提示
×
取消
确定
当前位置:首页 > 新闻资讯
噁唑酰草胺(R)-异构体专利今年将到期,市场前景能否支撑新增产能规划?
来源:农化专利网   发布时间:2021-04-02 15:51
简述
噁唑酰草胺以除草活性高、杀草谱广而备受青睐,可有效防除水稻田主要杂草,如稗草、马唐、千金子等。自2009年以来,噁唑酰草胺已在韩国、中国、日本、泰国、印尼、菲律宾、斯里兰卡等国推出,声誉斐然。
噁唑酰草胺以除草活性高、杀草谱广而备受青睐,可有效防除水稻田主要杂草,如稗草、马唐、千金子等。自2009年以来,噁唑酰草胺已在韩国、中国、日本、泰国、印尼、菲律宾、斯里兰卡等国推出,声誉斐然。


据统计,2020年我国水稻播种面积4.51亿亩。中国水稻田除草剂产品众多,竞争激烈。中国是噁唑酰草胺最大的销售市场,噁唑酰草胺在国内的化合物(R)-异构体专利将于2021年10月31日届满,在此情况下,中国已有多家企业正在投资或意向投资生产噁唑酰草胺,随着未来供应增加势必导致价格下行,有望刺激噁唑酰草胺在中国乃至全球用量的增加,但面对噁唑酰草胺本身的产品问题以及当前严重的杂草抗性问题,它的市场增长空间还有多大,是否能支撑当下企业的投资热情?本文将从多个角度解析噁唑酰草胺市场状况及未来可能的发展趋势。
 

 产品简介和登记信息 

1. 基本情况

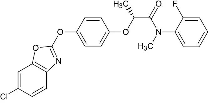
噁唑酰草胺(Metamifop)是株式会社福阿母韩农(简称韩农公司)与富美实公司联合开发的除草剂产品。CAS登录号:256412-89-2;分子式:C23H18CIFN2O4;化学结构式为:
图片
图1 噁唑酰草胺结构式

噁唑酰草胺为芳氧苯氧丙酸酯类除草剂,作用机理为通过抑制乙酰辅酶A羧化酶来阻止植物脂肪酸的合成,和氰氟草酯属于同类产品。有效成份需要达到植物体内靶标方能发挥杀草作用。溶剂和表面活性剂将分别起到软化叶面腊质层和打开植物气孔的作用,使有效成份进入植物体内发挥作用。因此,噁唑酰草胺通常加工成乳油。
 
富美实公司在中国上市的5款制剂产品名为:韩秋好(10%噁唑酰草胺乳油)、稻青青(10%氰氟·噁唑酰草胺乳油)、春好(10%噁唑酰草胺乳油)、清巧(10%氰氟·噁唑酰草胺乳油)和一展清(20%噁唑·灭草松微乳剂)。

该产品具有如下特点和优势:

防治对象:防除马唐、稗草、千金子、牛筋草等多种一年生禾本科杂草。
适用期宽:水稻2 叶1 心后,马唐、稗草、千金子、牛筋草2-4 叶期均可使用。
使用广泛:旱直播、水直播、移栽田、抛秧田均可使用。

2.混配药剂

噁唑酰草胺与氰氟草酯复配时具有明显的协同增效作用,杀草速度更快、更彻底。富美实经过6,000次配方筛选及田间开发,摒弃了10%+10%、7.5%+7.5%、8%+12%、10%+15%等诸多配方,最终确定最稳定、最安全、效果最佳的噁唑+氰氟草酯配方为5%+5%,乳油剂型,商品名为稻青青®,推荐剂量200-250毫升。目前,部分抗性严重地区用量达到300ml。
 
有研究表明,噁唑酰草胺与二氯喹啉酸、2甲4氯等激素类类除草剂存在一定拮抗作用;防除阔叶杂草时,可以与灭草松混用,高温时施药可能出现轻度药斑,可较快恢复。另外,与吡嘧磺隆、苄嘧磺隆等药剂也存在拮抗作用,不可与这两者混用。

3.登记情况

截止2021年3月,国内共有62项噁唑酰草胺产品登记,其中,原药登记5项,制剂登记57项。拥有原药登记的除了韩农公司外,还有安徽众邦生物工程有限公司、江苏富鼎化学有限公司、德州绿霸精细化工有限公司、江苏联化科技有限公司。2019年至今,无噁唑酰草胺原药新登记录。在制剂登记中,乳油和可分散油悬浮剂为登记最多的剂型,分别为39项和15项。从复配登记类型来看,噁唑酰草胺与另一水稻主流除草剂氰氟草酯的复配登剂最为普遍,共22项。其次为与灭草松的登记,仅为3项(表1)。
 

登记名称
数量
噁唑·氰氟
22
噁唑·灭草松
3
二氯喹·噁唑胺·氰氟酯
2
噁唑草·二氯喹
2
噁唑·五氟磺
2
噁唑草·嘧啶肟
1
噁唑草·氯吡酯·氰氟
1
噁唑胺·氯吡嘧
1
噁唑酰草胺·双草醚
1
噁唑·氯吡嘧·双草醚
1

表1噁唑酰草胺复配产品登记类型

印度尼西亚登记的产品为噁唑酰草胺100g/L+双草醚40g/LSE,推荐用量375-500ml/公顷,25-33ml/亩。菲律宾登记产品为噁唑酰草胺100g/L,推荐用于水稻直播田。泰国批准登记的为噁唑酰草胺10%EC。
 

 供应链信息 

1.原药产能


目前,国内企业江苏富鼎、宁夏蓝田、顺毅股份、辽宁天一、四川汇和、中旗股份、众邦生物有噁唑酰草胺项目规划或已建成投产(表2)。
 

企业
产能(建成/规划)
江苏富鼎
500
顺毅股份
300
宁夏蓝田
1200
辽宁天一
500
正邦作物
2000
中旗股份
500
安徽众邦生物
500

表2 噁唑酰草胺原药产能情况(建成/规划)

2.中间体供应商及产能

(R)-(+)-2-(4-羟基苯氧基)丙酸(DHPPA)、2,6-二氯苯并噁唑和N-甲基邻氟苯胺是噁唑酰草胺合成过程中的三个重要中间体,结构式见图2。

图片
图2 DHPPA、2,6-二氯苯并噁唑和N-甲基邻氟苯胺结构式
 
市场上DHPPA主流供应商为江西天戌(2000吨/年)、锦州四海(5000吨/年)、菏泽锦晨(3000吨/年),佳木斯黑龙农药(规划3000吨/年),以锦州四海的自动化程度最具代表性。当前该中间体价格已涨至11-11.5万元/吨。佳木斯黑龙农药为汇盟生物全资子公司,2020年12月,中旗股份转让控股公司安徽安和股份给汇盟生物并投资参股后者。

2,6-二氯苯并噁唑主流供应商为江苏永凯,产能为2000吨/年,另外,浙江顺毅也培育了一定产能,该产品当前价格为18-19万元每吨,2巯基6-二氯苯并噁唑价格目前为12万(表3)。

N-甲基邻氟苯胺主流供应商为浙江永太,供应峰值120吨,主要供应东部韩农,市场价格20-25万每吨左右,如果该产品全部用于生产噁唑酰草胺,可生产300吨左右原药。

中间体
企业
产能(t/a)
DHPPA
江西天戌
2000
锦州四海
5000
菏泽锦晨
3000
2,6-二氯苯并噁唑
江苏永凯
2000
其他

N-甲基邻氟苯胺
浙江永太
120(供应峰值)

表3 噁唑酰草胺中间体主要供应商及产能

3.原药及中间体进出口

根据数据可以看出,噁唑酰草胺主要在富美实印尼工厂加工成制剂后分销至东南亚各国,其中一部分回流中国。结合噁唑酰草胺中间体和原药的出口情况综合测算目前海外市场需求量峰值50-60吨,另外近两年市场销量出现了下滑(日本韩国缺少数据支撑),结合中国市场噁唑原药年产量判断峰值应在200-300吨。

中国出口:

浙江永太科技2017年出口N-甲基邻氟苯胺40吨,2018年出口40吨,2019年锐减至10吨,2017年和2018年出口的中间体能够生产噁唑酰草胺原药110吨,2019年能够生产28吨。

从中国出口至韩国的DHPPA在2016年出口量为25吨,2017年为16吨,2018年为6吨,2019年为44吨。如果该产品全部用于生产噁唑酰草胺,分别可生产50吨、32吨、12吨和88吨。

联化科技噁唑酰草胺96%全部出口至富美实位于印尼的工厂,2016年-2019年出口量分别为28吨、84吨、60吨、5吨。2019年出口量锐减。

印度尼西亚出口:

2019印度尼西亚尼出口369吨氰氟草酯5%+噁唑酰草胺5%乳油至中国,出口142吨10%噁唑酰草胺乳油至菲律宾,出口56.7吨10%噁唑酰草胺乳油至泰国,出口38.9吨10%噁唑酰草胺乳油至斯里兰卡。折百总量42吨,折96%原药43.7吨。

2020年印度尼西亚出口16.08吨至中国,168吨至菲律宾,33.6吨泰国至泰国,25.9吨至斯里兰卡。其中,出口产品只有出口至中国的是氰氟草酯5%+噁唑酰草胺5%乳油,出口至其他东南亚国家的皆为10%乳油。折百总量23吨,折96%原药24吨。
 


 市场及应用 

1.市场情况分析

(1)需求与供应

据调研,FMC中国市场噁唑制剂销售峰值1500吨左右,折96%原药量大致156吨。综合评估2021年的中国市场需求预估200-300吨。噁唑使用核心省份水稻播种大多在5月中下旬,所以截至发稿日噁唑订单应该已经基本完成。

江苏富鼎于2018年获得了噁唑酰草胺96%含量的ICAMA登记,登记证号为PD20181298,实际产品有效成分含量97—98%, 目前每天供应1-2吨,据称有现货,目前富鼎处于合法出货状态。

据悉,宁夏蓝田也已获得噁唑酰草胺原药生产许可证,ICAMA登记正在审批当中,目前项目处于中试二期。

(2)原药价格

噁唑酰草胺国内市场45万元/吨,去年国内价格75万元/吨左右,据了解,今年富美实价格在75万元/吨左右,去年价格在100万元/吨左右。

2.市场应用反馈

(1)用法用量参考

杭州以勒标准的技术专家提供信息:通常情况下,噁唑酰草胺须在水稻三叶一心期后使用,低温或秧苗叶龄过小时会出现药害问题。以10%噁唑酰草胺乳油为例,早稻l200 mL/ha,80ml/亩喷雾处理后在药液重喷区域会出现秧苗心叶褪绿、呈白色或黄白色现象;2100 mL/ha,140ml/亩处理后中间一带全部出现秧苗心叶严重发黄情况,部分叶片黄枯,生长明显滞缓,少量弱小苗死亡。故对于早稻,施药时间可掌握在秧苗4叶期左右。对于中晚稻,由于秧苗种下时气温稍高,施药时间可以往前至3叶期左右,施用过程中要注意喷雾均匀,勿重喷、漏喷。不同区域施用量会有所差异,不过据噁唑主要市场安徽的经销商反馈,低温环境下10%噁唑酰草胺亩用量不能大于100ml,最多120ml,否则易产生药害,这是该产品的安全阈值。
 
为什么氰氟草酯和噁唑酰草胺都是同一类产品,但是氰氟草酯却具高安全性?杭州以勒标准的技术专家做出如下解答:在水稻体内,氰氟草酯可被迅速降解为对乙酰辅酶A羧化酶无活性的二酸态,因而对水稻具有高度的安全性。而噁唑酰草胺在水稻体内的消解速度相对较慢,半衰期在1.5-3天,气温和水稻植株大小均会影响其对噁唑酰草胺的降解速度。
 
(2)高温稳定性问题

在江西、湖南等双季稻区,晚稻正值高温天气,该环境下使用噁唑酰草胺时,药效出现衰减,这也是不少除草剂面临的普遍问题。

(3)抗性问题

用户普遍反馈噁唑酰草胺单剂在一些地区如安徽对抗ACCase类除草剂的稗草效果甚微,主要配合氰氟草酯一块使用,而且亩用量越来越大。部分地区氰氟草酯有效成分亩用量达到了40g(最初3-5g),与氰氟草酯配合使用的噁唑酰草胺亩用量达到了15g。另外,据越南柬埔寨客户反馈,噁唑在当地抗性也已经产生且有愈发严重的发展趋势。
 
针对主流茎叶除草剂的高温稳定性以及当前的杂草高抗问题,国内已有企业提供了相应的解决方案,例如,清原农冠赛丹®(含有自主创制的全新HPPD抑制剂三唑磺草酮)高温条件防效更稳定,与主流药剂无交互抗性,能解决各种抗性稗草及“海绵稗”、“独角稗”等耐药性稗草,并兼防4叶期抗性千金子。另外,该公司以专利化合物三唑磺草酮为有效成分的水稻田除草剂稻裕®也可针对抗性千金子和稗草提供全新解决方案。

在生产实践过程中,对稻田杂草的防控应立足于早期治理、综合防控,可以有效延长产品生命周期,提高作物产量和质量。专家建议,农民不应过分关注封闭除草成本,可适当增加封闭除草剂用量,比如丙草胺和苄嘧磺隆复配制剂的用量可以考虑从之前的60g增加到100g,尤其是在抗性杂草发生严重的区域。若在稗草、千金子等杂草成苗后再大剂量使用氰氟草酯、噁唑酰草胺等除草剂,无疑会进一步加大杂草抗性的发生。另外各地政府推荐机插秧、抛秧等种植方式,也可抑制一部分杂草,尤其是杂草稻。


 展望和思考 

(1)随着氰氟草酯在中国市场用量的大幅增加,噁唑酰草胺市场容量受到挤压逐年下降。近年来,氰氟草酯抗性逐渐上升,施用剂量增加,与之配合使用的噁唑酰草胺用量也随之增加。预计2021年中国市场峰值需求量200-300吨。

(2)2021年,随着噁唑酰草胺原药成本的下降,预计中国市场噁唑酰草胺使用量将有所增加。但同时需要关注的是,2020年江西稻区早稻赶上洪水,晚稻赶上寒潮导致水稻种植户收益受到影响,2021年他们的水稻种植热情将有所下降,间接影响噁唑酰草胺的用量。综合以上,我们判断2021-2022年噁唑酰草胺用量增长30%,不会出现巨幅增长。结合该产品本身的安全性问题,它的市场需求可能存在一个无法突破的上限,另外该产品生产难点颇多,投资不菲,建议准备投资该品种的企业慎重考虑。

(3)国外市场中,根据近两年进出口数据研判,噁唑酰草胺海外市场需求量无明显波动。海外主要市场包括印度尼西亚、菲律宾、泰国和斯里兰卡。菲律宾市场有所增长;噁唑酰草胺自2018年进入泰国市场以来表现良好,但2020年进口量大幅下降,当地渠道反馈新冠疫情给进口带来了一定的影响;斯里兰卡2020年进口量也出现下滑,原因尚不明确。但随着产品专利即将到期,生产成本将不断下降,东南亚用药成本有可能不断降低,噁唑酰草胺全球用量有望迎来增长的机遇,尤其是在需要防除抗性稗草的早稻种植区域。

(4)乙酰辅酶A羟化酶抑制剂对禾本科杂草具有较好的选择性,因此得到了广泛的运用。然而由于ACCas作用位点单一,长期使用易导致抗药性的产生。噁唑酰草胺属于ACCase抑制剂的一种,近年来被在我国被广泛的用于防治水稻田中的稗草等禾本科杂草。如何科学使用除草剂,延长产品寿命、延缓抗药性发生将是我们需要长期关注的问题。

来源:世界农化网