啶酰菌胺(boscalid)是巴斯夫公司开发的第一个广谱性 SDHI(琥珀酸脱氢酶抑制剂)类杀菌剂。于2003年上市,主要商品名有 Endura®、Prisine®、Bellis® 和 Cantus®等。2003 年啶酰菌胺首先在英国登记上市,又在德国和瑞士上市。2005 年 1 月该药剂在日本进行了登记,登记作物为蔬菜、大豆、葡萄,防治对象为灰霉病和菌核病。然后,相继在美国、澳大利亚、加拿大、巴西、意大利、中国、西班牙和阿根廷等 70 多个国家登记,用于 100 种作物防治80 多种病害。
啶酰菌胺作用于线粒体呼吸链复合体 II,抑制琥珀酸脱氢酶,进而影响电子转移和能源供给造成病原菌死亡,可用于防治白粉病、灰霉病、茎腐病等多种病害。2004 年,我国对啶酰菌胺开始了为期 7. 5 年的行政保护。2012 年 11 月 9 日,啶酰菌胺的行政保护到期,且不再续。随着啶酰菌胺在欧美和中国等众多市场的专利及行政保护皆已到期。啶酰菌胺化学名称为2,6-二氯-N-((3-氯-5-(三氟甲基)-2- 吡啶基)甲基)苯甲酰胺,英文化学名称为 2,6-dichloro-N-((3-chloro-5-(trifluoromethyl)-2-pyridinyl)methyl)benzamide。CAS 登录号为[239110-15-7]。结构式如下:

啶酰菌胺是线粒体呼吸链中琥珀酸脱氢酶抑制剂,能抑制真菌的呼吸。施药后经叶面渗透药液被植物吸收,通过叶内水分的蒸发作用和水的流动使药剂传输扩散到叶片末端和叶缘部位,并与病原菌细胞内线粒体作用,和呼吸链中电子传递体系的蛋白质复合体 I结合。在三羧酸(TCA)循环中催化琥珀酸成为延胡索酸,抑制线粒体琥珀酸脱氢酶活性,从而阻碍三羧酸循环,使氨基酸、糖缺失,阻碍了植物病原菌的能量源 ATP的合成,干扰细胞的分裂和生长而使菌体死亡。因此,啶酰菌胺药剂预防植物真菌病害效果非常好。啶酰菌胺具有双重活性。复合体 II 在真菌代谢中起关键作用,一方面,它在真菌产能时,为高能电子的形成传递能量;另一方面,它能参与输送 TCA循环的组分用以阻断氨基酸和脂质,形成一个重要的交叉。啶酰菌胺通过抑制蛋白质复合体 II 来阻止真菌产能,从而抑制真菌生长。啶酰菌胺主要用于经济作物:对葡萄、豆类、瓜类、番茄、草莓、茄子、莴苣等灰霉病菌防效显著,对洋葱的灰霉病菌防效好。对豆类、瓜类、番茄、莴苣、洋葱、萝卜的菌核病防效显著。对瓜类的白粉病防效显著。对瓜类、番茄、苹果、洋葱、萝卜的链格孢属菌防效显著。此外,对叉丝单囊壳菌(苹果)、痂囊腔菌(葡萄)、单囊核属(草莓)、褐孢属(番茄)、核盘病菌(瓜类)等病害也具有较好的防治效果。药剂在喷施后持效期长,具有较长的喷施间隔期。灰霉病、菌核病多数在低温、潮湿环境下发生,一般需要喷施作用特点不同、具有良好的耐雨性药剂来进行防治。在病情比较严重的情况下,使用啶酰菌胺仍能高效持久的控制灰霉病、菌核病等病害。这主要是由于低质量浓度啶酰菌胺就能阻碍菌丝生长和孢子形成,具有治疗作用;同时啶酰菌胺还能抑制孢子萌发、芽管伸长及附着器形成,故又具有较好的预防作用,防止发病后的二次感染。啶酰菌胺使用方法为茎叶喷雾。在瓜类(如黄瓜)上施药,应注意在高温、干燥条件下避免发生烧叶、烧果现象;葡萄等果树上施药,要避免和渗透展开剂、叶面液肥的混用,以免降低药效。
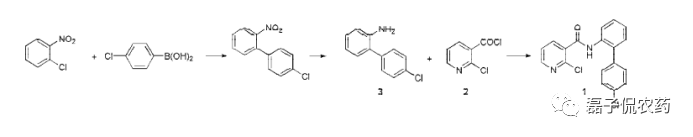
联合国粮农组织的研究报告表明,啶酰菌胺对胎儿、婴儿以及儿童具有潜在的致癌风险。但还需要更多证据的支撑。哺乳动物毒性:大鼠(雄 /雌)急性经口LD50>5000mg/kg。大鼠(雄 / 雌)急性经皮 LD50>5000mg/kg。大鼠(雄 / 雌)急性吸入(4h)LC50>5160 mg a.i./m3。对兔眼睛无刺激性,对兔皮肤无刺激性,对豚鼠皮肤无致敏性。无潜在诱变性,对兔、大鼠无潜在致畸性,对大鼠无致癌作用。野生动物毒性:山齿鹑急性经口 LD50>2250mg/kg。鸭急性经口LD50>2250mg/kg。虹鳟 LC50=0.36mg/L(96h),蓝鳃LC50=0.75mg/L(96h)。大型溞EC50>1.8 mg/L(48h)。水藻 EC50>4.3mg/L(72h)。非靶标生物:蚯蚓LC50>1000 mg a.i./kg(14d),蜜蜂触杀 LD50>100mg/ 只。国内啶酰菌胺的原药登记有30个。制剂单剂登记为35个,常见剂型为30% 悬浮剂和50%WDG。国内关于啶酰菌胺的复配登记共有62个,主流是个WDG,如 38%唑醚·啶酰菌 WG。还有65%啶酰·腐霉利WG、38%唑醚·啶酰菌 WG、50%啶酰·咯菌腈WG、70%嘧霉·啶酰菌 WG 等。还有不少 SC 产品,如 26%嘧环·啶酰菌 SC、27%啶酰·嘧菌酯 SC,30%唑醚·啶酰菌 SC、30%啶酰·咯菌腈 SC、35%,啶酰·异菌脲 SC、36%啶酰·乙嘧酚 SC、56%啶酰·肟菌酯 SC、300 g/L 醚菌·啶酰菌 SC 等。啶酰菌胺1以烟酰氯2和邻取代苯胺3在碱的催化下反应制得,其合成路线为:啶酰菌胺作为SDHI类杀菌剂的老大哥,对主要经济作物的多种灰霉病、菌核病、白粉病、链格孢属、单囊壳病等具有较好的防治效果,药剂在喷施后持效期长,从而使该药剂具有较长的喷施间隔期。在病情比较严重的情况下,啶酰菌胺仍能高效持久的控制灰霉病等病害。主要由于低质量浓度啶酰菌胺能阻碍菌丝生长和孢子形成,故具有治疗作用;而且啶酰菌胺能抑制孢子发芽、牙管伸长及附着器形成,故又具有较好的预防作用,防止发病后的二次感染。啶酰菌胺药剂主要通过茎叶喷雾,也可于作种子处理。其剂型产品(单剂和复配制剂)以安全环保的水分散粒剂和悬浮剂为主,环保剂型也是其市场推广的加分项。但目前由于啶酰菌胺易产生抗药性,其抗药性是面临的最大的挑战。1.防治卵菌纲病害的新型杀菌剂氟啶酰菌胺 李 淼等 农药 2016年2. SDHI 类杀菌剂啶酰菌胺 华乃震 世界农药 2018年3. 新型烟酰胺类杀菌剂—啶酰菌胺 颜范勇等 2018年4. 啶酰菌胺合成方法的研究进展 朱思佳等 化学试剂 2018年