提示
×
取消
确定
当前位置:首页 > 新闻资讯
探析农药中间体发明专利的创造性
来源:农化专利网   发布时间:2023-09-11 08:24
简述
二、典型案例1. 案例1:CN102076674A(1)基本案情权利要求请求保护下述“式(VIII)的噻二唑基氨基苯基醚,其中,R4-R7具有如权利要求1所定义的含义。
图片

二、典型案例


1. 案例1:CN102076674A


(1)基本案情


权利要求请求保护下述“式(VIII)的噻二唑基氨基苯基醚,其中,
R4-R7具有如权利要求1所定义的含义。”

图片

根据申请文件记载可知,式(VIII)化合物为制备式(I)化合物的中间体,具体制备路线如下,其中式(I)具有抗有害微生物活性:

图片

(2)创造性判断


检索发现,与中间体(VIII)最接近的现有技术(CN1342137A)是化合物A,其为制备具有抗真菌活性的化合物B的中间体:

图片

不难发现:化合物A与中间体(VIII)具有高度的结构相似性,区别仅在于R4不同,中间体(VIII)中R4为卤素,化合物A中R4为甲基。该中间体(VIII)是否具备创造性将依赖于其是否具有预料不到的技术效果。

申请说明书中记载的抗真菌活性数据以及申请人提交的对比实验数据表明,将化合物B对应R4的甲基替换为卤素,使其抗真菌活性明显改善,具有预料不到的技术效果,并且式(I)限定了并不宽泛的保护范围,因此式(I)化合物具备创造性。


而化合物(I)中上述甲基替换为卤素的结构源自于中间体(VIII),即中间体(VIII)对具备创造性的后续产物(I)的结构和性能做出了贡献,具有预料不到的技术效果,因而中间体(VIII)也具备创造性。

通过上述案例对产物的结构和抗真菌活性的分析可知,产物(I)具备创造性,并且体现其创造性的特定技术特征来自于中间体(VIII),即中间体(VIII)与产物(I)具有相同的特定技术特征,2者具备单一性,根据李雪莹提出的判断方法,中间体(VIII)也具备创造性。

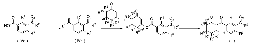
(2)案例2:CN102548960A


①基本案情


权利要求请求保护下述“一种式(II)的化合物,其中X为OR9、Y为C1-6卤代烷基、R1为C1-6烷基和n为0、1或2,R9为H或C1-6烷基。”

图片

根据说明书记载可知:式(II)化合物为制备式(I)化合物的中间体,具体制备路线如下,其中式(I)具有除草活性:

图片

②创造性判断


检索发现:与中间体化合物(II)最接近的现有技术(US20040235793A1)是化合物IVa,其为制备具有除草活性的通式I化合物的中间体:

图片

经合议组经审查并判断:式(I)化合物相对于对比文件1(US20040235793A1) 和对比文件2 (CN1077449A)的结合而言是显而易见性的,同时说明书中也未记载充足的证据证明本申请式(I)化合物相对于现有技术而言取得了预料不到的技术效果。因此,式(I)化合物不具备创造性。

本领域技术人员在化合物IVa 的基础上,根据不具备创造性的终产物结构,能够容易地选择出苯环上具有对应基团的中间体,无需付出创造性劳动。因此,式(II)化合物不具备创造性。

三、总结


通过上文分析,笔者对中间体创造性的判断给出以下拙见:

(1)农药中间体的创造性仍需满足《专利审查指南》对化合物的创造性规定。

(2)农药中间体创造性的判断,需要考察“与中间体接近”和“与产物接近”2类相关现有技术,基于这2类现有技术判断中间体是否显而易见性。

如果通过这2类现有技术都能够得到中间体非显而易见的结论,认可中间体的创造性,如果通过其中任何一类现有技术得出中间体显而易见的结论,还需进一步考察其是否具有预料不到的技术效果。

(3)农药中间体是否具有预料不到技术效果,需要基于其制备后续产物的用途,具体而言,该用途体现在该中间体对后续产物结构和/或性能、以及由中间体制备后续产物的方法做出的贡献,如果由中间体能够制备得到具有创造性的产物、并且所述产物的创造性依赖于中间体所作出的贡献,或者由中间体直接或间接制备产物的方法具备创造性、并且所述方法的创造性依赖于中间体所作出的贡献,就应认可中间体的创造性。

图片

文章来源中国农药工业协会