提示
×
取消
确定
当前位置:首页 > 新闻资讯
市场前景广阔的新型双酰胺类杀虫剂四唑虫酰胺解析
来源:农化专利网   发布时间:2021-04-13 13:34
简述
四唑虫酰胺(tetraniliprole,开发代号:BCS-CL73507)是由拜耳公司开发的新型邻甲酰胺基苯甲酰胺类广谱杀虫剂;该杀虫剂是氯虫苯甲酰胺、溴氰虫酰胺等双酰胺类化合物家族中的新成员,均为鱼尼丁受体激动剂;国际杀虫剂抗性行动委员会(IRAC)将其归类为第28组。

四唑虫酰胺(tetraniliprole,开发代号:BCS-CL73507)是由拜耳公司开发的新型邻甲酰胺基苯甲酰胺类广谱杀虫剂;该杀虫剂是氯虫苯甲酰胺、溴氰虫酰胺等双酰胺类化合物家族中的新成员,均为鱼尼丁受体激动剂;国际杀虫剂抗性行动委员会(IRAC)将其归类为第28组。四唑虫酰胺在低剂量下即可高效防治水稻、果树、蔬菜和其他农作物上的多种鳞翅目(Lepidoptera)、鞘翅目(Coleoptera)、双翅目(Diptera)害虫,尤其对二化螟、甜菜夜蛾、蓟马等害虫防治效果显著。该药剂使用方式简单,叶面处理、土壤处理、种子处理均可。


01、化学名称

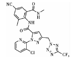
四唑虫酰胺中文化学名称:1-(3-氯-2-吡啶基)-4′-氰基-2′-甲基-6′-甲基氨基甲酰基-3-{[5-(三氟甲基)-2H-四唑-2-基]甲基}-1H-吡唑-5-甲酰苯胺;中文通用名称:四唑虫酰胺(其他名称:氟氰虫酰胺);CAS登录号:1229654-66-3;分子式:C22H16ClF3N10O2;相对分子质量:544.88;结构式见图1。

 

 

图片

图 1 四唑虫酰胺结构式
 

02、作用机理

四唑虫酰胺是一种作用于昆虫鱼尼丁受体的肌肉毒剂。鱼尼丁受体是调控细胞内钙离子有序释放的选择性离子通道,即调控细胞内钙离子浓度平衡的四聚体通道蛋白。四唑虫酰胺与昆虫鱼尼丁受体发生高度亲和性结合后,Ca2+释放通道将持续开放,使得平滑肌和横纹肌细胞内贮存的钙离子释放失控和流失,导致肌肉细胞收缩功能瘫痪从而达到杀死昆虫的目的。
 

03、合成方法

杨吉春等于2015年对四唑虫酰胺拜耳公司发明公开的专利进行了综述,具体合成路线见图2。
 

图片

图 2 四唑虫酰胺合成路线
 
印度农业科技公司的Karri等对四唑虫酰胺的合成路线做了较为深入的研究,并陆续公开了2项与之合成方法相关的专利:专利WO2019224678和专利WO2020016841。由于Karri等设计的合成方法具有原料易得、条件温和、操作简单和收率高等特点,具有很高的研究价值,故本文对印度农业科技公司的这2项专利进行详细梳理,并简要罗列了其专利中以下几种关于四唑虫酰胺及关键中间体II-1的合成方法。
 
3.1  四唑虫酰胺合成方法1
专利WO2019224678中,以三氯乙酰氯(1)和2-甲氧基丙烯(4)为起始原料经脂肪碳酰化、Wohl-Ziegler反应、缩合、环合氧化、酰胺化制得四唑虫酰胺(I-1)。具体合成路线见图3。
 

图片

图 3 四唑虫酰胺合成路线1
 
3.2  四唑虫酰胺合成方法2
与合成方法1相比,专利WO2020016841中的合成方法主要在反应原料和反应顺序上进行了调整。经初始原料草酰氯(2)和2-甲氧基丙烯(4)发生脂肪碳酰化反应后,产物(E)-4-甲氧基-2-氧代戊-3-烯酰氯(V-2)首先与2-氨基-5-氰基-N,3-二甲基苯甲酰胺(Ⅵ-1)进行酰胺化反应,之后依次进行溴化、缩合、环合制得目标产物四唑虫酰胺(I-1)。具体反应路线见图4。
 

图片

图 4 四唑虫酰胺合成路线2
 
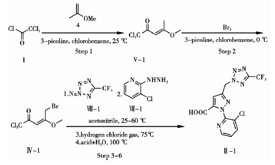
3.3  关键中间体II-1的合成方法
1-(3-氯-2-吡啶基)-3-{[5-(三氟甲基)-2H-四唑-2-基]甲基}-1H-吡唑-5-羧酸(Ⅱ-1)是合成四唑虫酰胺的关键中间体,关于Ⅱ-1的合成方法,Karri等在专利WO2019224678中进行了详细的研究并给出了多种合成方法,以下简要介绍其中2种收率较高的合成方法。
 
合成方法1:以草酰氯单乙酯(3)和2-甲氧基丙烯(4)为起始原料,step 4中以乙酸作为反应溶剂,其他反应条件和操作方法与四唑虫酰胺合成方法1基本相同,也可以高产率制得中间体Ⅱ-1。具体合成路线见图5。
 

图片

图 5 中间体II-1合成路线1
 
合成方法2:以三氯乙酰氯(1)和2-甲氧基丙烯(4)为起始原料,在氯苯溶液中经脂肪碳酰化反应生成(E)-1,1,1-三氯-4-甲氧基戊-3-烯-2-酮(V-1)后,产物V-1在溴的氯苯溶液中继续进行卤化反应生成(E)-5-溴-1,1,1-三氯-4-甲氧基戊-3-烯-2-酮(Ⅳ-1),之后Ⅳ-1采用“一锅法”依次进行缩合、环合、脱水、氧化即可制得目标中间体Ⅱ-1。本合成方法的优点在于step 3~6采用“一锅法”制取Ⅱ-1,简化了反应步骤,避免了冗长的后处理过程,并且最后一步氧化反应使用的是冰醋酸和水作氧化反应溶剂取代传统方法中以稀硫酸作为氧化反应溶剂。具体反应路线见图6。
 

图片

图 6  中间体II-1合成路线2
 

04、产品复配研究

农药的复配是延缓和解决害虫抗药性问题的重要手段,在害虫治理方面,大多都会采用农药复配方案。具有增效作用的农药复配组合物可以扩大防治谱、降低剂量率、改善生物学特性、减少环境污染、对人畜安全且环境相容性好且害虫更不易产生抗性。针对四唑虫酰胺的复配,国内有如下研究。
 
夏宝成发明公开了一系列含四唑虫酰胺的杀虫组合物:一种含有四唑虫酰胺和抗生素类的杀虫组合物、一种含有四唑虫酰胺和新烟碱类的杀虫组化合物、一种含四唑虫酰胺的杀虫组合物。发明的这3种杀虫组合物均由活性成分A(四唑虫酰胺)和相应活性成分B的其中一种按质量比1∶80~80∶1组成。经室内生物活性测定和全国各地不同地方田间试验得出四唑虫酰胺与活性成分B复配后对稻纵卷叶螟、稻飞虱、甘蓝甜菜夜蛾等常见害虫防效均在95%以上,优于单剂防效,增效作用明显。陈超等发明公开了一种含四唑虫酰胺、联苯菊酯或溴氰菊酯的杀虫剂组合物。有效成分由A和B组成,其中A为四唑虫酰胺,B为联苯菊酯或溴氰菊酯,有效成分的总质量分数为1%~90%。

该复配杀虫剂对防治稻纵卷叶螟效果突出,可有效减缓稻纵卷叶螟的抗药性,并对稻纵卷叶螟有速效性和长效性。该杀虫剂组合物室内生测对稻纵卷叶螟的增效比为20∶1~1∶20。张坤等发明公开了一种含有氟氰虫酰胺(四唑虫酰胺)的杀虫组合物,其有效成分为氟氰虫酰胺、呋虫胺或环虫酰肼。二者的质量比为50∶1~1∶50,组合物中有效成分的总质量分数为10%~85%。田间药效试验表明氟氰虫酰胺与呋虫胺的复配组合物对二化螟、棕榈蓟马和褐飞虱防治效果突出,氟氰虫酰胺与环虫酰肼的组合物对十字花科蔬菜上的小菜蛾和斜纹夜蛾等害虫有突出的防治效果。以上组合物的速效性和持效性均比单剂有很大的提高。罗昌炎等发明公开了含有活性化合物硫虫酰胺和四唑虫酰胺的杀虫组合物,其质量比为50∶1~1∶50。此杀虫组化合物用于预防和控制动物害虫,可制作成水悬浮剂、种子处理干粉剂、静电油剂等多种剂型。大量室内生物活性测定试验结果表明:硫虫酰胺与四唑虫酰胺杀虫复配组合物对昆虫纲、蛛形纲、线虫纲的动物害虫具有显著的作用,是真正的协同效应。
 

05、登记情况

2020年3月10日,拜耳作物科学的杀虫剂Vaygeo 200 SC(200 g/L四唑虫酰胺悬浮剂)在澳大利亚农药和兽药管理局(APVMA)获得批准登记,用于防治杏树、澳大利亚坚果、仁果、核果上的多种鳞翅目、鞘翅目、双翅目害虫。这是含四唑虫酰胺活性成分农药首次在澳大利亚作为新有效成分登记。
 
2020年3月19日,拜耳作物科学研发的含活性成分tetraniliprole的1个原药和4个制剂获得了加拿大害虫管理监管局(APMRA)批准登记,并以产品名称Vayego进行销售,产品有效期至2025年12月31日。制剂产品分别为Tetraniliprole 200 SC、Tetraniliprole 480 FS、Tetrino、Tetraniliprole 200 SC Turf Insecticide,可高效防治马铃薯、玉米、大豆等粮食作物及果树、蔬菜和草坪上的一系列害虫。2020年6月2日,新西兰环境保护局批准含活性成分tetraniliprole的全新杀虫剂Vayego在新西兰有条件的使用,这是新西兰首次批准含此类活性成分的产品。该产品可用于防治苹果、梨、葡萄和核果类作物上的苹果蠧蛾、卷叶蛾和其他害虫。2020年9月30日,我国批准登记了拜耳公司的四唑虫酰胺90%的原药和200 g/L的悬浮剂,主要用于防治甘蓝甜菜蛾。拜耳在中国开展的18%四唑虫酰胺悬浮剂登记药效试验表明该产品在甘蓝甜菜蛾低龄幼虫期对水喷雾使用时,以有效成分22.5~30 g/hm2剂量下,防效为80%~95%。
 
此前,四唑虫酰胺已经在津巴布韦、韩国、柬埔寨取得了登记。近日,美国也正在拟批准登记拜耳公司的杀虫剂四唑虫酰胺,用于蔬菜、大豆、坚果等农作物上的害虫防治。
 

06、小结与展望

四唑虫酰胺是一种具有双酰胺结构的新型广谱杀虫剂,可高效防治水稻、玉米、马铃薯、果树等农作物上的害虫,对哺乳动物和其他非靶标动物安全,但对一些水生无脊椎动物和蜜蜂具有较高风险,在使用时应格外注意。目前四唑虫酰胺产品剂型相对单一,登记数量较少,相信随着四唑虫酰胺研究的更进一步深入,其市场开发前景广阔。   

来源: 《农药》2021年第1期