吡氟硫磷是韩国化学研究院(KRICT)发现,并由Sungbo Chemicals Co. Ltd.主导开发的新型吡唑有机磷类杀虫剂,1996在韩国登记上市。并已于2017年6月26日国内化合物专利期届满。
按常理来说,一个新化合物专利到期,多少会有一些公司在国内登记,并销售。但吡氟硫磷却无声无息。不仅国内无一人登记此产品,知网上更无相关文献资料。其国内获取到的信息非常之有限。笔者尝试找到吡氟硫磷的相关信息了解其遇冷的原因,欢迎大家共同讨论:
吡氟硫磷属于新型有机磷类杀虫剂,用于水果,蔬菜,水稻上相关害虫的防治,主要用于控制小菜蛾等鳞翅目害虫,为乙酰胆碱酯酶抑制剂。
乙酰胆碱酯酶抑制剂我们并不陌生,大多数的有机磷类和氨基甲酸酯类杀虫剂都是乙酰胆碱酯酶抑制剂。乙酰胆碱酯酶(AChE)存在于昆虫神经系统,在中枢及外周神经系统中与乙酰胆碱(ACh)受体一起参与完成神经与神经及神经与肌肉突触之间动作电位的传递。抑制乙酰胆碱酯酶的活性将会抑制神经神经递质传递的停止,从而导致动物的麻痹甚至死亡。
吡氟硫磷在杀虫谱上与毒死蜱(氯吡硫磷)等有机磷类杀虫剂和氟虫腈类似,并无优势。而作为乙酰胆碱酯酶抑制剂,与部分有机磷类杀虫剂存在着交互抗性,而有机磷类,特别是毒死蜱已经具有成熟的使用技术及生产工艺,要想分一杯羹谈何容易。
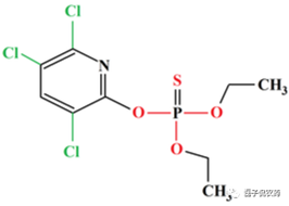
吡氟硫磷的IUPAC化学名称为O,O-二乙基O-(1-苯基-3-三氟甲基-1H-吡唑-5-基)硫代磷酸酯,相对分子质量为380.3,经验式为C14H16F3N2O3PS。
毒死蜱结构式

吡氟硫磷结构式
作为有机磷类杀虫剂, 其活性结构与传统有机磷类杀虫剂类似,故存在着交互抗性。但不同的是吡氟硫磷引入了芳香环上含-CF3的结构。含氟杂环结构的农药活性成分近年来一直是新农药创制的重要方向。相对于含氯的毒死蜱,对环境更加的友好,且-CF3结构能提高农药活性。
| | | |
| 2-氯-3,5-二(三氟甲基)苯基苯甲酰脲衍生物及其制备方法 | | | |
| | | |
| | | |
| | | |
| | 薛瑞军、王素琴、张小会、杜广军、韩胜芳、田群芳、张肖肖 | |
| | | |
| | | |
| | | |
| | | |
| | | |
其在国内的专利情况如上图所示,与登记信息不同的是,专利情况除了制备方法为韩国Sungbo Chemicals Co. Ltd 所有之外,还有9个复配专利,分别由海南正业中农高科,安阳安林生物化工和海利尔药业申请,主要为与菊酯类和烟碱类农药的复配。
笔者认为,如果用专利情况来表现其具有创造性,新颖性等科研价值。那么登记情况就表现出来的是该产品的市场价值。
首先不可否认的是吡氟硫磷作为新型的含氟有机磷类杀虫剂具有广阔的市场,但前路仍然漫漫。笔者认为吡氟硫磷未能进入中国市场或引起重视的主要原因为以下几方面:
2. 高企的价格相对于竞品(毒死蜱,氟虫腈)并不具有竞争性;4. 相似的作用位点导致与有机磷类杀虫剂具有交互抗性,而有机磷类杀虫剂作为传统产品被广泛使用于农业和卫生领域,这就导致了吡氟硫磷还未进入市场,可能害虫就已经具有严重抗性的尴尬局面。
但另一方面,作为“集万千宠爱于一身”的新型含氟有机磷类杀虫剂,其科研价值远远大于市场价值,对推动农药高效,环境友好有着积极的作用。