嘧螨胺 (pyriminostrobin) 是沈阳化工研究院有限公司于2009年在嘧螨酯 (fluacrypyrim) 的基础上利用中间体衍生化法开发的新型甲氧基丙烯酸酯类杀螨剂。据报道嘧螨胺对成螨、若螨、螨卵及抗药性较强的二斑叶螨均有较好的防效,且具有速效性好和持效性长的特点。能有效防治柑橘全爪螨、柑橘锈螨、苹果叶螨、蔬菜害螨、棉叶螨、二斑叶螨等害螨。


英文名称:pyriminostrobin
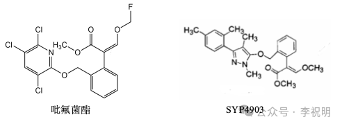
中文名称:嘧螨胺
化学名称:(E)-2-[2-[[2-(2,4-二氯苯胺基)-6-(三氟甲基)嘧啶-4-基]氧甲基]苯基]-3-甲氧基丙-2-烯酸甲酯
分子式:C23 H18 Cl2 F3 N3 O4
相对分子质量:528.308
CAS登录号:1257598-43-8
结构式:

三维结构式:

理化性质:原药为白色晶体;沸点640.8±65.0 °C(Predicted);密度1.423±0.06 g/cm3(Predicted);酸度系数(pKa)0.58±0.10(Predicted)
与嘧螨酯一样,嘧螨胺也属于线粒体呼吸抑制剂,即通过在细胞色素b和c间电子转移抑制线粒体的呼吸。细胞核外的线粒体主要通过呼吸为细胞提供能量(ATP),若线粒体呼吸受阻,不能产生ATP,细胞失去能量供应,最终导致害螨死亡。
应用作物:果树(苹果、梨、柑橘)蔬菜(黄瓜、番茄、茄子、辣椒)谷物(玉米、小麦)等
防治害螨:柑橘红蜘蛛、苹果红蜘蛛、柑橘全爪螨、柑桔锈螨、蕃茄叶刺皮瘿螨、紫红短须螨、首蓿苔螨、鹅耳枥始叶螨、斑氏真叶螨、草地小爪螨、侧多食跗线螨、淡跗线螨、朱砂叶螨、二斑叶螨等
开发剂型:5%嘧螨胺SL、15%嘧螨胺SL

2009年中国中化股份有限公司沈阳化工研究院有限公司在全球7个国家和地区申请了基于嘧螨胺在内的E-型苯基丙烯酸酯类化合物及其应用专利
专利名称:含取代苯胺基嘧啶基团的E-型苯基丙烯酸酯类化合物及其应用
申请号:CN200910084967.1
授权日:2012/11/07
申请日:2009/06/05
失效日:2024/06/05(因未缴年费失效)
公开历史:CN101906075A
当前专利权人:沈阳中化农药化工研发有限公司
摘要:本发明公开了一种含取代苯胺基嘧啶基团的E-型苯基丙烯酸酯类化合物,结构如通式I所示:式中各取代基的定义见说明书。通式I化合物对农业、民用和动物技术领域中有害的螨虫和昆虫的成虫、幼虫和卵都显示出高杀虫活性,尤其是对害螨如朱砂叶螨等活性更优,在很低的剂量下就可以获得很好的效果。

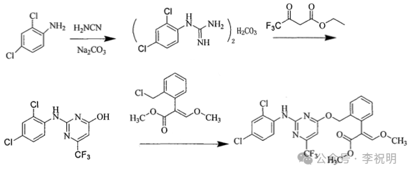
路线一:专利CN200910084967.1报道了以2,4-二氯苯胺和单氰胺为起始原料,反应生成1-(2,4-二氯苯氨基)胍,然后1-(2,4-二氯苯氨基)胍与三氟乙酰乙酸乙酯反应生成2-[(3,5-二氯苯基)氨基]-4-(三氟甲基)-5-嘧啶酚,然后与氯苄反应最终生成化合物嘧螨胺。合成路线如下:

路线二:CN201210144825.1报道了先将嘧啶酚在碱性条件下成盐,然后与氯苄反应制得嘧螨胺的合成方法,合成路线如下:
嘧螨胺是我国自主创制的新型杀螨剂,沈阳化工研究院研究团队以取代嘧啶醇为关键中间体合成系列化合物,发现具有杀螨活性的先导化合物后,经结构修饰优化,最终从多个高活性化合物中筛选出了嘧螨胺。且对于嘧啶胺类化合物目前重要中间体国内已完全实现产业化。防效方面嘧螨胺对螨类各生长阶段均有效,尤其对红蜘蛛的成螨、若螨、幼螨防治效果显著,并表现出优异的杀卵活性。虽然已经具备产业化和推广的条件,但杀螨剂市场特殊的点在于害螨的抗药性发展迅速,目前部分地区已产生严重抗性,且面临来自众多已过专利期产品及近年上市新品的竞争压力,另外就目前政策来看全新化合物上市所需要的时间和金钱成本是不符合企业根本利益的。所以嘧螨胺等一系列衍生物命运如何,未来还要交给时间和市场去验证。