非农业基地,用于防治禾本科杂草、一年生和多年生阔叶杂草、莎草等。

氟丙嘧草酯(Butafenacil)是先正达在除草剂氟嘧草苯酯(flupropacil)的基础上优化开发的一种非选择性脲嘧啶类除草剂,于2001年上市,主要应用于禾谷类作物田、大型果园基地、棉花地和非农业基地,用于防治禾本科杂草、一年生和多年生阔叶杂草、莎草等。目前其专利期已届满,国内只有江苏激素登记97%原药,仅出口到澳大利亚,氟丙嘧草酯在澳大利亚主要用于小麦田。


产品简介


英文名称:butafenacil


中文名称:氟丙嘧草酯

化学名称:(2-甲基-1-氧亚基-1-丙-2-烯氧丙-2-基) 2-氯-5-[3-甲基-2,6-二氧亚基-4-(三氟甲基)嘧啶-1-基]苯甲酸酯

分子式:C20H18ClF3N2O6

相对分子质量:474.815

CAS登录号:134605-64-4

结构式:

图片


理化性质:纯品为无色粉状固体,密度1.4±0.1 g/cm3,沸点539.4±60.0 °C at 760 mmHg,熔点113ºC,闪点280.0±32.9 °C。溶解度:25℃时在水中溶解度为10mg/L。


作用机理

氟丙嘧草酯(Butafenacil)属原卟啉原氧化酶抑制剂。其作用机理是通过抑制原卟啉原氧化酶的活性,扰乱正常的光合反应,使原卟啉原IX物质过量堆积、植株调节能力失效,最终细胞因细胞膜损伤或破裂,内源物不断外流而干枯死亡。

应用

应用作物:大麦、小麦、棉花、果园及非耕地等‍‍‍‍‍‍‍‍;还可作为为马铃薯、向日葵、大豆、油菜、高粱或棉花等作物催枯剂。


靶标杂草:一年生黑麦草、稗草、芦苇、牛筋草、罔草、白茅、百日草、苘麻、鬼针草、苍耳、龙葵、酢浆草、车前草、反枝苋等苋属杂草、萹蓄、酸模叶蓼、三裂叶豚草、藜、灰绿藜、青葙、小蓟、繁缕、水莎草、香附子、异型莎草、藨草等

可开发剂型:200g/L氟丙嘧草酯EC

使用方法:根据防除对象不同,使用剂量也不同,通常为50~200g a.i./ hm²。

登记情况

经中国农药信息网查询,仅江苏激素登记97%原药(仅出口到澳大利亚)

图片


专利情况

专利名称:Preparation of-3- aryl-uracilderivative useful as herbicide


专利号:DE19741411

专利公开日:1998-03-26

在其他国家申请的专利:AU5818390、AU630980、BR9006840、CA2033990、EP0436680、ES2060175T、HU57008、JP2811121B2、JP4502473T、KR150221、US5183492、WO9100278等。

工艺专利:EP0831091(CA2216323、JP10120659)等。

合成路线

根据文献查询目前氟丙嘧草酯的合成路线主要有4条:

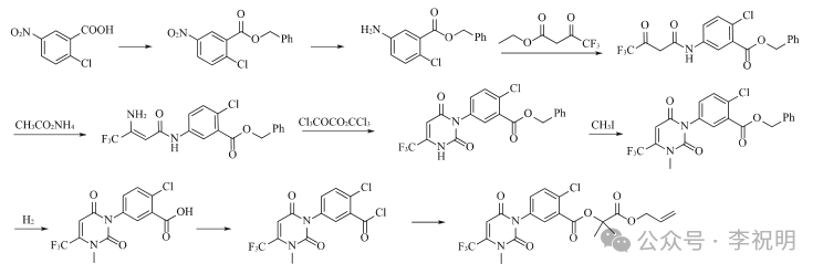
路线一:以5-硝基-2-氯苯甲酸为起始原料,经酯化、还原、胺解、缩合、环合、甲基化、加氢还原、酰氯化、缩合等9步反应制得氟丙嘧草酯。该合成路线首先对活性基团羧基进行保护,经一系列反应后再用催化加氢的方法将羧基脱保护,最后与2-羟基异丁酸烯丙酯缩合生成氟丙嘧草酯。反应式如下:


图片


路线二:也以5-硝基-2-氯苯甲酸为起始原料,经酯化、还原、异氰酸化、环合等4步反应制得目标产物氟丙嘧草酯。与路线1相比,该合成路线利用羧酸与2-羟基异丁酸烯丙酯直接进行酯化反应,省去了羧基的保护和脱保护2步反应,最后与3-甲氨基-4,4,4-三氟巴豆酸乙酯直接环合即可制得目标物氟丙嘧草酯。合成路线如下:


图片


路线三:以5-氨基-2-氯苯甲酸为起始原料,与氯化亚砜反应制得酰氯,再与2-羟基异丁酸烯丙酯的钠盐(M-2)发生酯化反应得到5-氨基-2-氯苯甲酸(1-甲基-1-烯丙氧羰基乙)酯(M-3)。另将3-氨基-4,4,4-三氟巴豆酸乙酯与N,N-二甲氨基甲酰氯反应制成3-(3,3-二甲基脲基)-4,4,4-三氟巴豆酸乙酯(M-4)后与M-3在酸性条件下环合得到M-5,进一步与碘甲烷发生N-甲基化得到目标物氟丙嘧草酯。该反应路线操作简便,反应条件温和适宜实验室操作。合成路线如下:

图片


路线四(江苏激素):在路线一的基础上,由2-氯-5-(1,2,3,6-四氢-3-甲基-2,6-二氧-4-三氟甲基嘧啶-1-基)苯甲酸甲酯与2-羟基异丁酸丙烯酯在酯交换催化剂的存在下,经一步酯交换反应生成氟丙嘧草酯。

图片

复配推介

氟丙嘧草酯+2,4-滴/2甲4氯异辛酯:该组合可用于非耕地、果园、小麦田苗期,防除一年生黑麦草、罔草、萹蓄、繁缕等禾本科杂草和阔叶杂草,使用成本低,效果好。

氟丙嘧草酯+双氟磺草胺/五氟磺草胺:该组合适用于防除果园、非耕地、藤本作物田、与单剂单独使用相比明显提高了除草效果,扩大杀草谱。

氟丙嘧草酯+精喹禾灵/高盖:该组合适用于防除果园、非耕地、藤本作物田、棉花田杂草,对作物安全,同时降低了农药使用量。

氟丙嘧草酯+氯氟吡氧乙酸/三氯吡氧乙酸:该组合的防治效果比单剂有了明显提高,降低了农药的使用剂量,减少了农药对生态环境的不利影响;对杂草抗性的综合治理有着重要意义,具有巨大的经济效益和社会效益。

氟丙嘧草酯+环吡氟草酮:该组合能有效防除作物田中的日本看麦娘、菵草、千金子、野燕麦、雀麦等杂草问题,具有扩大杀草谱、减少施用量、对作物安全、能够产生增效作用并解决抗性杂草等特点。

氟丙嘧草酯+氯吡嘧磺隆:该专利除草组合具有增效作用,杀草谱广,可提高对恶性杂草香附子的防效,适用于小麦苗前、非耕地等使用。

前景展望

氯丙嘧草酯具有高效、低毒、广谱、无明显抗性等优势,在国外包括苯嘧磺草胺在内的该类除草剂已经成为当前发展最快的除草剂品种之一,随着国内草项的变化,和对安全性,低残留等概念的倡导,国内氯丙嘧草酯也具有较好的市场前景。同时氟丙嘧草酯也可作为先导化合物进行进一步优化,得到更优的除草剂品类。