简述
唑嘧菌胺(Ametoctradin)商品名为Initium,试验代号BAS 650F。又名辛唑嘧菌胺,是巴斯夫研发的新型杀菌剂,其化学名称为5-乙基-6-辛基[1,2,4]三唑[1,5-a]嘧啶-7-胺。
唑嘧菌胺(Ametoctradin)商品名为Initium,试验代号BAS 650F。又名辛唑嘧菌胺,是巴斯夫研发的新型杀菌剂,其化学名称为5-乙基-6-辛基[1,2,4]三唑[1,5-a]嘧啶-7-胺。属于三唑嘧啶类杀菌剂。
唑嘧菌胺的CAS号:865318-97-4分子式:C15H25N5分子量:275.3925。其结构式为:

发 展:
唑嘧菌胺2004年最早被发现,该化合物是在前期高活性化合物a结构的基础上进一步修饰而得到的。

2010年7月,在英国获准登记;同年,在荷兰取得登记;2011年,唑嘧菌胺产品Initium上市;2012年,在澳大利亚、加拿大、意大利和美国登记,用于果树、蔬菜、啤酒花、葡萄、马铃薯和观赏植物;2013年8月1日,唑嘧菌胺被列入欧盟农药登记条例已登记有效成分名单,用于葡萄、蔬菜和马铃薯;2013年8月6日,98%唑嘧菌胺原药在我国获得临时登记;
作用机理:
唑嘧菌胺作为三唑嘧啶类杀菌剂,属于线粒体呼吸抑制剂,对霜霉和疫霉类卵菌纲真菌有控制作用,具有极强的残留活性和耐雨性。
唑嘧菌胺属于线粒体呼吸呼吸链中复合物复合物Ⅲ(bc1复合物)中Qx位点抑制剂,对霜霉和疫霉类卵菌纲真菌有好的控制作用,可用于藤本植物,蔬菜作物和观赏植物。唑嘧酰胺是此分类中唯一的现有杀菌剂,因此与其他商品化的杀菌剂没有交互抗性。
作用靶标:
唑嘧菌胺用作葡萄、果树和特种作物防治由卵菌纲病原菌(霜霉病,疫病等)引起的病害。
作用特点:
作为一种新型杀菌剂,其存在以下优点:一20℃, PH=7时,它在水中的溶解度约为0.15mg/L,所以也具有极强的残留活性和耐雨性;二、它能够有效地预防葡萄霜霉病和马铃薯晚疫病菌以及各种各样的绒毛霉菌;三、其具有很好的毒理特性和生态毒理特性,其中,大鼠急性经口LD50>2000mg/kg,对皮肤和眼睛均无刺激性,并对哺乳动物、蜜蜂、蚯蚓、非靶标土壤的微生物等无毒副作用;四、其化学结构比较新颖,和现有的杀菌剂没有交互抗性。
复配的优势:
巴斯夫主要是将唑嘧菌胺与烯酰吗啉复配后在组成Zampro和Orvego两个新配方推向市场。配方中加入的烯酰吗啉则可增加杀菌谱,并减缓抗性的产生。Zampro主要应用于特种粮食作物,能预防葡萄霜霉病和土豆晚疫病。Orvego则主要应用于观赏性植物。中国也有唑嘧菌胺与烯酰吗啉 47% 悬浮剂的登记, 商品名为德劲。主要用于霜霉病,晚疫病,早疫病。


国内登记情况
国内目前没有唑嘧菌胺单剂登记。 原药登记来源为巴斯夫, 另外巴斯夫在国内登记了唑嘧菌胺与西酰吗啉的复配,另外诺普信也有巴斯夫授权的该复配登记。登记的作物为葡萄霜霉病和马铃薯晚疫病。

专利情况
国内可检索到的专利处于授权状态的都为复配专利。

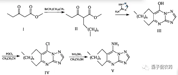
合成工艺
可以查到的工艺为以丙酰乙酸甲酯和溴代正辛烷为原料,经过取代,环合,氯化,氨化四步反应合成:

来源:磊子侃农药