卵菌病原菌是引起许多农作物病害的重要病菌之一,因其在有性阶段产生卵孢子而得名,卵菌病原菌具有菌种种类多(目前发现的卵菌类病原菌已超过700种)、生存方式多样、对寄主破坏性强、传播范围广等特点。它们主要通过干扰和破坏寄主细胞的免疫反应系统,来引发农作物的毁灭性病害,每当病害暴发时都会给全球造成数十亿美元的经济损失,严重时甚至会给人类带来巨大的灾难,而在卵菌引起的病害中尤以霜霉病和疫病最难防治。因此针对霜霉病和疫病的防治就显得非常重要。
四唑吡氨酯是由大日本墨水公司发现、日本曹达公司开发的新型四唑肟类杀菌剂,英文通用名picarbutrazox,分子式C20H23N7O3,相对分子质量409.442,化学结构式如图1所示。四唑吡氨酯可通过抑制病菌细胞膜的形成、抑制菌丝生长和孢子萌发,减少孢子囊形成和游动孢子的数量,来防治卵菌纲病害霜霉病和疫病,例如假霜霉属、盘霜霉属、疫霉属、腐霉属等病害。国际杀菌剂抗性行动委员会(FRAC)将四唑吡氨酯归类为作用机制不明的U17类别,研究表明四唑吡氨酯具有全新作用机制,且与QoI和苯酰胺类杀菌剂没有交互抗性。

图1 四唑吡氨酯的化学结构式
经检索四唑吡氨酯的专利合成方法主要由日本曹达株式会社、拜耳公司发布,其合成方法可归纳为2部分:1)关键中间体(1-甲基-1H-四唑-5-基)(苯基)甲酮肟(M)的合成,2)四唑吡氨酯的合成。
关键中间体(1-甲基-1H-四唑-5-基)(苯基)甲酮肟(M)的合成路线主要有3条,分别以苯乙酮(1)、苯甲酰氯(2)、2-氧代-2-苯基乙酸甲酯(3)为起始原料,见图2。首先3个原料经不同的反应路线合成共同中间体N-甲基-1-氯-2-氧代-2-苯基乙酰亚胺(4),再与叠氮化钠发生合环反应,得到1-甲基-5-苯甲酰基四唑(5),而后中间体5与盐酸羟胺反应合成中间体M。

图2 中间体M的合成
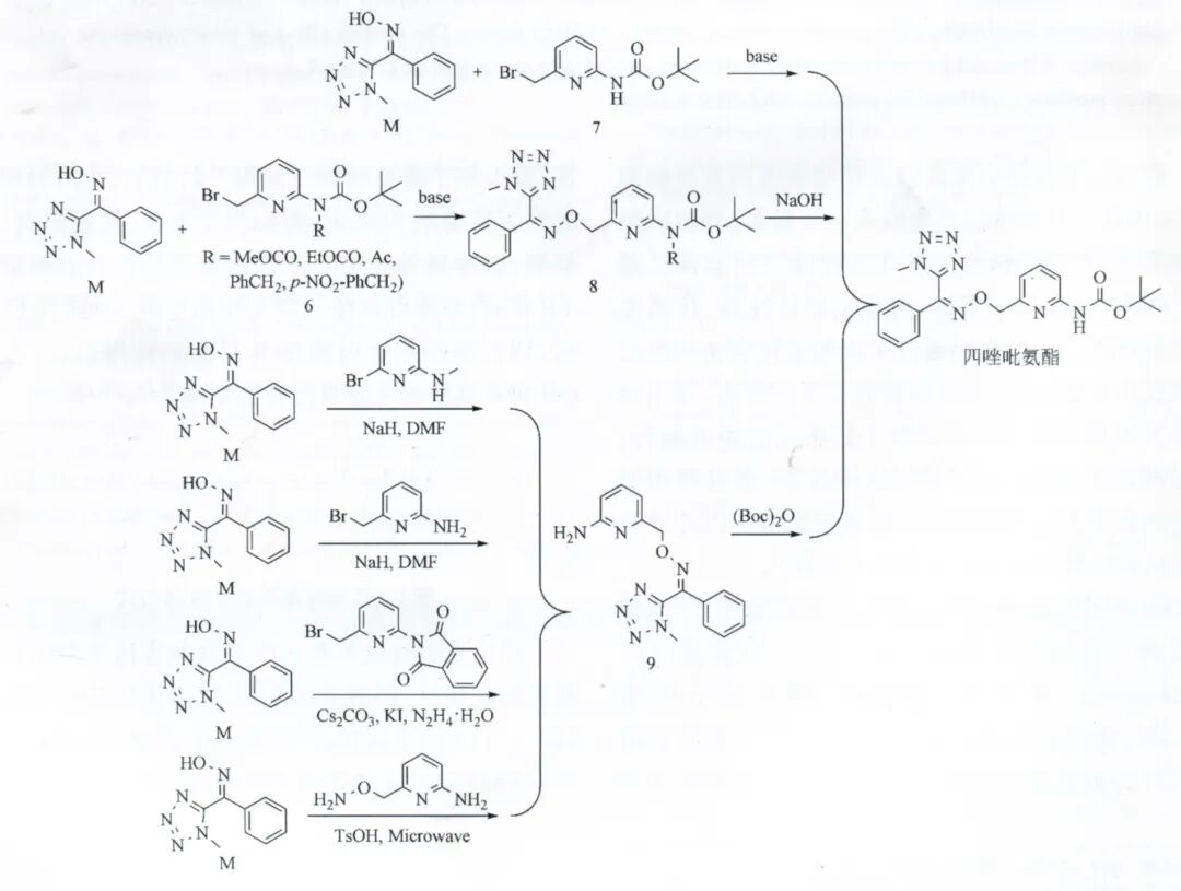
四唑吡氨酯的合成方法可归纳为3种,见图3。1)1-甲基-1H-四唑-5-基)(苯基)甲酮肟(M)和2-溴甲基-6-((叔丁氧羰基)氨基)吡啶(7)直接在碱性条件下发生取代反应合成四唑吡氨酯;2)中间体M与R基取代的2-溴甲基-6-((叔丁氧羰基)氨基)吡啶,在碱性条件下发生取代反应得到R取代的四唑吡氨酯,最后在碱性条件下水解掉R基团得到四唑吡氨酯;3)中间体M与吡啶的几种衍生物首先合成中间体9,最后与二碳酸二叔丁酯反应合成目标产物四唑吡氨酯。

图3 四唑吡氨酯的合成方法
本文经上述文献总结和实验探索,以苯乙酮(1)为起始原料首先合成1-甲基-5-苯甲酰基四唑(5),中间体5与盐酸羟胺合成(1-甲基- 1H-四唑-5-基)(苯基)甲酮肟(M),中间体M再与2-溴甲基-6-((叔丁氧羰基)氨基)吡啶(7)进行反应合成四唑吡氨酯,合成路线见图4。

图4 四唑吡氨酯的合成
1 实验部分
1.1仪器与试剂
Mercury 600(Varian)型核磁共振仪(TMS为内标);RY-1型熔点仪,天津分析仪器厂;Agilent 1100系列高效液相色谱;R-210型旋转蒸发仪,瑞士Biotage;Heidolph MR Hei-Tec磁力搅拌器,海道尔夫仪器设备(上海)有限公司;lsoelera Prime快速制备液相色谱,瑞士Biotage。N,N-二甲基甲酰胺(DMF)、无水硫酸钠、二氯甲烷、二氯乙烷、乙酸乙酯、乙醇、吡啶、碳酸钾、36%浓盐酸,国药集团化学试剂有限公司;快速柱层析用硅胶(150-750 μm),青岛海洋化工厂。
1.2化合物的合成
1.2.1 1-甲基-5-苯甲酰基四唑(5)的合成
向氯化亚砜(7.25mL,100.0mmol)中加入苯乙酮(1.17mL,10.0mmol)和吡啶(0.08mL,1.0mmol),所得混合物在室温下搅拌10h。将混合溶液中的氯化亚砜蒸干,残留物溶解在10.0mL甲苯中,将所得溶液在冰水浴下滴加到甲胺水溶液中(40%,9.0mL,104.0mmol),在室温下搅拌2h,所得混合物用100mL(1mol/L)盐酸水溶液稀释,并用60mL乙酸乙酯萃取。减压浓缩有机相,所得油状物溶于10mL甲苯中,冰浴条件下加入氯化亚砜(1.09mL,1.51mmol),在室温下搅拌3h,蒸干氯化亚砜。所得残余物溶于10mL甲苯,在0℃下滴加到叠氮化钠(1.9g,30.0mmol)的5mL水溶液中,在0℃下搅拌4h,恢复至室温继续搅拌2h。反应液中加100mL水稀释后,用60mL乙酸乙酯萃取,蒸干有机相,并用柱层析纯化,得淡黄色固体1.32g,收率70%,熔点76℃。1H NMR(600MHz,CDCl3)δ:8.48-8.43(m,2H),7.65~7.68(m,1H), 7.60~7.54(m,2H),4.40(s,3H)。
1.2.2(1-甲基-1H-四唑-5-基)(苯基)甲酮肟(M)的合成
在25℃下将中间体5(1.2g,6.38mmol)溶于10g乙醇中,在搅拌情况下加入盐酸羟胺(1.33g,19.13mmol),加毕,反应液置于85℃下保温加热5h。然后将反应液冷却至室温,向其中加入100 mL水,并搅拌30 min,然后将混合物用布氏漏斗过滤,滤饼用水淋洗,干燥后得白色固体1.25g,收率96%,熔点58℃.1H NMR(600 MHz,CDCl3)δ:7.91~7.86(m,1H),7.58~7.61(m,1H), 7.46~7.50(m, 2H),4.38(s, 3H)。
1.2.3 6-溴甲基吡啶-2-氨基甲酸叔丁酯(7)的合成
在25℃下,将6-甲基吡啶-2-氨基甲酸叔丁酯(5g,24.01 mmol)溶于30 mL二氯乙烷中,在搅拌状态下加入N-溴代丁二酰亚胺(NBS,4.36g,24.49 mmol),偶氮二异丁腈(AIBN,0.39g,2.40 mmol),加毕,混合溶液置于80℃温度下保温搅拌Sh,反应液中加入二氯甲烷和水萃取,有机相蒸干后柱层析纯化,得棕黄色固体5.2g,收率75%,熔点131℃。1H NMR(600 MHz, CDCl3) :7.71~7.73(d,1H),7.64~7.65(d,1H), 7.31~7.35(m, 1H),2.55(s, 2H),1.51(s, 9H)。
1.2.4 四唑吡氨酯的合成
将中间体M(0.80g,3.94 mmol)溶解于5 mL DMF中,加入中间体7(1.24g,4.33 mmol)和碳酸钾(0.82g,5.91 mmol),反应混合物80℃搅拌9h,然后用乙酸乙酯和水萃取,有机相用无水硫酸钠干燥、过滤、脱溶,物柱层析纯化得白色固体0.92g,纯度96%,收率57.1%。1HNMR(600 MHz,CDCl3) δ:7.88~7.89(m, 1H),7.66~7.69(m, 1H),7.50~7.52(m,2H),7.43~7.46(m,1H),7.36~7.39(m,1H), 6.93~6.95(m, 1H), 5.26(s, 2H), 3.98(s,3H),1.52(s,9H)。HRMS [M+ Na]+m/z计算值432.175,实测值432.174。
2 生物活性测定
2.1试验方法
采用活体盆栽测定方法,称取待测样品四唑吡氨酯及对照药剂氰霜唑各0.0088g,分别溶解在2 mL丙酮中,用含有0.1%吐温80的水稀释,配制成400 mg/L待测液20 mL。并用0.1%吐温80的水继续稀释到更低质量浓度的药液。在作物喷雾机上设置喷液参数:喷液量1000 L/hm2,喷液压力为1.5 kg/cm2,将药液喷施于病害寄主植物上(寄主植物为在温室内培养的标准盆栽苗),自然风干并在24 h后进行病害接种。依据病害特点,将需要控温保湿培养的病害植物接种后放在人工气候室中培养,待病害完成侵染后移人温室培养,将不需要保湿培养的病害植物直接在温室内接种并培养。待对照充分发病后(通常为7 d时问)进行化合物防病效果调查。
活性评价标准:用0~100%来表示,以“0”代表无防效,“100%”代表完全杀死。
2.2试验结果
对黄瓜霜霉病、番茄晚疫病进行室内活性筛选(见表1),四唑吡氨酯在1.56 mg/L剂量下对黄瓜霜霉病和番茄晚疫病的防治效果均可达到98%。
表1室内杀菌活性数据

3 讨论与结论
本文对四唑吡氨酯的合成方法进行了检索和总结,并选择一条适合实验室操作的方法,以苯乙酮为起始原料,经过4步反应制得四唑吡氨酯,通过核磁和质谱验证了其结构。对目标化合物进行了初步的生物活性测定,结果表明该化合物对卵菌纲病害具有优异的防治效果,在有效成分为1.56 mg/L剂量下对黄瓜霜霉病和番茄晚疫病的防效均可达到98%。该化合物结构和作用机制新颖,有较大的研究价值。
作者:钟福贵,杨吉春,李志念,杨慧鑫,关爱莹
(沈阳中化农药化工研发有限公司新农药创制与开发国家重点实验室,农药国家工程研究中心)