阿维菌素(Avermectin)是一类具有杀虫、杀螨、杀线虫活性的大环内酯化合物,具有广谱、高效、低毒等特点,阿维菌素及其下游药物在农药、兽药及医药上均有广泛应用。虽然阿维菌素产业经过近半个世纪的发展已经比较成熟,但是目前仍有一些问题制约其发展。在阿维菌素生产过程中,常伴随着20%~30%的废渣,废渣中主要的成分是阿维菌素B2。为了充分利用阿维菌素油膏资源,减少环境污染,我们对阿维菌素B2a的结构进行了系统性的修饰,在此过程中发现了一批杀虫活性显著提高的目标化合物。

图1 本课题组近年来所作阿维菌素B2a衍生物
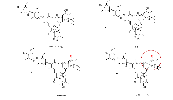
1. C23位衍生物的合成及生物活性测试
以阿维菌素B2a为先导对C23位结构修饰,设计合成了一系列C23羧酸酯类衍生物。

图2 C23位衍生物的合成路线与目标化合物

图3 化合物3-4a~3-4n在25 mg/L下对玉米螟虫的杀虫测试结果
表1 化合物3-4e、3-4f对粘虫、玉米螟虫、草地贪夜蛾以及棉铃虫的LC50值

表2 C23位衍生物7-2的杀虫测试结果

2. C4"位衍生物的合成及生物活性测试
我们以阿维菌素B2a为先导在C4"位引入氨基甲酸酯结构,设计合成了一系列C4"位衍生物。

图4 C4"位衍生物的合成路线与目标化合物

图5 化合物5-3a~5-3u在25 mg/L下对玉米螟虫的杀虫测试结果
表3 化合物5-3a、5-3e、5-3l对粘虫、玉米螟虫、草地贪夜蛾以及棉铃虫的LC50值

南开大学农药工程研究中心课题组通过在阿维菌素B2a的C4"位与C23位引入不同的活性片段,对阿维菌素B2a的结构进行了系统性的研究,设计合成了一系列新型的阿维菌素B2a衍生物,因阿维菌素B2a的原料成本较低而且仅通过保护、衍生化和脱保护三步反应对B2a进行结构改造,所得衍生物生产成本也具有一定优势。
同时,我们测试了这些衍生物的生物活性,结果表明衍生物对多种害虫均具有优异的杀虫活性,大多数化合物的杀虫活性高于阿维菌素B2a。尤其是C23位衍生化的7-2以及部分C4"位氨基甲酸酯衍生物对多种害虫的杀虫活性明显优于阿维菌素B1a。因此,该系列化合物具有很大的开发前景与进一步结构优化的潜力。
《农药市场信息》传媒
农药行业知识产权运营交易中心
顾先生 13706298456(微信同号)