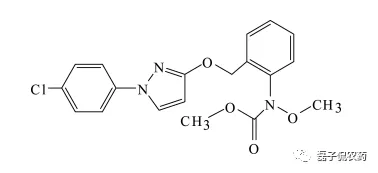
吡唑醚菌酯(pyraclostrobin)又名唑菌胺酯,由德国巴斯夫公司2001年首先在德国、英国、法国上市。其化学名称:N-[2-[1-(4-氯苯基)-1H-吡唑-3-基氧甲基]苯基](N-甲氧基)氨基甲酸甲酯。其化学结构式如下:

吡唑醚菌酯是德国巴斯夫公司于 1993 年开发的一种广谱甲氧基丙烯酸酯类杀菌剂, 具有杀菌谱广、活性高、持效期长、毒性低、对非靶标生物安全等特点。其上市之初,重要卖点之一是第一个具有植物健康作用的的产品。吡唑醚菌酯和其他甲氧基丙烯酸酯类杀菌剂类似,是广谱的保护性杀菌剂,另外还可以促进植物对氮的吸收。
吡唑醚菌酯原药纯度≥97.5%, 为白色或浅棕色晶状固体; 熔点为 63.7~65.2 ℃, 沸点为200 ( ℃ 分解); 20 ℃时正辛醇/水分配系数(log Kow)为 3.99; 20 ℃时在水中的溶解度为 1.9 mg/L, 在甲醇中为 100.8 g/L, 在丙酮、乙酸乙酯、乙腈、二氯甲烷、甲苯中均大于 500 g/L;在 pH5~7, 25 ℃条件下, 能稳定 30 d 以上, 水中光解 DT50为 1.7 d。
与其他甲氧基丙烯酸酯类化合物类似,吡唑醚菌酯也是线粒体呼吸作用抑制剂。它通过阻止细胞色素b和c1间电子传递而抑制线粒体呼吸作用,使线粒体不能产生和提供细胞正常代谢所需要的能量,最终导致细胞死亡。
吡唑醚菌酯通过抑制孢子萌发和菌丝生长而发挥药效,具有保护、治疗、铲除、渗透、强内吸及耐雨水冲刷作用,也能产生像延缓衰老、使叶片更绿、更好地耐受生物和非生物因子的胁迫以及有效使用水和氮等生理效应。吡唑醚菌酯可以被作物快速吸收,并主要由叶部蜡质层滞留,它还可以通过叶部渗透作用传输至叶片背部,从而对叶片正反两面的病害都有防治作用。吡唑醚菌酯在叶部向顶、向基传输及熏蒸作用很小,但在植物体内的传导活性较强。
吡唑醚菌酯不仅具有保护性杀菌的作用,还具有植物保健的作用。产品有利于作物生长,增强作物对环境影响的耐受力,提高作物产量。吡唑醚菌酯除了对病原菌的直接作用外,还能诱导许多作物尤其是谷物的生理变化,如它能增强硝酸盐(硝化)还原酶的活性,从而提高作物快速生长阶段(GS 31-39)对氮的吸收;同时,它能降低乙烯的生物合成,从而延缓作物衰老。
吡唑醚菌酯广泛用于防治谷物、大豆、玉米、花生、棉花、葡萄、蔬菜、马铃薯、向日葵、香蕉、柠檬、咖啡、果树、核桃、茶树、烟草、观赏植物、草坪及其他大田作物上由子囊菌、担子菌、半知菌和卵菌等几乎所有类型的真菌病原体引起的病害;也可以用于种子处理。
吡唑醚菌酯可有效防治谷物上的叶枯病 (Septoria tritici)、锈病 (Puccinia spp.)、黄斑叶枯病 (Drechslera tritici-repentis)、网斑病 (Pyrenophora teres)、大麦云纹病 (Rhynchosporium secalis) 和小麦颖枯病 (Septoria nodorum),花生上的褐斑病 (Mycosphaerella spp.),大豆上的褐斑病 (Septoria glycines)、紫斑病 (Cercospora kikuchii) 和锈病 (Phakopsora pachyrhizi),葡萄上的霜霉病 (Plasmopara viticola) 和白粉病 (Erysiphe necator),马铃薯和番茄上的晚疫病 (Phytophthora infestans) 和早疫病 (Alternaria solani),黄瓜上的白粉病 (Sphaerotheca fuliginea)、霜霉病 (Pseudoperonospora cubensis),香蕉上的黑条叶斑病 (Mycosphaerella fijiensis),柑橘上由痂囊腔菌 (Elsinoë fawcettii) 引起的病害和黑星病 (Guignardia citricarpa),以及草坪上的褐斑病 (Rhizoctonia solani) 和腐霉病 (Pythium aphanidermatum) 等。用药量分别为:粮食作物50~250 g/hm2,草坪280~560 g/hm2。叶面处理和种子处理皆可。
吡唑醚菌酯原药在我国共有78个登记,含量为98% 和97.5%两种。主要单剂为吡唑醚菌酯25% 悬浮剂,吡唑醚菌酯 250g/l 乳油,吡唑醚菌酯 50% 水分散粒剂。巴斯夫作用于水稻田的 9% 微囊悬浮剂用于防治稻瘟病,避开了吡唑醚菌酯对水生生物的毒性。
吡唑醚菌酯有良好的复配能力,复配剂型以悬浮剂为主。常与异菌脲,氟环唑,己唑醇,咪鲜胺,氟硅唑等复配。由于其百搭的保护作用,与大多数杀菌剂都可以起到1+1>2作用。其与杀虫剂,如噻虫嗪等的复配也常用于种子处理剂。
先将邻硝基甲苯还原成邻甲基苯基羟胺(5),再与氯甲酸甲酯、硫酸二甲酯经N-羧基化、O-甲基化反应得到N-甲氧基-N-(2-甲基苯基)氨基甲酸甲酯(7),然后进行苯环侧链溴化得中间体(8),最后与1-(4-氯苯基)-3-羟基吡唑醚化得到吡唑醚菌酯。

吡唑醚菌酯面临的挑战和解决思路
1.抗药性
吡唑醚菌酯和其他杀虫杀菌剂类似,长期使用会产生抗药性,但由于作用机理的原因,抗性是非可逆性的,它抗性水平的发生不像三唑类杀菌剂是5倍、10倍的逐渐发生,吡唑醚菌酯的抗性一旦发生,抗性水平会提高到至少1000倍。所以当抗性出现,再增加用量是没有意义的。不可逆的抗药性目前的解决思路是众多复配。其与芸苔素类酯配合使用也可以大大减缓其抗药性的产生。
2.水生生物毒性
吡唑醚菌酯面临的另外一个问题就是吡唑醚菌酯对水生生物毒性极高(对虹鳟、大型溞剧毒),建议慎重开发该产品在水田中的应用。欧盟评估报告也曾强调,欧盟成员国必须特别注意对水生生物(尤其是鱼类)的保护。巴斯夫开发的吡唑醚菌酯 9% 微囊悬浮剂完美解决了其对水生生物毒性的问题,其在水中时,微囊稳定存在很稳定,有效成分不会释出,当田水被排去时,则可释放,从而使该药剂发挥杀菌活性。
吡唑醚菌酯目前是全球最主要的杀菌剂之一,可预见的是在未来数年中,吡唑醚菌酯仍然是市场占有率前三的杀菌剂之一。从国外登记和使用范围来看用量最大的是油料作物(大豆、油菜、向日葵等),其二是谷物作物(谷物、玉米、水稻),第三是水果蔬菜经济作物。随着微囊悬浮剂的推广, 水稻及其他大田作物将会成为其市场的重要驱动力。
参考资料
吡唑醚菌酯残留分析研究进展 由 晓等 食品质量安全检测学报 2015
吡唑醚菌酯合成研究进展 张 凯等 现代农药 2018
吡唑醚菌酯研宄开发现状与展望 左 文 静等 世界农药 2017
吡唑醚菌酯作用机理及其应用 柏亚罗 2015
2018年国内吡唑醚菌酯原药实际产能近万吨(附国内企业吡唑醚菌酯原药产能)世界农化网
来源:磊子侃农药