噻呋酰胺 (thifluzamide),化学名称为 2',6'-二溴-2-甲基-4'-三氟甲氧基-4-三氟甲基-1,3-噻唑-5-羧酰苯胺,是由美国孟山都公司开发的噻唑酰胺类杀菌剂,商品名为满穗。
噻呋酰胺1992 年在英国布赖顿植保会议上报道,最初由孟山都公司开发,1994 年卖给了罗姆-哈斯 (现陶氏益农) 公司,2010 年 1 月日产化学工业株式会社收购了噻呋酰胺的全球业务,陶氏益农和日产化学生产。
2012 年噻呋酰胺专利保护到期后,国内企业争相登记,多数产品已获得登记,陆续进入市场。尽管当时企业普遍看好噻呋酰胺的市场前景,但其在国内的市场份额仍然寥寥。
噻呋酰胺的分子式为C13H6Br2F6N2O2S,CAS登录号:13000-40-7,结构式如下:

噻呋酰胺和其他琥珀酸脱氢酶抑制剂作用机理相同,即在真菌三羧酸循环中抑制琥珀酸脱氢酶的合成。可防治多种植物病害,特别是担子菌丝核菌属真菌所引起的病害,同时具有内吸性传导性。
噻呋酰胺通常用于防治由担子菌引起的病害,对水稻、马铃薯、玉米、草坪上由丝核核菌引起的病害有特效。其噻呋酰胺 240g/l SC 剂型主要用于防治立枯丝核菌引起的水稻纹枯病,推荐用量为50-150g/hm2。噻呋酰胺在水稻上应用不仅安全,并且有促进水稻株高的功效,同时还可以对茎秆生长也有一定效果,应用噻呋酰胺后水稻收获期前茎秆青,籽粒黄,显著促进水稻生长。
另外,噻呋鲜胺对花生白绢病也有很好的防效,但是在国内也没有广泛推广。
噻呋酰胺专利几经周折,到日产化学手中, 但日产化学对于产品的推广并不成功,目前国内企业在其专利到期后大量申请登记和专利。2012年大批国内企业取得了关于噻呋酰胺的44个专利, 而到2018年,仅取得了5个专利。
国内目前有噻呋酰胺相关原药登记22个。康乔,盐城利民和浙江宇龙等企业目前均有生产。


其制剂单剂国内有登记108个,主要剂型为 240g/L SC 和 50% WDG。主要防治对象为水稻纹枯病。
国内有复配登记106个, 主流仍然是与咪鲜胺,己唑醇,三环唑等复配,靶标仍然是水稻纹枯病。
其与噻虫嗪和噻虫胺等杀虫剂;咯菌腈,嘧菌酯等杀菌剂三元复配用作种衣剂。
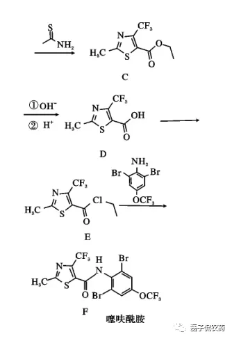
三氟乙酰乙酸乙酯经氯气低温氯化[1-2]或硫酰氯或三氯化磷氯化[3-4]得 2- 氯-4,4,4-三氟乙酰乙酸乙酯B,回流条件下 B 与硫代乙酰胺在乙腈[5-6]或 DMF[7]或者乙酸[8]中环合, 得 2-甲基-4-三氟甲基-5-噻唑甲酸乙酯( C) ,C 在碱性条件下水解,再酸化,得 2-甲基-4-三氟甲基-5-噻唑甲酸 D[9]。回流下 D 经氯化亚砜或固体光气氯化得到 2-甲基-4-三氟甲基-5-噻唑甲酰氯 E。E 与三氟甲氧基邻二溴苯胺在甲苯[10]或二甲苯[11]中回流反应,得到噻氟酰胺 F。


噻呋酰胺目前仍然不温不火的重要原因一方面是由于性价比不高,在相同价位的产品里有更多,更加广谱的选择。
另一个原因是其杀菌谱过窄,仅用于水稻纹枯病的防治,水稻纹枯病主要发病区域是中国和印度,东南亚的水稻种植区纹枯病发病并不重。
其未来增长的动力将会是在花生白绢病防治方面的推广, 以及其三元复配在种衣剂上的应用。
参考文献:
1.杀菌剂噻呋酰胺的合成工艺研究 崔凯等 应用化学 2013年
2. 噻呋酰胺的光解和水解特性研究 亓育杰等 农药学学报 2016年
来源:磊子侃农药