氯氟醚菌唑是巴斯夫公司2012年开发的一种新型三唑类杀菌剂。从结构上看其引入了异丙醇基团,这也使得其相较于现有的常规三唑类杀菌剂具有更优异的性能,同样作为三唑类杀菌剂氯氟醚菌唑具有很好的内吸传导性,对病害具有保护、治疗和铲除作用,治病彻底,持效期长。其对多种难以防治的真菌性病害特别是已发病植物病害具有杰出的生物活性,如炭疽病、褐斑病、疫病、玉米大斑病、水稻稻瘟病、纹枯病等60多种病害都具有优异的防效。同时氯氟醚菌唑对哺乳动物、蜜蜂等毒性较低,安全性高,不会造成急性和长期毒性,打破了传统三唑类杀菌剂对人体和动物的潜在危害。目前,氯氟醚菌唑已在韩国、欧盟、澳大利亚、加拿大、美国、中国等全球多个国家和组织展开登记,成为三唑类杀菌剂的重要新生力量。
英文名称:mefentrifluconazole
中文名称:氯氟醚菌唑
其他名称:Revysol;Belanty
化学名称:rac-(2R)-2-[4-(4-氯苯氧基)-2-(三氟甲基)苯基]-1-(1,2,4-三唑-1-基)丙-2-醇
分子式:C18H15ClF3N3O2
相对分子质量:397.779
CAS登录号:1417782-03-6
结构式:

三维结构式:

理化性质:氯氟醚菌唑纯品为无特殊气味的白色结晶粉末,熔点:121~122 ℃,约300 ℃开始分解。蒸气压:3.2×10-6Pa(20 ℃),6.5×10-6 Pa(25 ℃)。相对密度:1.468g/cm3(20 ℃)。水中溶解度(mg/L,20℃):0.81(水中),0.66(pH4水中),0.71(pH 7水中)。有机溶剂中的溶解度(g/L,20℃):93.2±1.6(丙酮),116.2±1.8(乙酸乙酯),73.2±3.2(甲醇),55.3±0.4(1,2-二氯乙烷),49.4±0.7(乙腈),8.5±0.1(二甲苯),9.46×10-2±0.9×10-3 (正庚烷)。PKa:3.0;辛醇-水分配系数logPow:3.4 (20 ℃、pH4)、3.4(20 ℃、pH7)、3.4 (20 ℃、pH9)。
氯氟醚菌唑属于膜中甾醇生物合成抑制剂,作用于膜中甾醇生物合成中的C14-去甲基酶。通过阻止麦角甾醇的生物合成,抑制细胞生长,破坏菌体细胞膜功能。与其他三唑类杀菌剂不同的是,其分子中含有的异丙醇基团,使其能从游离态自由旋转与靶标结合成为结合态,减少病菌突变,延缓抗性的产生和发展,因此,其对多种抗性菌株始终保持高效,可以解决常规三唑类杀菌剂不能解决的抗性问题。
应用作物:谷物、玉米、果树、蔬菜、观赏作物等
防治病害:果树(柑橘、苹果、梨、葡萄等)炭疽病,早疫病(番茄、马铃薯),褐斑病,白粉病(小麦、月季、黄瓜),叶斑病,靶斑病等
常见剂型:400克/升氯氟醚菌唑SC,可与广谱性的甲氧基丙烯酸酯类杀菌剂和琥珀酸类杀菌剂复配,如吡唑醚菌酯、氟唑菌酰胺、吡啶菌胺、吡啶菌酰胺等。
国内登记情况
目前国内仅巴斯夫登记该有效成分,单剂为400g/L的悬浮剂,复配制剂为与吡唑醚菌酯和氟唑菌酰胺的复配,复配产品均为广谱性大品。


国外登记情况
英国登记情况

澳大利亚登记情况

加拿大登记情况

美国登记情况

专利名称:杀真菌的取代的2-[2-卤代烷基-4-苯氧基苯基]-1-[1,2,4]-三唑-1-基乙醇化合物
专利号:CN103649057B
专利申请日:2012-07-12
专利权人:巴斯夫农业公司
专利到期日:2032-07-11
其他国家专利号:EP2731935B1、US2014155262A1、CR20130673A、CO680103A2、IL230031D0、JP5789340B2、AR087194A1、AU2012282501B2。
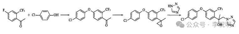
路线一:由4-氟-2-三氟甲基苯乙酮与4-氯苯酚在碱性条件下发生取代反应生成1-[4-(4-氯苯氧基)-2三氟甲基苯基]乙酮,再与三甲基铳碘化物或三甲基铳甲基硫酸盐反应环氧化反应,生成2-[4-(4-苯氧基)-2-三氟甲基苯基]-2-甲基环氧乙烷,与1,2,4-三氮唑在碱性条件下发生开环反应得到氯氟醚菌唑。反应式如下:

路线二:由1-溴-4-氟-2-三氟甲基苯在碱性条件下与4-氯苯酚发生取代反应,生成1-溴-4-(4-氯苯基)-2-三氟甲基苯,在异丙基氯化镁或氯化锂作用下,与乙酰氯发生反应,生成1-[4-(4-氯苯氧基)-2-三氟甲基苯基]乙酮,再与液溴发生取代反应,生成2-溴-1-[4-(4-氯苯氧基)-2-三氟甲基苯基]乙酮,然后与1,2,4-三氮唑在氢化钠作用下发生取代反应,生成1-[4-(4-氯苯氧基)-2-三氟甲基苯基]-2-[1,2,4]-三唑1-基乙酮,再与甲基溴化镁发生格氏反应,得到氯氟醚菌唑。合成路线如下:

路线三:由4-溴-2-三氟甲基碘苯与异丙基氯化镁生成格氏试剂,与乙酰氯反应生成4-溴-2-三氟甲基苯乙酮,再与三甲基铳碘化物反应生成2-(4-溴-2-三氟甲基苯基)-2-甲基环氧乙烷,与1,2,4-三氮唑在碱性条件下发生开环反应,生成1-(4-溴-2-三氟甲基苯基)-1-甲基-2-(1,2,4-三唑-1-基)乙醇,再与双(频哪醇合)二硼发生反应得到1-[2-氯-4-(4,4,5,5-四甲基-1,3,2-二氧杂硼杂戊环)-2-基]-1-甲基-2-(1,2,4-三唑-1-基)乙醇,加入双氧水氧化得到3-三氟甲基-4-[1-甲基-1-羟基-2-(1,2,4-三唑-1-基)乙基]苯酚,最后在碱性条件下与4-氯氟苯发生醚化反应,生成氯氟醚菌唑。

路线四:久易路线,以2-溴-5-氟-三氟甲苯为起始原料先制备成芳基格式试剂再与溴丙酮反应,再依次经过开环取代和醚化反应得到氯氟醚菌唑。该路线将第一步传统合成方法中的乙酰氯换成溴丙酮,2-溴-5-氟三氟甲苯制备成芳基格式试剂后与溴丙酮发生亲核加成反应并进一步发生关环,将原有的乙酰化和环氧两步反应合并为一步反应,简化了合成方法。合成路线如下:

氯氟醚菌唑+氟啶胺:该组合可用于防治禾谷类、瓜类、果树、蔬菜类等的多种病害,如辣椒炭疽病病和棉花炭疽病等
氯氟醚菌唑+噻呋酰胺:该组合扩大了杀菌谱,对植物上的白粉病、灰霉病、叶霉病、灰斑病、菌核病、黑星病、炭疽病、锈病、疫病、纹枯病、立枯病等病害具有显著的协同增效作用
氯氟醚菌唑+联苯吡菌胺:该组合可协同增效,克服和延缓了病菌的抗药性,杀菌速度快、防治范围广、持效期长、可用于防治白粉病、灰霉病、锈病、赤霉病、臼粉病、褐斑病、菌核病、枯萎病、白腐病、炭疽病、腐烂病、霜霉病、晚疫病、叶枯病、叶锈病、叶斑病、早疫病等
氯氟醚菌唑+异菌脲:该组合复配,能够产生增效作用,继而使得形成的农药杀菌剂具有良好的杀菌效果,且有较大的防治谱,特别地对于马铃薯早疫病、苹果褐斑病、番茄早疫病有良好的防治效果。
氯氟醚菌唑是巴斯夫近十年来研发的首个全新结构的新型三唑类杀菌剂,填补了三唑类杀菌剂在新农药登记法规与安全审核条件下被禁用后的市场空白。是欧盟三唑类药剂新法规下,第一个获得登记的全新专利的三唑类药剂,同时氯氟醚菌唑分子结构灵活,对突变菌株仍保持高活性,且与其他三唑类无交互抗性,性能显著优于传统三唑类产品。另外氯氟醚菌酯在种子处理剂等细分市场也有很好的开发潜力,如马铃薯种子处理防治疫病,水稻种子处理防治恶苗病等,可以预见的是随着专利期的届满,产能的释放,未来氯氟醚菌唑与琥珀酸抑制剂类杀菌剂的复配产品将会成为市场极具开发其潜力的产品。