磺酰脲类除草剂是目前世界上主流的除草剂品种之一,也是最重要的除草剂品种之一,常年稳坐除草剂销售品种的第二把交椅(排名第一的是氨基酸类),磺酰脲类2015年的全球销售额在20.19亿美元,占据整个除草剂市场份额的8.5%。
磺酰脲类除草剂由杜邦公司最早发现,其发现推动了整个除草剂的发展,是除草剂进入超高效时期的标志。第一个进入市场的产品是绿磺隆,该产品于1975年发现,1982年在美国正式注册登记。
目前已经商品化的品种有40多个,常见品种也有10几种。主要的目标作物为小麦,水稻,玉米,大豆,油菜,甜菜,甘蔗等。主要作用于乙酰乳酸合成酶。导致支链氨基酸异亮氨酸与剂,缬氨酸缺乏,结果使细胞周期停滞于G1和G2阶段而使植物根生长受抑制。其特殊性在于既不影响细胞伸长,也不影响种子发芽及出苗,其高度专化效应是抑制植物细胞分裂,使植物生长受抑制。导致植物偏上性生长,芽端生长点坏死,叶脉失绿,抑制植物生长,最终全株枯死。磺酰脲类除草剂虽然作用迅速,但杂草全株彻底死亡却需要较长的时间。
磺酰脲类除草剂活性极高,每公顷的有效成分使用量仅以克计,是超高效的农药品种。其具有除草谱广,选择性强和使用方便等特点。同时对哺乳动物安全,环境中易分解,但是部分品种在土壤中的持效期较长,可能会对后茬作物产生药害。
以下是磺酰脲类主要种类按照作物的分类:
作用作物 | 主要产品 | 作用特点 |
小麦田阔叶杂草 | 苯磺隆,苄嘧磺隆,噻吩磺隆,酰嘧磺隆 | 苯磺隆由于使用时间久,杂草抗药性很强,新的产品‘酰嘧磺隆’有市场潜力。主要防除阔叶杂草。 |
小麦田禾本科杂草 | 甲基二磺隆,氟唑磺 隆,甲基碘磺隆 | 甲基二磺隆的靶标作物是节节麦,氟唑磺隆的靶标作物是野燕麦,同时可以防治部分阔叶杂草。 |
玉米田 | 烟嘧磺隆,甲酰氨基嘧磺隆,氯吡嘧磺隆 | 主要用于防治禾本科杂草和部分阔叶杂草 |
水稻田 | 苄嘧磺隆,吡嘧磺隆 | 主要用于防治阔叶杂草和部分禾本科杂草 |
其他作物 | 氯吡嘧磺隆,单嘧磺隆,三氟啶磺隆 | 氯吡嘧磺隆高效防除香附子,单嘧磺隆应用于谷子. 三氟啶磺隆用于甘蔗,棉花 |
1. 苯磺隆(tribenuron-methyl)
苯磺隆是由杜邦公司1984年开发成功的小麦田磺酰脲类除草剂。杜邦公司于1995年在我国正式登记苯磺隆75%干悬浮剂(巨星)。并于2002年在我国专利到期,而后国产苯磺隆上市并占领市场。
苯磺隆化学名称为2-[4-甲氧基-6-甲基-1,3,5-三嗪-2-基 (甲基)氨基甲酰氨基磺酰基]苯甲酸甲酯,结构式如下:
苯磺隆是重要的麦田阔叶杂草除草剂,作用高效,广谱,低毒,高选择性。主要用于防除各种一年生阔叶杂草,对播娘蒿、荠菜、碎米荠菜、麦家公、藜、反枝苋等效果较好,对地肤、繁缕、蓼、猪殃殃等也有一定的防除效果,对田蓟、卷茎蓼、田旋花、泽漆等效果不显著,对野燕麦、看麦娘、雀麦、节节麦等禾本科杂草无效。
苯磺隆的施药时间主要是小麦的2叶期至拔节期,在杂草的苗前或苗后早期施药。对于刚萌发的杂草,低剂量即可取得防效,随着杂草的生长,使用剂量也相应增高。为侧链氨基酸合成抑制剂,通过植物的根、茎、叶吸收后,迅速传导,抑制乙酰乳酸合成酶(ALS)的活性,阻碍缬氨酸与异亮氨酸生物合成,造成生长受抑制,植株在1-3周内死亡。正常情况下施药的安全间隔期为60天。
苯磺隆目前面临的最主要问题就是抗药性。苯磺隆已经面世20多年, 也经历了从高防效到现在使用效果几乎为零。虽然以苯磺隆为主的单剂目前面临的杂草抗药性的尴尬境地,但不少以苯磺隆作为增效剂的复配剂型仍然活跃在麦田阔叶杂草防除的主战场,常常用于复配与乙羧氟草醚、唑草酮、氯氟吡氧乙酸等产品。
生产工艺
苯磺隆合成工艺主要分3 个部分,即两个中间体邻甲酸甲酯苯磺酰胺和N-甲基三嗪的合成以及这两个中间体最后缩合成苯磺隆。
1. 不溶性糖精为原料生产邻甲酸甲酯苯磺酰胺:

2.以乙腈为起始原料合成N-甲基三嗪
3.邻甲酸甲酯苯磺酰异氰酸酯(由邻甲酸甲酯苯磺酰胺经光气法或双光气法合成)与N-甲基三嗪在二氯甲烷中缩合,反应结束后将二氯甲烷蒸除,加入甲醇精制,过滤、干燥即得苯磺隆产品。
主要出口信息:
苯磺隆在2019年共计出口2870.34万美元(海关数据显示,包含制剂和原药),出口最多的国家是俄罗斯,2019年共计进口436.14万美元,其次是德国,进口421.78万美元,第三名是美国, 共计出口287.14万美元。乌克兰,印度尼西亚,哈萨克斯坦,希腊,埃塞俄比亚,埃及,斯洛文尼亚为苯磺隆出口前10名的国家。
2.甲磺隆(Metsulfuron methyl)
甲磺隆,是美国杜邦公司在80年代初期开发的高效麦田除草剂,属于磺酰胺类,对人畜低毒。主要用于防除阔叶杂草,同时对部分禾本科杂草也有很好的防效。可有效地防治小麦田的看麦娘、婆婆纳、繁缕、巢菜、荠菜、碎末荠、播娘蒿、藜、蓼、稻搓草、水花生等杂草。

其活性是氯磺隆的2-3倍,主要加工剂型为干燥胶悬剂或可湿性粉剂。但由于其活性高、杀草广泛、针对性强、在世界各地得到广泛应用,在土壤中留下大量残留,且长残效会对水生态环境造成威胁,故国内已于2013年逐步撤销其登记,目前已禁止在国内使用,但在国际市场仍然有广泛应用, 且国内仍然可以持有出口登记。美国和巴西是我国甲磺隆出口的前两大市场。
甲磺隆主要用于防除麦田阔叶杂草 , 也可以防治部分禾本科杂草。主要用于苗前土壤处理或苗后茎叶喷雾。主要作用机理是被植物组织吸收后 , 可在植物体内迅速上下传导, 抑制抑制乙酰乳酸合成酶(ALS)的活性 , 阻止必须氨基酸的生物合成, 抑制细胞分裂与生长,使幼苗失绿,生长点坏死, 叶片萎蔫, 进而植株逐渐枯死,对小麦、大麦、燕麦等麦类作物安全。
甲磺隆由于高效,不能用于玉米,棉花,烟草等敏感作物,同时由于持效期长,小麦田用药后不应轮作其他经济作物,以免产生药害。在碱性土壤中更易产生药害,故更适宜在酸性或中性土壤使用,值得一提的是,可以用于稻麦轮作区。
合成工艺

由其重要中间体邻甲酸甲酯苯磺酰基异氰酸酯(合成方法同苯磺隆)与2-氨基-4-甲基-6-甲氧基均三嗪,二氯乙烷在室温下反应后过滤,脱溶制得。
主要出口国家
海关数据显示,我国2019年甲磺隆出口共计2673万美元左右,其中美国为最大的甲磺隆目的市场2019年进口总额为465万美元左右,第二大市场为巴西,2019年进口额为351万美元左右,马来西亚为第三大市场,2019年进口额为337万美元。印度尼西亚,哥伦比亚,澳大利亚,新西兰,印度,阿根廷等国也是甲磺隆的重要进口国。
3.苄嘧磺隆(Bensulfuron-methyl)
苄嘧磺隆的化学名称是 N-(4 , 6-二甲氧基嘧啶-2-基)邻甲酸甲酯苄基磺酰脲。又叫农得时、稻无草、威农等,属于磺酰脲类广谱,高效,低毒的稻田除草剂。是我国磺酰脲类除草剂使用量最大的品种。
1984年由美国杜邦公司开发成功,1986年在中国临时登记,产品为农得时10%可湿性粉剂,1991年在获得正式登记。国产苄嘧磺隆登记在1990年首次登记。苄嘧磺隆具有超高效活性 , 在初登记时每 666.7m2 用药量 1.3 ~ 2.5g 即可防除稻田中各种 1 年生和多年生阔叶杂草和莎草, 对稗草等亦有抑制作用。
苄嘧磺隆是选择性内吸传导型除草剂。有效成分可在水中迅速扩散,被杂草根部和叶片吸收转移到杂草各部,阻碍氨基酸、赖氨酸、异亮氨酸的生物合成,阻止细胞的分裂和生长。敏感杂草生长机能受阻,幼嫩组织过早发黄抑制叶部生长,阻碍根部生长而坏死。有效成分进人水稻体内迅速代谢为无害的惰性化学物,对水稻安全。使用方法灵活,可用毒土、毒沙、喷雾、泼浇等方法。在土壤中移动性小,温度、土质对其除草效果影响小。
使用方法:一般在水稻1~3叶期使用,每亩用10%可湿性粉剂15~30克拌毒土撒施,也可兑水喷雾。药后保持水层3~5天。移栽田,在插后3~20天用药,药后保水5~7天。
苄嘧磺隆其是具有划时代意义的水稻田除草剂:1.适应性广。适用于不同气候、不同地理环境和不同栽培制度下的水稻田。2.用量极低。每公顷用药量由传统除草剂的千克级降到以克为单位。3.杀草谱宽。对一年生和多年生的阔草、莎草具有优异防效,尤其对节节菜、牛毛毡等效果特佳,高剂量下对稗草等禾草有强烈的抑制生长的作用。4.施药期长。苗前苗后均可施用。5.安全性高。不仅对当茬水稻安全,对水稻生长无任何不良影响,无土壤残留,对后茬作物也很安全。6.可混性强。苄嘧磺隆可与多种除草剂混配使用。目前也被用于小麦田。
需要注意的是苄嘧磺隆对晚稻品种(粳、糯稻)相对敏感,应尽量避免在晚稻芽期施用,否则易产生药害。
生产工艺
1. 由硝酸胍与丙二酸二乙酯为前体制的2-氨基-4,6-二甲氧基嘧啶。

2. 再以邻甲酸甲酯氯苄与硫脲为前体制的邻甲酸甲酯苄基磺酸胺。再用邻甲酸甲酯苄基磺酰胺为前体制的邻甲酸甲酯苄基磺酰异氰酸酯。
3. 用邻甲酸甲酯苄基磺酰异氰酸酯的二甲苯溶液与2-氨基-4,6-二甲氧基嘧啶在室温到搅拌反应8~10h,蒸出二甲苯,用氯丁烷洗涤并干燥,制得苄嘧磺隆。
主要出口信息
据2019年海关数据统计,我国共出口2088.4万美元。其中最大的市场是缅甸,489.9万美元,第二名是孟加拉国,共计出口323.9万美元,越南共计进口242万美元左右,印度尼西亚,巴基斯坦,伊朗,马里,印度等国也是苄嘧磺隆的重要出口目的国。
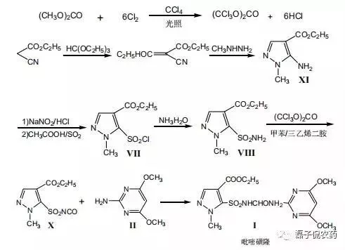
吡嘧磺隆是一种超高效 、广谱 、低毒、水稻田用除草剂 ,于20世纪80 年代后期由日本日产化学工业株式会社开发成功。于1990年上市。为磺酰脲类除草剂,是乙酰乳酸合成酶(ALS)抑制剂。商品名称:Agreen、Sirius、Sparstar、Star,其他名称:草克星,草灭星,草威,西力士等。化学名称:5-(4,6-二甲氧基嘧啶基-2-氨基甲酰氨基磺-1-甲基吡唑-4-羧酸(乙酯)。

吡嘧磺隆属高活性内吸选择性磺酰脲类除草剂 , 是侧链氨基酸生物合成抑制剂 ,它通过抑制植株所必需的氨基酸缬氨酸和异白氨酸的生物合成来阻止细胞分裂, 使杂草的芽和根很快停止生长发育, 随后整株枯死。
用于移栽或直播水稻田、移栽田 、抛秧田 ,防除阔叶杂草和莎草 ,对水稻安全,一般在水稻1~3叶期使用,每亩用10%可湿性粉剂15~30克拌毒土撒施,也可兑水喷雾。药后保持水层3~5天。移栽田,在插后3~20天用药 ,药后保水5~7天。可防治稗草、稻李氏禾、牛毛毡 、水莎草、异型莎草、水芹等一年生杂草和部分多年生杂草 ,芽前或芽后处理 。
需要注意的是对水稻安全性好,但晚稻品种(粳、糯稻)相对敏感,应尽量避免在晚稻芽期施用,否则易产生药害。
合成工艺

将碳酸二甲酯(三光气)溶于四氯化碳中,光照下通入干燥氯气,反应完全后,停止通入氯气,室温下,通氮气除去过量氯气及氯化氢气体,减压脱除四氯化碳,冷却、结晶、干燥后,得二(三氯甲基)碳酸酯(三光气)。利用二(三氯甲基)碳酸酯(三光气)代替光气,在二甲苯及适量异氰酸正丁酯、三乙烯二胺等催化剂条件下和吡唑磺酰胺反应制备吡唑磺酰基异氰酸酯,再与 2-氨基-4,6-二甲氧基嘧啶反应得吡嘧磺隆。
出口情况
我国2019年据海关数据统计共出口1935万美元,其中印度占到357万美元,排名第一,其次是越南,共计进口242.4万美元,澳大利亚,缅甸,孟加拉,柬埔寨,印度尼西亚,俄罗斯等国也是吡嘧磺隆的重要出口目的国。
吡嘧磺隆和苄嘧磺隆相比活性更高,安全性更好同时价格也更贵。苄嘧磺隆性价比更加高一些。
5.甲基二磺隆(( Mesosulfuron-methyl)
甲基二磺隆,又名甲磺胺磺隆,化学名 2-[( 4,6-二甲氧基嘧啶-2-氨基羰基) 氨基磺酰基]-α-( 甲基磺酰氨基) 对甲苯甲酸甲酯,是由德国拜耳公司 2002 年开发的磺酰脲类除草剂。
甲基二磺隆主要通过植物的茎叶吸收,经韧皮部和木质部传导,少量通过土壤吸收,抑制敏感植物体内的乙酰乳酸合成酶的活性,导致支链氨基酸的合成受阻,从而抑制细胞分裂,导致敏感植物死亡。一般情况下,施药2~4小时后,敏感杂草的吸收量达到高峰,2天后停止生长,4~7天后叶片开始黄化,随后出现枯斑,2~4周后死亡。甲基二磺隆使用过程中需要安全剂,促进其在作物体内迅速分解,而不影响其在靶标杂草体内的降解。
甲基二磺隆的施用技术是:在小麦幼苗期至拔节期之前,杂草3—4叶期刚出齐苗时,每亩用3%油悬剂25—30毫升,兑水30千克茎叶喷施。防除对象主要是一年生的禾本科杂草看麦娘、野燕麦、棒头草、早熟禾、雀麦、蜡烛草、节节麦,并可兼除部分阔叶杂草如荠菜、播娘蒿、牛繁缕等。
目前防治节节麦的有效药剂仅有甲基二磺隆,但甲基二磺隆对施药技术要求较高,因甲基二磺隆施药不当而引起的药害现象时有发生。一般会采用添加安全剂的方式,另外甲基二磺隆这个选择性除草剂对施药时间要求苛刻,施药时间不对容易产生药害,使用甲基二磺隆时间一般为小麦三叶期以后,必须反复确认小麦苗壮,这样才不容易产生药害。
合成工艺

以对甲苯腈为原料,经氯磺化 - 氨解、氧 化、还原、甲磺酰化、醇解反应得到关键中间体 5-甲磺酰氨基甲基-2-甲氧羰基苯磺酰胺再与4,6-二甲氧基-2-( 苯氧基羰基) 氨基嘧啶反应制得甲基二磺隆。
出口情况:
据2019年海关数据显示, 我国共出口甲基二磺隆314万美金,其中三分之一以上的份额出口国家为土耳其和比利时,做出口量都在100万美金左右。另外巴基斯坦,乌拉圭和肯尼亚也有小部分的市场需求。
烟嘧磺隆(商品名玉农乐)是磺酰脲类除草剂,是由日本石原株式会社开发的广谱、高效、低毒、低残留、高选择性的除草剂。于1993年正式登陆中国市场,首次为4%烟嘧磺隆悬浮剂的登记证。1999年登记烟嘧磺隆原药,2003年登记80%烟嘧磺隆可湿性粉剂,随着2007年初专利在国内到期。主要用于冬春两季玉米田防除杂草。
中文别名为:1-(4,6-二甲氧基嘧啶-2-基)-3-(3-二甲基氨基甲酰吡啶-2-基磺酰)脲,结构式为:

烟嘧磺隆为侧链氨基酸合成抑制剂。可被杂草茎叶和根部吸收,随后在植物体内传导,使杂草停止生长,茎叶褪绿、逐渐枯死。一般情况下,8~10 天杂草失绿,20 天左右死亡。
主要用于防除玉米田一年生和多年生禾本科杂草、莎草和某些阔叶杂草,对狭叶杂草活性超过阔叶杂草,对玉米作物安全。主要可防治玉米田的杂草:稗草、野燕麦、狗尾草、马唐、牛筋草、野黍、反枝苋、龙葵、苍耳和苘麻、刺儿菜、莎草等;尤其对防除稗草、狗尾草、马唐、牛筋草、香附子、画眉草效果突出。
施药时间为夏玉米3-5叶期,杂草2-4叶期施药。杂草小,土壤湿润用药量少,杂草大,土壤干燥时用药量增大。
2007年自专利到期后,烟嘧磺隆使用量快速增加,原因之一就是玉米种植量的增加。玉米已发展成集饲料、 口粮和工业原料为一身的重要作物, 其种植面积仅次于禾谷类与水稻而居世界第三位。由于乙醇燃料及绿肥的开发, 我国玉米种植面积快速增长,带动了烟嘧磺隆的发展。另外由于安全剂和复配产品的开发,使的烟嘧磺隆20多年长青不老。
生产工艺:

以2-氯烟酸为起始原料经酰胺化、磺化、氨化制得中间产物2-氨基磺酰基-N,N-二甲基吡啶酰胺,再与氯甲酸酯反应,然后与2-氨基-4,6-二甲氧基嘧啶反应,即得烟嘧磺隆。
出口信息
非洲是我国烟嘧磺隆出口的最大目的地,我国2019年出口海关数据显示出口烟嘧磺隆共计6673万美元,其中进口第一的国家为加纳,共计进口919万美元,排名第二的是科特迪瓦,出口量为811万美元左右,排名第三的是尼日利亚,出口量为807万美元,其次是法国(用于转口到非洲法语区),乌克兰,波兰,塞内加尔,俄罗斯,巴西等国。
来源: 磊子侃农药