提示
×
取消
确定
当前位置:首页 > 新闻资讯
一文分析新型杀虫剂四唑虫酰胺,市场前景广阔
来源:农化专利网   发布时间:2021-02-01 11:00
简述
目前四唑虫酰胺产品剂型相对单一,登记数量较少,相信随着四唑虫酰胺研究的更进一步深入,其市场开发前景广阔……四唑虫酰胺(tetraniliprole,开发代号:BCS-CL73507)是由拜耳公司开发的新型邻甲酰胺基苯甲酰胺类广谱杀虫剂。

目前四唑虫酰胺产品剂型相对单一,登记数量较少,相信随着四唑虫酰胺研究的更进一步深入,其市场开发前景广阔……



四唑虫酰胺(tetraniliprole,开发代号:BCS-CL73507)是由拜耳公司开发的新型邻甲酰胺基苯甲酰胺类广谱杀虫剂。该杀虫剂是氯虫苯甲酰胺、溴氰虫酰胺等双酰胺类化合物家族中的新成员,均为鱼尼丁受体激动剂。国际杀虫剂抗性行动委员会(IRAC)将其归类为第28组。四唑虫酰胺在低剂量下即可高效防治水稻、果树、蔬菜和其他农作物上的多种鳞翅目、鞘翅目、双翅目害虫,尤其对二化螟、甜菜夜蛾、蓟马等害虫防治效果显著。该药剂使用方式简单,叶面处理、土壤处理、种子处理均可。

1


化学名称


四唑虫酰胺中文化学名称:1-(3-氯-2-吡啶基)-4′-氰基-2′-甲基-6′-甲基氨基甲酰基-3-{[5-(三氟甲基)-2H-四唑-2-基]甲基}-1H-吡唑-5-甲酰苯胺;中文通用名称:四唑虫酰胺(其他名称:氟氰虫酰胺);ISO通用名称:tetraniliprole;结构式见图1。

图片
图1  四唑虫酰胺的结构式

2


理化性质


四唑虫酰胺纯品为米黄色固体粉末,有丙酮气味,熔点226.9~229.6℃,相对密度(20℃)1.52。在正常大气压下无沸点(230℃以上会发生分解)。蒸气压(20℃)3.2×10-6 Pa,(25℃)4.6×10-6 Pa。油水分配系数LogPow(20℃,pH=7)2.6,Henry定律常数(蒸馏水,pH=6.3)1.5×10-3 Pa·m3/mol。水中溶解度(蒸馏水,pH=6.31)1.2 mg/L;其他溶剂中溶解度(g/L,20℃):甲醇2.9、甲苯0.17、乙酸乙酯6.4、二氯甲烷5.3、丙酮21.8、正庚烷<0.001、二甲基亚砜>280。离解常数pKa=9.1。在酸性、中性和碱性条件下的水溶液中均可水解,DT50=58 d(pH=7,20℃)。光化学性质:在水溶液中,四唑虫酰胺可能与阳光发生直接的光解作用。四唑虫酰胺不易燃、不爆炸、不氧化,仓库储存条件下稳定性至少2年,且不会对容器材料(聚丙烯和聚乙烯)造成腐蚀。


3


毒理学及环境生态安全性


毒理学

该原药大鼠急性经口LD50值>2,000 mg/kg,大鼠急性经皮LD50值>2,000 mg/kg,大鼠吸入毒性LD50值(4 h)>5,010 mg/m3,小鼠局部淋巴试验中对皮肤敏感结果呈阳性,对兔皮肤无刺激作用,但对兔眼有轻微刺激作用;90 d亚慢性毒性试验中以973 mg/(kg·d) 剂量水平对小鼠重复给药,未发现死亡或严重的全身毒性迹象;在大鼠和狗的90 d饮食研究中未发现不良反应的给药剂量水平分别为608、126 mg/(kg·d);在大鼠短期皮肤毒性研究中以高剂量1,000 mg/(kg·d)(用药6 h)给药,没有毒性或皮肤刺激的迹象;在大鼠2代生殖毒性试验中,对四唑虫酰胺耐受性良好,没有与之相关的死亡率或严重的不良反应,对生殖无影响;在大鼠和兔子的发育毒性研究中,以最高剂量1,000 mg/(kg·d)对大鼠和兔子给药时,未观察到母胎毒性。基因毒性试验表明,四唑虫酰胺不太可能对人类造成基因毒性的致癌风险。

环境生态安全性

四唑虫酰胺原药对哺乳动物(LD50值>2,000 mg/kg,褐家鼠)和鸟类(LD50值>2,000 mg/kg,试验测试了3种鸟类)低毒;对鱼类等水生脊椎动物毒性相对较低(LC50值>10 mg/L,试验测试了4种鱼类);对水生无脊椎动物高毒(最低浓度EC50值0.071 mg/L,大型溞);对底栖动物高毒(最低浓度EC50值0.23 mg/L或LC50值0.034 mg/kg干沉积,摇蚊属);对藻类植物中度毒性(最低浓度ErC50值1.4 mg/L,中肋骨条藻);对水生植物相对低毒(ErC50值>6.6 mg/L,膨胀浮萍);对土壤生物低毒如蚯蚓(LC50corr值>448 mg/kg,干土,赤子爱胜蚯);对蜜蜂有高的毒性,在急性接触四唑虫酰胺原药后,欧洲蜜蜂比欧洲熊蜂更敏感(LD50值分别为0.41~0.44、22~94 μg/蜂);根据鱼类生物积累研究,四唑虫酰胺在鱼类中没有生物富集(BCF<1)。综上,四唑虫酰胺对陆栖脊椎动物、水生脊椎动物、藻类、水生植物、其他非靶标有益节肢动物、非靶标陆生植物、土壤生物的风险认为是可以接受的,不需要特别的保护声明,但对敏感水生生物(水生无脊椎动物和底栖动物)和蜜蜂则需必要的保护声明。

四唑虫酰胺具有较低的蒸气压和较低的亨利定律常数,表明这种化学物质不太可能从土壤或水的表面挥发出来;四唑虫酰胺在空气中的半衰期较短(0.27~0.40 d),表明其在长距离大气运输方面的潜力较低;在土壤中耗散的主要途径是转化和生物降解。实验室和田间研究表明:根据土壤类型不同,四唑虫酰胺在土壤中具有一定持久性,与好氧条件相比,四唑虫酰胺在土壤厌氧条件下转化更快;四唑虫酰胺在水中溶解度低,但在有水存在的情况下可以水解,其水解速率受温度和pH值影响较大,在酸性和中性水溶液中水解缓慢,在碱性水溶液中可以通过水解迅速转化。

4


作用机理


四唑虫酰胺是一种作用于昆虫鱼尼丁受体的肌肉毒剂。鱼尼丁受体是调控细胞内钙离子有序释放的选择性离子通道,即调控细胞内钙离子浓度平衡的四聚体通道蛋白。四唑虫酰胺与昆虫鱼尼丁受体发生高度亲和性结合后,Ca2+释放通道将持续开放,使得平滑肌和横纹肌细胞内贮存的钙离子释放失控和流失,导致肌肉细胞收缩功能瘫痪从而达到杀死昆虫的目的。

5


合成方法


杨吉春等于2015年对四唑虫酰胺拜耳公司发明公开的专利进行了综述,具体合成路线见图2。

图片
图2  四唑虫酰胺合成路线

印度农业科技公司的Karri等对四唑虫酰胺的合成路线做了较为深入的研究,并陆续公开了2项与之合成方法相关的专利:专利WO2019224678和专利WO2020016841。由于Karri等设计的合成方法具有原料易得、条件温和、操作简单和收率高等特点,具有很高的研究价值,故本文对印度农业科技公司的这2项专利进行详细梳理,并简要罗列了其专利中以下几种关于四唑虫酰胺及关键中间体Ⅱ-1的合成方法。

四唑虫酰胺合成方法1

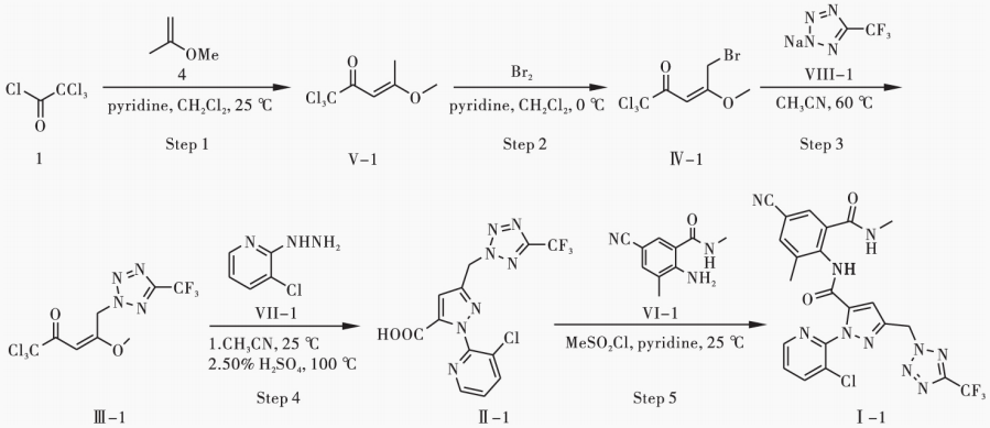
专利WO2019224678中,以三氯乙酰氯(1)和2-甲氧基丙烯(4)为起始原料经脂肪碳酰化、Wohl-Ziegler反应、缩合、环合氧化、酰胺化制得四唑虫酰胺(Ⅰ-1)。具体合成路线见图3。

图片
图3  四唑虫酰胺合成路线1

四唑虫酰胺合成方法2

与合成方法1相比,专利WO2020016841中的合成方法主要在反应原料和反应顺序上进行了调整。经初始原料草酰氯(2)和2-甲氧基丙烯(4)发生脂肪碳酰化反应后,产物(E)-4-甲氧基-2-氧代戊-3-烯酰氯(Ⅴ-2)首先与2-氨基-5-氰基-N,3-二甲基苯甲酰胺(Ⅵ-1)进行酰胺化反应,之后依次进行溴化、缩合、环合制得目标产物四唑虫酰胺(Ⅰ-1)。具体反应路线见图4。

图片
图4  四唑虫酰胺合成路线2

关键中间体Ⅱ-1的合成方法

1-(3-氯-2-吡啶基)-3-{[5-(三氟甲基)-2H-四唑-2-基]甲基}-1H-吡唑-5-羧酸(Ⅱ-1)是合成四唑虫酰胺的关键中间体,关于Ⅱ-1的合成方法,Karri等在专利WO2019224678中进行了详细的研究并给出了多种合成方法,以下简要介绍其中2种收率较高的合成方法。

合成方法1:以草酰氯单乙酯(3)和2-甲氧基丙烯(4)为起始原料,step 4中以乙酸作为反应溶剂,其他反应条件和操作方法与四唑虫酰胺合成方法1基本相同,也可以高产率制得中间体Ⅱ-1。具体合成路线见图5。

图片
图5  中间体Ⅱ-1合成路线1

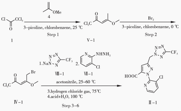
合成方法2:以三氯乙酰氯(1)和2-甲氧基丙烯(4)为起始原料,在氯苯溶液中经脂肪碳酰化反应生成 (E)-1,1,1-三氯-4-甲氧基戊-3-烯-2-酮(Ⅴ-1)后,产物Ⅴ-1在溴的氯苯溶液中继续进行卤化反应生成 (E)-5-溴-1,1,1-三氯-4-甲氧基戊-3-烯-2-酮(Ⅳ-1),之后Ⅳ-1采用“一锅法”依次进行缩合、环合、脱水、氧化即可制得目标中间体Ⅱ-1。本合成方法的优点在于step 3~6采用“一锅法”制取Ⅱ-1,简化了反应步骤,避免了冗长的后处理过程,并且最后一步氧化反应使用的是冰醋酸和水作氧化反应溶剂,取代传统方法中以稀硫酸作为氧化反应溶剂。具体反应路线见图6。

图片
图6  中间体Ⅱ-1合成路线2

6


含量分析


张静等采用高效液相色谱法,以乙腈-0.1%磷酸溶液为流动相,使用ZORBAX SB-C18色谱柱和二极管阵列检测器,在262 nm紫外光照下对四唑虫酰胺种子处理悬浮剂进行分离和定量分析。结果表明:该分析方法的线性相关系数为1.0000,标准偏差为0.30,变异系数为0.75%,平均回收率为100.39%。

李卫等采用高效液相色谱串联质谱法,以Agilent ZORBAX Eclipse XDB-C18为色谱柱,乙腈-0.1%甲酸水为流动相,在流速1 mL/min条件下,用HPLC-MS通过ESI离子源负离子模式扫描测定18%四唑虫酰胺悬浮剂含量。在0.005~1 mg/L范围内,四唑虫酰胺浓度-丰度线性关系良好(r2=0.9991),回收率为98.36%~101.45%,平均回收率为99.82%。

李卫等采用高效液相色谱法,利用ZORBAXXBD-C18反相色谱柱,以乙腈-水为流动相,在波长262 nm紫外光照对18%四唑虫酰胺悬浮剂进行分析测定。结果表明,四唑虫酰胺的线性相关系数为1.000,标准偏差为0.120,变异系数为0.67%,平均回收率为100.63%。

7


产品复配研究


农药的复配是延缓和解决害虫抗药性问题的重要手段,在害虫治理方面,大多都会采用农药复配方案。具有增效作用的农药复配组合物可以扩大防治谱、降低剂量、改善生物学特性、减少环境污染、对人畜安全、环境相容性好且害虫更不易产生抗性。针对四唑虫酰胺的复配,国内有如下研究。

夏宝成发明公开了一系列含四唑虫酰胺的杀虫组合物:一种含有四唑虫酰胺和抗生素类的杀虫组合物、一种含有四唑虫酰胺和新烟碱类的杀虫组化合物、一种含四唑虫酰胺的杀虫组合物。发明的这3种杀虫组合物均由活性成分A(四唑虫酰胺)和相应活性成分B的其中一种按质量比1∶80~80∶1组成。经室内生物活性测定和全国各地不同地方田间试验得出四唑虫酰胺与活性成分B复配后对稻纵卷叶螟、稻飞虱、甘蓝甜菜夜蛾等常见害虫防效均在95%以上,优于单剂防效,增效作用明显。

陈超等发明公开了一种含四唑虫酰胺、联苯菊酯或溴氰菊酯的杀虫剂组合物。有效成分由A和B组成,其中A为四唑虫酰胺,B为联苯菊酯或溴氰菊酯,有效成分的总质量分数为1%~90%。该复配杀虫剂对防治稻纵卷叶螟效果突出,可有效减缓稻纵卷叶螟的抗药性,并对稻纵卷叶螟有速效性和长效性。该杀虫剂组合物室内生测对稻纵卷叶螟的增效比为20∶1~1∶20。

张坤等发明公开了一种含有氟氰虫酰胺(四唑虫酰胺)的杀虫组合物,其有效成分为氟氰虫酰胺、呋虫胺或环虫酰肼。两者的质量比为50∶1~1∶50,组合物中有效成分的总质量分数为10%~85%。田间药效试验表明,氟氰虫酰胺与呋虫胺的复配组合物对二化螟、棕榈蓟马和褐飞虱防治效果突出,氟氰虫酰胺与环虫酰肼的组合物对十字花科蔬菜上的小菜蛾和斜纹夜蛾等害虫有突出的防治效果。以上组合物的速效性和持效性均比单剂有很大的提高。

罗昌炎等发明公开了含有活性化合物硫虫酰胺和四唑虫酰胺的杀虫组合物,其质量比为50∶1~1∶50。此杀虫组化合物用于预防和控制动物害虫,可制作成悬浮剂、种子处理干粉剂、静电油剂等多种剂型。大量室内生物活性测定试验结果表明:硫虫酰胺与四唑虫酰胺杀虫复配组合物对昆虫纲、蛛形纲、线虫纲的动物害虫具有显著的作用,是真正的协同效应。

8


登记情况


2020年3月10日,拜耳作物科学的杀虫剂Vaygeo 200 SC(200 g/L四唑虫酰胺悬浮剂)在澳大利亚农药和兽药管理局(APVMA)获得批准登记,用于防治杏树、澳大利亚坚果、仁果、核果上的多种鳞翅目、鞘翅目、双翅目害虫。这是含四唑虫酰胺活性成分农药首次在澳大利亚作为新有效成分登记。

2020年3月19日,拜耳作物科学研发的含活性成分四唑虫酰胺的1个原药和4个制剂获得了加拿大有害生物管理局(PMRA)批准登记,并以产品名称Vayego进行销售,有效期至2025年12月31日。制剂产品分别为Tetraniliprole 200 SC、Tetraniliprole 480 FS、Tetrino、Tetraniliprole 200 SC Turf Insecticide,可高效防治马铃薯、玉米、大豆等粮食作物及果树、蔬菜和草坪上的一系列害虫。

2020年6月2日,新西兰环境保护局批准含活性成分四唑虫酰胺的全新杀虫剂Vayego在新西兰有条件的使用,这是新西兰首次批准含此类活性成分的产品。该产品可用于防治苹果、梨、葡萄和核果类作物上的苹果蠧蛾、卷叶蛾和其他害虫。

2020年9月30日,我国批准登记了拜耳公司的四唑虫酰胺90%原药和200 g/L悬浮剂,主要用于防治甘蓝甜菜蛾。拜耳在中国开展的18%四唑虫酰胺悬浮剂登记药效试验表明,该产品在甘蓝甜菜蛾低龄幼虫期对水喷雾使用时,在有效成分22.5~30 g/hm2剂量下,防效为80%~95%。

此前,四唑虫酰胺已经在津巴布韦、韩国、柬埔寨取得了登记。近日,美国拟批准登记拜耳公司的杀虫剂四唑虫酰胺,用于蔬菜、大豆、坚果等农作物上的害虫防治。

9


小结与展望


四唑虫酰胺是一种具有双酰胺结构的新型广谱杀虫剂,可高效防治水稻、玉米、马铃薯、果树等农作物上的害虫,对哺乳动物和其他非靶标动物安全,但对一些水生无脊椎动物和蜜蜂具有较高风险,在使用时应格外注意。目前四唑虫酰胺产品剂型相对单一,登记数量较少,相信随着四唑虫酰胺研究的更进一步深入,其市场开发前景广阔。

来源:《农药》2021年第1期
作者:盛祝波1,汪杰1,裴鸿艳1,高一星1,2,张静1,2,张立新1,2 (1. 沈阳化工大学功能分子研究所;2. 广西思钺生物科技有限责任公司)