四唑菌酮(Metyltetraprole)是住友化学2013年研发的新型四唑啉酮类杀菌剂,从结构上看其与甲氧基丙烯酸酯类杀菌剂吡唑醚菌酯结构相似,都具有相同的吡唑醇基团,不同的是四唑菌酮引入了四唑酮结构,这一独特设计使得四唑菌酮在作用机制和性能上可能更为优异。研究表明,四唑菌酮对多种真菌性病害都表现出显著的防效,并对传统QoIs类杀菌剂已经产生抗性的植物病原体依然展现出独特的抑制活性。据悉其对鳞翅目、蜚蠊目等多种害虫也有一定的杀灭作用(有待验证)。目前四唑菌酮由巴斯夫和住友化学共同开发,预计将在欧盟首先上市。

英文名称:metyltetraprole
中文名称:四唑菌酮
化学名称:1-[2-[[1-(4-氯苯基)吡唑-3-基]氧基甲基]-3-甲基苯基]-4-甲基四唑-5-酮
分子式:C19H17ClN6O2
相对分子质量:396.830
CAS登录号:1472649-01-6
结构式:

三维结构式:

理化性质:原药为黄色固体
四唑菌酮属于QoI类杀菌剂,作用于复合体III,主要是通过与位于线粒体内膜的电子传递链细胞色素bc1复合物的亚基蛋白相结合,从而有效地抑制病原真菌的呼吸作用,最终导致真菌细胞的死亡。
国际杀菌剂抗性行动委员会 FRAC 11A,C3,QoI-杀菌剂A亚组。
应用作物:谷物田,小麦、大麦、水稻等,豆科作物,大豆、花生、棉花、茄科作物,马铃薯、烟草、茄子、辣椒,瓜类作物以及观赏作物等。
防治病害(生测方向):小麦锈病、小麦叶枯病、水稻稻瘟病、大麦网斑病、菜豆菌核病、黄瓜霜霉病、茄子,黄瓜炭疽病、黄瓜靶斑病、番茄晚疫病、大豆灰霉病等。
生测表明:四唑菌酮在1.5625 mg/L,质量浓度下对大豆锈病具有 100%的防治效果;在6.25 mg/L的质量浓度下,对小麦白粉病防效为93%;在最高质量浓度100mg/L下,对黄瓜霜霉病和大豆灰霉病的防治效果分别为100%和80%。
欧盟评审中....

专利名称:四唑啉酮化合物及其作为杀虫剂的用途
申请号:CN201380021504.5
授权日:2017/06/06
申请日:2013/04/26
失效日:2033/04/26
公开历史:CN104245689A 2014/12/24;CN104245689B 2017/06/06
首次公开日:2014/12/24
最早优先权日:2012/04/27
最早优先权国家/地区:日本
优先权:JP2012-102452 2012/04/27;JP2012-213693 2012/09/27
初始申请人:住友化学株式会社
当前专利权人:住友化学株式会社
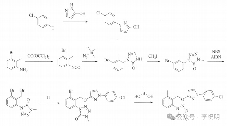
路线一:以对氯碘苯,5-羟基吡唑和2-甲基-3-溴苯胺为原料,经过7步反应生成四唑菌酮。合成路线如下:张傲等. "Metyltetraprole的合成及杀菌活性." 农药 7(2024).

路线二:以1,2-二甲基-3-硝基苯为原料,经氧化得2-(甲氧甲基)-1-甲基-3-硝基苯,所得产物经过还原得2-(甲氧甲基)-3-甲基苯胺,所得苯胺产物在光气作用下生成异氰酸酯,在叠氮化钠作用下发生环化反应得到产物1-(2-(甲氧基甲基)-3-甲基苯基)-1,4-二氢-5H-四唑-5-酮,环化产物在硫酸二酯的参与下发生甲基化反应,得到1-(2-(甲氧基甲基)-3-甲基苯基)-4-甲基-1,4-二氢-5H-四唑-5-酮,甲基化产物与氢溴酸发生溴代反应,溴代产物与1-(4-氯苯基)-1,2-二氢-3H-吡唑-3-酮反应得到产物四唑菌酮,反应式如下:Toriumi T, Ito T, Nagashima Y, JP 2016/113426 (Sumitomo Chemical Company Ltd.). chem Abstr. 2016:165:101059.

四唑菌酮+甲基硫菌灵:两成分组合可扩大杀菌谱,增效作用明显,可用于防治如苹果轮纹病、柑橘炭疽病、苹果斑点落叶病具有很好的防治效果,对作物安全。
四唑菌酮+氯氟醚菌唑:两成分在一定的比例范围内复配,具有一定的增效作用,对农作物上的真菌病害比如苹果褐斑病、番茄早疫病、柑橘炭疽病、黄瓜靶斑病、水稻纹枯病等具有很好的防治效果,增效作用明显。
Qo位点呼吸作用抑制剂,是目前应用最广泛的农用杀菌剂品种,该类杀菌剂具有杀菌谱广,内吸传导性好,持效期长,对作物安全的特点,常见的品种有嘧菌酯、吡唑醚菌酯、肟菌酯等,然而由于长时间不合理的应用和作用位点单一,一些农作物病原菌已经对传统QoIs杀菌剂产生了严重的抗性。然而四唑菌酮作为新型的Qo位点抑制剂,对对传统QoIs类杀菌剂产生抗性的病原菌仍旧保持高效的杀灭作用,在欧洲进行的田试中,四唑菌酮展示出了比市面上同类产品更好的小麦叶枯病(壳针孢属病害)防治效果。同时该类化合物可能对包括鳞翅目,双翅目,蜚蠊目在内的害虫具有较高的防效,当然这些也有待进一步探索,目前住友化学和巴斯夫已向多国递交了登记申请,相信不久就会上市。