提示
×
取消
确定
当前位置:首页 > 新闻资讯
害虫产生抗性难防治?新型杀虫剂三氟苯嘧啶拥有广阔前景!
来源:中国农化专利网   发布时间:2019-12-18 14:58
简述
稻飞虱属于同翅目(Homoptera)飞虱科(Delphacidae),是水稻种植中的主要害虫之一。其不仅直接刺吸植株汁液,为害水稻,还能传播水稻锯齿叶矮缩病毒、水稻草矮病毒和水稻条纹病毒等,严重影响水稻的产量和品质。
稻飞虱属于同翅目(Homoptera)飞虱科(Delphacidae),是水稻种植中的主要害虫之一。其不仅直接刺吸植株汁液,为害水稻,还能传播水稻锯齿叶矮缩病毒、水稻草矮病毒和水稻条纹病毒等,严重影响水稻的产量和品质。为害亚太地区水稻的飞虱主要有3种:褐飞虱、白背飞虱和灰飞虱,其中以褐飞虱发生和为害最重,白背飞虱次之。随着稻飞虱对常规药剂抗性的不断增强,其发生危害程度逐年加重,迫切需要开发新型杀虫剂来解决这一难题。


三氟苯嘧啶是美国杜邦公司专门为亚太市场开发的第一个新型介离子嘧啶酮类杀虫剂,开发代号DPX-RAB55,其化学结构和作用机理新颖,高效、低毒、对环境友好,可有效防治各种抗性飞虱和叶蝉等害虫。

本文对三氟苯嘧啶的理化性质、毒理学、代谢与残留、作用特点、生物活性、产品的开发应用等进行了介绍。
 
理化性质


三氟苯嘧啶的化学结构核心为吡啶并嘧啶二酮,同时具有正负电荷离域的偶极化合物特征,因而具有3种正负电荷互变异构体(图1)。其中前两种比较常用,分别为SciFinder检索表达式和杜邦专利表达式。
 
图1 三氟苯嘧啶的3种正负电荷互变异构体
 
化学名称3,4-二氢-2,4-二氧代-1-(嘧啶-5-基甲基)-3-(α,α,α-三氟间甲苯基)-2H-吡啶并[1,2-α]嘧啶-1-鎓-3-盐
 
CAS登录号1263133-33-0
 
分子式C20H13F3N4O2
 
相对分子质量398.34。
 
三氟苯嘧啶为黄色无味固体,熔点为188.8~190℃,205~210℃开始分解;蒸汽压为2.88×10-8 Pa(30℃),亨利常数4.19×10-8 Pa·m3/mol,相对密度1.450 2±0.009 6(20℃),堆密度0.835 g/cm3,实密度0.913 g/cm3pH值(1%水悬浮液)为8.0±0.05,正辛醇-水分配系数LogPow=1.23±0.01(pH=4,20℃);水和有机溶剂中的溶解度(g/L):水0.23±0.01(20℃),N,N-二甲基甲酰胺377.62,乙腈65.87,甲醇7.65,丙酮71.85,乙酸乙酯14.65,二氯甲烷76.07,邻二甲苯0.702,正辛醇1.059,正己烷0.000 5。
 
三氟苯嘧啶的稳定性:pH值为4、7和9时对水解稳定(50℃);自然水中光解(25℃)DT50值为2.8 d,缓冲液中光解DT50值为2.1 d;对金属和金属离子稳定(54℃14 d);不易燃、不自燃,对热、摩擦和挤压等不敏感。
 
毒理学

哺乳动物毒性


三氟苯嘧啶对大鼠急性经口LD50值>4 930 mg/kg,大鼠急性经皮LD50值>5 000 mg/kg,大鼠吸入LC50值(4 h)>5 mg/L;对家兔眼睛有轻微刺激性,对家兔皮肤无刺激性,对豚鼠皮肤无致敏性;每日允许摄入量约为0~0.2 mg/kg。三氟苯嘧啶无体外基因毒性、致畸性、免疫毒性和神经毒性。

生态毒性


三氟苯嘧啶对有益生物的影响较小。北美鹑(Colinus virginianus)急性经口LD50值为2 109 mg/kg,短期饲喂LD50值>935 mg/kg;鲤鱼(Cyprinus carpio)急性LC50值(96 h)>100 mg/L,虹鳟鱼(Oncorhynchus mykiss)急性LC50值(96 h)>107 mg/L;大型溞(Daphnia magnaEC50值(48 h)>122 mg/L。
 
三氟苯嘧啶对赤子爱胜蚓(Eisenia foetida)的LC50值(14 d)>1 000 mg/kg;对西方蜜蜂(Apis mellifera)接触LD50值(72 h)为0.39 μg/只,经口LD50值(72 h)为0.51μg/只,毒性高于其他烟碱类杀虫剂、乙基多杀菌素、氟虫腈和茚虫威。
 
三氟苯嘧啶在实验室和田间条件下对多种寄生蜂、瓢虫、捕食天敌(如蜘蛛、小花蝽、盲蝽)等无害或微毒,田间使用浓度200 g/hm2对肉食性天敌蜘蛛无不良影响,与自然天敌具有良好的相容性,可用于有害生物综合防治和生态工程项目。
 
代谢与残留

体内代谢


在动物体内,几乎所有标记的化合物都通过尿液(40%~48%)和粪便(43%~53%)排出,主要排泄物为母体化合物三氟苯嘧啶(在尿液中占比约为41%,粪便中占比约为18%),还有部分去羟基、水解、氧化和去羰基等代谢途径产物。
 
三氟苯嘧啶在植物体内的代谢产物主要为母体化合物三氟苯嘧啶,还有叶片中的IN-RPA19、叶片和秸杆中的IN-R6U72、谷粒中的IN-Y2186和谷壳中的IN-R3Z91;在土壤中具有潜在的富集性,其残留不会从土壤中转移到后茬作物。代谢产物IN-SBY68仅在土壤中出现;在水中的光解产物为INRUB93。
  
图2 三氟苯嘧啶的6个主要代谢产物

残留限量与检测


美国于2017年对三氟苯嘧啶的最大残留限量进行了规定,在去壳大米和含壳大米中的最大残留限量分别为0.4 mg/kg和1.0 mg/kg。日本于2018年发布的大米中三氟苯嘧啶的最大残留限量为0.01 mg/kg。农药残留联席会议(JMPR)和欧洲食品安全管理局(EFSA)建议的三氟苯嘧啶的最大残留限量,除JMPR对大米建议为0.2 mg/kg外,其余均为0.01 mg/kg。
 
三氟苯嘧啶在植物和动物中都可使用液相色谱-串联质谱(LC-MS/MS)进行残留检测,但前处理方法不同:植物基质使用乙醇+水(体积比7∶3)萃取后,用HLB固相萃取柱净化;动物组织、奶和蛋的基质使用乙腈+水(体积比1∶1)萃取后直接分析。QuEChERS多残留检测法也适用于三氟苯嘧啶。彭家慧等用乙腈萃取基质后,以分散固相萃取净化结合高效液相色谱仪(DSPE-LC)对水稻(糙米、谷壳和植株)、土壤和田水中的三氟苯嘧啶残留进行了测定。


作用特点与活性

作用特点


与吡虫啉、氟啶虫胺腈和氟吡呋喃酮等新烟碱类杀虫剂不同,三氟苯嘧啶是现有作用于烟碱乙酰胆碱受体的杀虫剂中唯一起抑制作用的药剂,即为烟碱乙酰胆碱受体抑制剂。与吡虫啉等烟碱乙酰胆碱受体竞争调节剂一样,三氟苯嘧啶通过与烟碱乙酰胆碱受体的正性位点结合,阻断靶标害虫的神经传递而发挥杀虫活性。但由于与烟碱乙酰胆碱受体竞争调节剂对受体的结合方式不同,且与之存在竞争关系,三氟苯嘧啶能够有效防治对新烟碱类杀虫剂产生抗性的稻飞虱等害虫,国际杀虫剂抗性行动委员会将其归属于第4E亚组。
 
在摄入三氟苯嘧啶后15 min至数小时,美洲大蠊、桃蚜和褐飞虱等害虫即出现中毒症状,呆滞不动,无兴奋或痉挛现象,随后麻痹、瘫痪,直至死亡。
 
三氟苯嘧啶具有内吸传导活性,可在植物木质部移动,既可用于叶面喷雾,也可用于育苗箱土壤处理。 

生物活性


三氟苯嘧啶对飞虱等同翅目害虫及其传播的病毒具有很好的防控效果,增产效果明显,可用于水稻、玉米、马铃薯、棉花和大豆等作物及其温室苗圃种植。研究表明,三氟苯嘧啶对玉米蜡蝉、马铃薯叶蝉、水稻褐飞虱和二点黑尾叶蝉均具有较高活性,其LC50值为0.2~1.6 mg/kg,对水稻稻飞虱的活性明显高于吡虫啉,但对小菜蛾、秋黏虫和桃蚜等其他害虫的活性相对较低。三氟苯嘧啶对水稻褐飞虱和白背飞虱有特效,可用于该类害虫的抗性管理。
 
原药的合成供应

合成路线


三氟苯嘧啶可由中间体2-[3-(三氟甲基)苯基]丙二酸二(2,4,6-三氯苯酚)酯或2-[3-(三氟甲基)苯基]丙二酰氯(Ⅰ)与中间体N-(5-嘧啶基)甲基-2-吡啶胺(Ⅱ)缩合稠环化得到(图3)。结合原料、操作、反应条件、原子利用率和三废等因素,中间体(Ⅰ)优选2-[3-(三氟甲基)苯基]丙二酰氯(Ⅰ-Cl)。
 
图3 三氟苯嘧啶原药的合成路线(R为氯或2,4,6-三氯苯酚基)


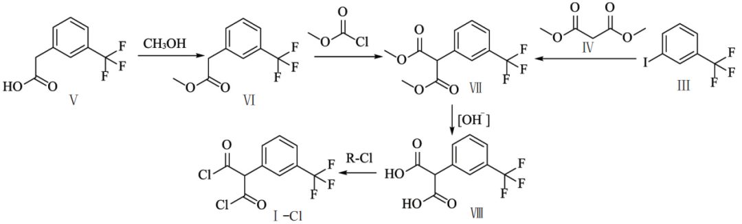
以间三氟甲基碘苯(Ⅲ)或间三氟甲基苯乙酸(Ⅴ)为起始原料,经合成共同的中间体2-[3-(三氟甲基)苯基]丙二酸甲酯(Ⅶ)后,在碱性条件下水解、酰氯化得到中间体2-[3-(三氟甲基)苯基]丙二酰氯(Ⅰ-Cl)(图4)。其中,共同的中间体(Ⅶ)可由间三氟甲基碘苯(Ⅲ)与丙二酸二甲酯(Ⅳ)偶联得到,或由间三氟甲基苯乙酸(Ⅴ)经酯化后取代得到。


图4 中间体(Ⅰ-Cl)的合成路线


中间体N-(5-嘧啶基)甲基-2-吡啶胺(Ⅱ)的合成,以2-氨基吡啶(Ⅸ)和5-醛基嘧啶(Ⅹ)为原料,经缩合还原或一步合成得到(图5)。
 
图5 中间体(Ⅱ)的合成路线

原药分析


三氟苯嘧啶原药可使用带二极管阵列检测器的高效液相色谱仪,用外标法测定其有效成分含量。标样和试样用乙腈溶解,以乙腈+0.1%乙酸水溶液(体积比5∶5)为流动相,选择波长264 nm进行检测。

原药供应
目前三氟苯嘧啶的化合物和合成路线还处于专利期,仅有美国杜邦公司生产。该公司的三氟苯嘧啶原药在中国最早的登记含量为94%,现已更新为98%;目前在印度的登记含量为94%。三氟苯嘧啶化合物在中国的专利(CN102665415A)将于2030年8月3日届满。
 
制剂的开发应用

制剂及其应用


目前开发的三氟苯嘧啶单剂主要有10% SC和10.6% SC,于水稻生长早期、稻飞虱虫口密度始繁时茎叶喷雾,可显著防控敏感和抗性稻飞虱。10.6%三氟苯嘧啶SC在印度按剂量237 mL/hm2处理防治水稻褐飞虱和白背飞虱,防效优于其他常规药剂,且增产效果明显。用于玉米灰飞虱防治的50%三氟苯嘧啶FS和其他单剂及新应用也正在开发中。
 
三氟苯嘧啶的复配和混用研究开发主要集中在以下2个方面:(1)与不同作用靶标的杀虫剂复配或混,如鱼尼丁受体抑制剂氯虫苯甲酰胺和溴氰虫酰胺、钠通道抑制剂茚虫威、蜕皮激素生长调节剂甲氧虫酰肼、谷氨酸门控氯离子通道调节剂阿维菌素以及甲氨基阿维菌素苯甲酸盐等;(2与相同作用靶标但不同作用方式的杀虫剂复配或混用,如噻虫嗪、吡虫啉、烯啶虫胺、噻嗪酮、噻虫啉、噻虫胺、啶虫脒、呋虫胺、氟吡呋喃酮等。


通过与不同作用机理的杀虫剂复配,实现协同增效,降低用量和成本,减少抗性风险。研究表明,三氟苯嘧啶与氯虫苯甲酰胺桶混或复配(8.3%三氟苯嘧啶+10.7%氯虫苯甲酰胺SC)于稻纵卷叶螟卵孵化高峰期、稻飞虱若虫高峰期施用,可有效防控水稻田中的稻飞虱、稻纵卷叶螟和二化螟等多种害虫,防效显著且速效性较好,持效期较长,对水稻生长安全,对天敌蜘蛛和黑肩绿盲蝽的影响较小。此外,三氟苯嘧啶与氟吡呋喃酮等一种或多种新烟碱类杀虫剂复配后对多种同翅目、鳞翅目、双翅目、缨翅目和半翅目害虫均具有较好的防效。

制剂登记


三氟苯嘧啶最早由美国杜邦公司于2016年在中国获得临时登记,商品名为佰靓珑®10%三氟苯嘧啶SC),叶面喷雾用于防治水稻稻飞虱。国内公司通过授权将其与阿维菌素、氯虫苯甲酰胺和溴氰虫酰胺等邻甲酰氨基苯甲酰胺类杀虫剂进行复配登记,用于水稻上的多种害虫防治(表1)。
 
表1 三氟苯嘧啶制剂在中国的登记情况
 
国外登记方面,美国杜邦公司于2017年在美国获得了三氟苯嘧啶的进口许可,商品名为Pyraxalt®10%三氟苯嘧啶SC)。三氟苯嘧啶于2018年在越南获得登记,商品名为Pexena®106 g/L三氟苯嘧啶SC),用于防治水稻褐飞虱、白背飞虱和灰飞虱。同年,10%三氟苯嘧啶SC在印度的9(3)类制剂登记也获得批准。三氟苯嘧啶在日本、韩国、菲律宾、马来西亚、印度尼西亚和泰国等国家的登记正在进行中。


小结


作为第一个商业化的介离子嘧啶酮类杀虫剂,三氟苯嘧啶以其新颖的作用机理和对同翅目害虫的高防效、长持效性,对哺乳动物和有益生物的无影响或低毒性,对水稻等作物安全的突出特点而被高度关注。三氟苯嘧啶能够有效防控对现有药剂产生抗性的水稻褐飞虱和白背飞虱,同时可控制由稻飞虱传播的多种病毒病害,用于有害生物的综合防治。通过其与不同或相似作用机理的杀虫剂复配,可以扩大杀虫谱,发挥协同防除效果,减缓抗性风险。
 
由于目前三氟苯嘧啶还处于专利保护初期,其深度开发和研究应用有待进行。随着三氟苯嘧啶在多国登记的陆续获批和应用推广的不断深入,其市场潜力巨大。

来源|现代农药