提示
×
取消
确定
当前位置:首页 > 新闻资讯
由氯虫苯甲酰胺新工艺专利申请,谈中间体专利保护的重要性
来源:《农药》   发布时间:2024-08-19 09:10
简述
国外原研公司对研发出的化合物进行严密的专利布局以延长化合物专利的生命周期,化合物中间体专利是保护强度较好的一种专利保护方法,在后续维权过程中易于取证维权。近年来,农药杀虫剂明星产品氯虫苯甲酰胺(chlorantraniliprole)。
国外原研公司对研发出的化合物进行严密的专利布局以延长化合物专利的生命周期,化合物中间体专利是保护强度较好的一种专利保护方法,在后续维权过程中易于取证维权。近年来,农药杀虫剂明星产品氯虫苯甲酰胺(chlorantraniliprole)一直是业界讨论的热点,虽然氯虫苯甲酰胺化合物专利在国内已到期,但是由于氯虫苯甲酰胺化合物中间体专利的存在使得我国农药企业在是否投产方面还有所顾忌。国外原研公司对农药化合物的中间体布局非常重视,而我国农药企业在研发过程中对化合物中间体的专利保护还没引起足够的重视,在工艺研发过程中虽然时常涉及新的中间体化合物,但是并没有对中间体化合物进行专利保护,而是选择制备工艺的专利保护。


笔者根据专利审查和服务企业的经验,认为国内企业选择对农药化合物制备工艺进行保护,放弃对中间体化合物专利保护的原因大概有如下2个方面:一方面,《专利审查指南》中对中间体化合物创造性标准没有进一步释明,中间体化合物也是化合物,因此,企业认为中间体化合物的审查标准应该按照化合物的标准进行审查。但是,中间体化合物通常是指能够用来直接制备或者直接分离得到最终产物的化合物,其本身一般没有直接的用途。申请人认为按照《专利审查指南》的规定化合物应该有用途或效果才能判断其是否具有创造性,而中间体化合物没有在农药应用中表现出特定用途和效果,因此很难体现其创造性。另一方面,关于中间体化合物创造性的审查标准研究也鲜有报道,企业不知道如何申请中间体化合物专利才能符合审查要求,而制备工艺的专利申请则有成熟的经验可以参考。上述原因导致国内企业在保护农药化合物制备工艺时,很少考虑同时保护在制备工艺中有重要作用的新的中间体化合物,也直接导致了我国企业农药中间体化合物知识产权的大量流失。本文通过对《专利审查指南》和相关案例的梳理,探索中间体化合物的审查标准,期望能够为我国农药企业对农药化合中间体专利保护提供借鉴。

01 中间体化合物的审查标准

《专利审查指南》中只给出了化合物的发明创造性的一般判断标准:① 结构上与已知化合物不接近的,有新颖性化合物,并有一定用途或者效果,审查员可以认为它有创造性而不必要求其具有预料不到的用途或者效果。② 结构上与已知化合物接近的化合物,必须要有预料不到的用途或者效果。此预料不到的用途或者效果可以是与该已知化合物的已知用途不同的用途;或者是对已知化合物的某一已知效果有实质性的改进和提高;或者是对已知化合物的某一已知效果有实质性的改进或提高;或者是在公知常识中没有明确的或不能有常识推论得到的用途或效果。③ 2种化合物结构上是否接近,与所在的领域相关,审查员应当对不同的领域采用不同的判断标准。

中间体化合物通常是指能够用来直接制备或者直接分离得到最终产物的化合物,其本身一般没有直接的用途。专利审查实践中,中间体化合物的创造性通常根据由其生产的后续产品的方法或所得产品进行判断:① 中间体化合物的创造性可以体现在它用于制备有创造性的后续产品,并且对该后续产品的结构和性能作出了贡献。如果该中间体经由一个已知化合物来制备一个有创造性的后续产品,则不能认为该中间体对后续产品的结构和性能作出了贡献。② 中间体化合物的创造性也可体现在它对由其生产后续产品的有创造性的方法作出了贡献。

具体到制备已知农药化合物工艺中出现的新的中间体的创造性,其更多的要体现在该中间体对已知农药化合物制备方法上作出了创造性的贡献。正常研发过程中新的工艺取得的效果都可能与新的中间体化合物有着很强的相关性,在此情形下,可以同时保护农药化合物的制备方法和新的中间体化合物,更好地加大企业的知识产权保护力度。

02 典型案例

氯虫苯甲酰胺是邻甲酰氨基苯甲酰胺类杀虫剂,自2008年上市以来,已在世界100多个国家销售,几乎覆盖了所有主要市场,优良的杀虫效果使其成为杜邦公司的明星产品、全球第一大杀虫剂。杜邦公司于2003年2月27日申请了原研专利WO0315519,原研专利中并没有详尽公开适合工业大量生产氯虫苯甲酰胺的合成方法。围绕氯虫苯甲酰胺的制备方法,杜邦公司先后提交了5件专利申请,涉及吡唑中间体、苯胺中间体以及新的工艺条件。经STN以及VEN数据库检索,截至2022年12月31日,国内外氯虫苯甲酰胺制备方法的专利申请共有73件,其中国外申请39件,5件对中间体进行了保护,3件获得了授权,国内申请34件,均没有涉及中间体保护。四氯虫酰胺(tetrachlorantraniliprole)是国内开发的同类产品,于2013年获得临时登记,2017年取得正式登记,自上市以来成长迅速。下面结合2件具体的涉及氯虫苯甲酰胺、四氯虫酰胺新工艺的专利申请,分析中间体化合物的保护价值及其创造性的判断标准。

2.1  案例1

发明CN102285899是文献的中国申请,涉及一种新的制备邻氨基苯甲酰胺类杀虫剂的工艺。

2.1.1  案情介绍

现有技术WO03015519(对比文件1)中以式3a化合物与式4a化合物反应制备式2化合物,继而由式2化合物按图1反应式制备式1a化合物。

图片

                                     图1  现有技术WO03015519中式1a化合物的制备

本案例发明人开发了一种新的制备工艺,反应式见图2。

图片

                                         图2  案例1发明中式1b化合物的制备

发明人申请专利请求保护相应的制备工艺以及式3b中间体化合物,最终均获得了专利授权。对照现有技术和该专利的反应式来看,两者的反应历程是明显不同的,新的制备工艺有必要进行专利保护。该工艺中式3b中间体化合物虽然结构简单且与现有技术中的式3a中间体化合物结构接近,但是由于该结构是区别于现有技术中的式3a中间体的新化合物且对于制备工艺很重要,因此有必要同时进行专利保护,提出专利保护前也需要着重研究该中间体对于新的工艺带来的好的技术效果,比如收率提高、成本降低等,并体现在申请文件中。

该发明专利申请过程中,国家知识产权局也质疑了中间体化合物的创造性,主要理由在于:对比文件1中公开了化合物1a和4a,根据本领域常用的逆向合成分析方法,在对比文件1已经公开了式1a化合物和式4a化合物的基础上,本领域技术人员容易想到使用式4b化合物和2-氨基-5-氯-N,3-二甲基苯甲酰胺反应从而制备式1b化合物,而且氨基和羧酸反应生成酰胺的方法是本领域的公知常识。国家知识产权局接受了中间体化合物的创造性主要是基于如下更为优异的技术效果:现有技术需要2个复杂的反应才能制得目标化合物,而本发明使用中间体化合物3b仅通过1个简单步骤就制备了目标化合物,本申请方法更加方便、有效和节约成本。

该发明涉及重大经济利益,第三人已提起无效宣告请求程序,争议的焦点集中在该中间体化合物是否给制备工艺带来了更高的终产物收率,即它是否对生产后续产品的有创造性的方法作出了贡献。

2.1.2  典型意义

该案例典型意义在于表明农药化合物制备方法中中间体化合物的保护至关重要,本专利涉及的氯虫苯甲酰胺化合物虽然专利已到期,但是该中间体专利的存在延长化合物专利的生命周期,对竞争对手形成了技术壁垒,通过该中间体专利保护可以给企业带来巨大的经济效益。此外,该案例也为申请人答复中间体化合物的创造性提供了借鉴意义,让申请人在答复中间体化合物创造性方面有了方向和指引。

2.2  案例2

发明CN101747318涉及了一种新的制备邻氨基苯甲酰胺类杀虫剂的工艺。

2.2.1  案情介绍

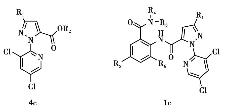
该发明涉及了图3中4c中间体化合物,4c结构式中,R1选自Br,R2选自乙基(即羧酸酯化合物),经由相应的羧酸化合物形式制备具有杀虫活性的式1c化合物的工艺,见图3。

图片

                                         图3  发明CN101747318中式4c和1c化合物

专利申请文件中强调了部分终产物化合物具有很好的杀虫活性。现有技术WO2008010897(对比文件2)中公开了相应的羧酸化合物形式以及以其为中间体制备邻氨基苯甲酰胺类杀虫剂的工艺。

发明人就式4c中间体化合物提出了发明专利申请,该发明专利申请经历了复审程序,最终未能获得专利权。国家知识产权局的主要理由在于:① 本申请的中间体并不是直接生成终产物的中间体,其先转化为对应的羧酸,即对比文件2中的化合物,再转化为对应的酰氯,最后制备得到具有良好杀虫活性的化合物,可见经由了一个已知化合物来制备得到终产物化合物。而且其带入终产物的结构部分与对比文件2中的中间体带入终产物的结构完全相同,因此不能认为本申请的中间体对有创造性的终产物化合物的结构和性能作出了贡献。② 经由本申请的酯类中间体与对比文件2的酸类化合物得到对应终产物,均是通过将其转化为酰氯,再与含氨基的另一部分结构反应生成含酰胺键的终产物。由于通过羧酸转化为酰氯,再与含氨基的另一部分结构反应生成含酰胺键的终产物的方法已被对比文件2公开,并且依据有机合成领域获得羧酸的基础知识,容易想到选择本领域常见的且容易水解的低级脂肪羧酸酯(如乙基酯)水解获得相应的羧酸,即经由本申请通式4c羧酸酯水解得到羧酸是本领域获得羧酸最常用的方法。本申请中并没有技术内容体现使用本申请通式4c羧酸酯水解得到羧酸中间体继而生产最终的方法,具有何种更为优异的技术效果。因此未能体现它对由其生产后续产品的有创造性的方法作出了贡献。

2.2.2  典型意义

该案例典型意义在于进一步阐述了中间体化合物创造性的判断标准。如果本案例申请人在研发过程中留意了所述中间体化合物对于制备方法带来的技术效果,并在说明书中着重强调了所述效果,又或是研究开发其他能体现该中间体对现有技术作出了贡献的路线或终产物,那么该中间体化合物创造性就更有可能被认可,并获得授权。

03 总 结

农药化合物制备过程中出现的新的中间体化合物对制备工艺作出突出的贡献,保护中间体化合物可以使竞争对手难以规避。同时,中间体化合物结构明确,在后续侵权比对过程中易于比对,取证容易,对竞争对手产生巨大的震慑作用。因此,在对农药化合物制备工艺研究过程中出现的新中间体化合物应该首先考虑通过专利申请对其进行保护。在专利申请文件中应该着重突出中间体化合物对制备农药化合物带来的突出的技术效果,这样的专利申请才能更容易授权。


作者:韩涛1  徐妍2  王险3(1.国家知识产权局专利局专利审查协作北京中心;2.北京宇悦生物科技有限公司;3.北京恩赫律师事务所)