提示
×
取消
确定
当前位置:首页 > 新闻资讯
草地贪夜蛾克星甲氨基阿维菌素苯甲酸盐,2020年市场将更加广阔
来源:农化专利网   发布时间:2020-02-10 16:26
简述
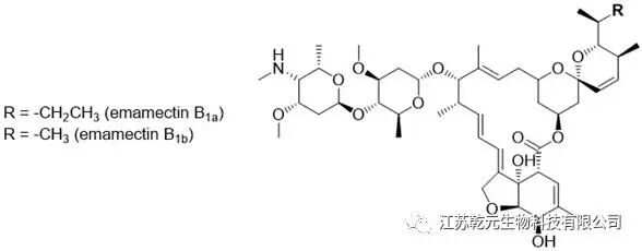
1、简 介甲氨基阿维菌素苯甲酸盐(Emamectin benzoate),简称甲维盐,是1984年美国默克公司对4″-(α-1-齐墩果糖基)-α-1-齐墩果糖上的羟基进行衍生化研究的结果。

 1、简 介


甲氨基阿维菌素苯甲酸盐(Emamectin benzoate),简称甲维盐,是1984年美国默克公司对4″-(α-1-齐墩果糖基)-α-1-齐墩果糖上的羟基进行衍生化研究的结果。

甲维盐是以发酵产品阿维菌素B1为先导化合物,通过衍生合成、优化改进而成的一种新型高效半合成抗生素杀虫剂,它具有超高效,低毒(制剂近无毒),无残留,无公害等生物农药的特点,与阿维菌素比较,首先,其杀虫活性提高了1-3个数量级,对鳞翅目昆虫的幼虫和其它许多害虫及螨类的活性极高,既有胃毒作用又兼触杀作用,在非常低的剂量(0.084~2g/ha)下具有很好的效果,而且在防治害虫的过程中对益虫没有伤害,有利于对害虫的综合防治;另外,扩大了杀虫谱,降低了对人畜的毒性。

目前已在多个国家获得登记,包括美国、澳大利亚、日本、西班牙、意大利和欧盟,用于防控棉铃虫等鳞翅目害虫。1999年首次登记进入中国市场。截止2019年12月31日,中国已有10家原药生产商,349个制剂登记。



2、适用范围


甲维盐在推荐使用剂量下对所有作物高度安全,国外已经广泛用在很多粮食作物和经济作物。在我国作为一种绿色农药可以防治虫害应用于烟草、茶叶、棉花等经济作物和所有蔬菜作物。尤其对鳞翅目、双翅目、蓟马类超高效,如红带卷叶蛾、烟蚜夜蛾、棉铃虫、烟草天蛾、小菜蛾粘虫、甜菜夜蛾、草地贪夜蛾、斜纹夜蛾、甘蓝银纹夜蛾、菜粉蝶、菜心螟、甘蓝横条螟、番茄天蛾、马铃薯甲虫、墨西哥瓢虫等。是一种高效抗蠕虫药,作为绿色无公害杀虫剂广泛应用于种植业和畜牧养殖业。


3、作用机制/靶点信息


甲维盐可以增强神经质如谷氨酸和γ一氨基丁酸(GABA)的作用,从而使大量氯离子进入神经细胞,使细胞功能丧失,扰乱神经传导,幼虫在接触后马上停止进食,发生不可逆转的麻痹,在3-4天内达到最高致死率。由于它和土壤结合紧密、不淋溶,在环境中也不积累,极易被作物吸收并渗透到表皮,使施药作物有长期残效,在10天以上又出现第二个杀虫致死率高峰,同时很少受环境因素如风、雨等影响。


4、登记查询


4.1 中国登记信息:


4.2 欧盟登记信息:


A.I. ≥ 950 g/kg, a mixture of: 
① min. 920 g/kg emamectin B1a benzoate 
and 
② max. 50 g/kg emamectin B1b benzoate)

4.3美国登记信息:

在美国登记该产品的有7个公司,其中,中国企业有山东润丰、江苏龙灯。


5、专利信息


专利过期产品,略。


6、合成路线简介


国内有2条甲维盐生产工艺路线:
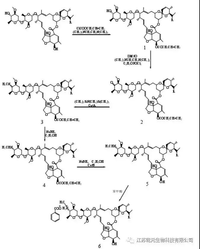
① 用叔丁基二甲基氯硅烷作保护剂,草酰氯作氧化剂,CH3NH2作胺化剂来合成甲氨基阿维菌素;

② 用氯甲酸烯丙酯作保护剂,二甲基亚砜、四甲基乙二胺和苯基酰二氯共作氧化剂,最后用七甲基二硅氮烷作胺化剂来合成甲氨基阿维菌素。

由于诸多原因(原料、回收率、反应条件、工艺流程和产品质量等原因)大多数厂家采用第2条工艺路线生产。
该产品的经典六步法合成路线如下:



7、原药预分析及杂质剖析


由于甲维盐的是以阿维菌素为原料合成得到的,所以,原料阿维菌素的品质(有效体比例、杂质含量、数量)直接影响甲维盐产品的品质。根据欧盟公布的登记规格,要求AI含量不低于95%, 且B1a不低于92%、B1b不大于5%,这就要求,用于生产甲维盐的阿维菌素中B1a不低于92%、B1b不大于5%,否则生产出来的产品在比例上就很可能不符合要求,而想通过各种纯化手段达到要求,势必导致成本的上升。

对于该产品的分析方法开发不存在技术难度,而对于原药中杂质的剖析,对于有过阿维菌素杂质的分离、结构确证的实验室会比较轻松,否则将会非常困难。目前,南京大学的申晟研究员团队对该产品的杂质研究是非常透彻的,也正因为此前的技术积累,该团队才会几乎囊括了该产品所有的杂质标准品制备的业务。


8、 后 记


2019年因为草地贪夜蛾这个“幺蛾子”,让甲维盐这个产品备受瞩目。据了解,草地贪夜蛾被誉为世界十大植物害虫之一,寄主植物达到300多种,具有能吃、能飞、能生、难防四大特点,自2019年1月首次入侵中国以来,从云南开始快速向北扩散蔓延,已经对全国26省1,538个县的1,500多万亩作物构成威胁。

中国农业农村部于2019年发布的《全国草地贪夜蛾防控方案》中,甲维盐被列在了“应急防治用药推荐名单”单剂及复配的第一位,足见其在防治草地贪夜蛾的高效。而2019年冬,对全国绝大多数地区而言又是一个暖冬,多数植保专家均表示2020年度作物虫害的防治将会是一个不小的挑战,而草地贪夜蛾仍然会是一个“顽疾”。估计在2020年度,甲维盐仍将会在虫害防治方面建功立业。

来源: 江苏乾元生物科技有限公司