环丙磺酰胺(cyprosulfamide)是1998年由阿温提斯作物科学有限公司(现拜耳作物)研发的新型苯甲酰胺类除草剂安全剂。现研究表明,环丙磺酰胺对磺酰脲类、氯乙酰苯胺类、环己二酮类、咪唑啉酮类、芳族羧酸激素类等除草剂具有明显解毒作用。目前国内较为熟知的配方是环丙磺酰胺与玉米田除草剂如异噁唑草酮、环磺酮、苯唑草酮、苯唑氟草酮、烟嘧磺隆、噻酮磺隆等的组合,实践证明,环丙环酰胺可明显起到提高玉米对除草剂耐药性的作用。同时,研究表明经环丙磺酰胺处理过的植物种子,可明显提高发芽率,促进植物根系和植株的生长。
英文名称:cyprosulfamide
中文名称:环丙磺酰胺
其他名称:环丙草磺胺
化学名称:N-[4-(环丙基氨基甲酰基)苯基]磺酰基-2-甲氧基苯甲酰胺
分子式:C18 H18 N2 O5 S
相对分子质量:374.411
CAS登录号:221667-31-8
结构式:

三维结构式:

理化性质:原药为灰白色至白色结晶粉末,熔点:216 - 217 °C,密度:.41±0.1 g/cm3(Predicted),蒸汽压:0Pa at 20℃,酸度系数:4.52±0.10(Predicted)
一般认为安全剂是通过增强作物对除草剂的代谢和解毒能力,从而在除草剂杀死杂草的同时,确保作物安全无恙。
环丙磺酰胺被植物的根系或幼苗吸收后,会作为一种信号分子,激活或上调一系列关键的解毒酶基因的表达。其中最重要的是谷胱甘肽S-转移酶(GSTs)和细胞色素P450单加氧酶(P450s)。当除草剂进入植物植株后,已经被激活的GSTs和P450s会迅速对其发挥作用,P450s 会首先对除草剂分子进行羟基化等初级代谢反应,改变其化学结构;GSTs 则会催化除草剂分子与植物体内的谷胱甘肽(GSH) 发生轭合反应,将谷胱甘肽这个内源性的解毒分子连接到除草剂分子上,经过轭合反应后,原本对植物有毒性的除草剂就转变成了无毒或低毒的水溶性轭合物,这些水溶性的轭合物随后会被转运到植物的液泡中储存起来,或者被整合到细胞壁中。从而使其无法干扰植物的正常生理生化过程。
应用作物:玉米、小麦、水稻、高粱等
可复配除草剂:磺酰脲类(如烟嘧磺隆、砜嘧磺隆、噻酮磺隆等)、氯乙酰苯胺类(甲草胺、异丙甲草胺、丙草胺等)、环己二酮类(硝磺草酮、环磺酮、芬喹酮、环苯草酮、喹草酮等)、三酮类(苯唑草酮、异噁唑草酮、苯唑氟草酮等)、咪唑啉酮类(咪唑乙烟酸、甲氧咪草烟)、芳族羧酸激素类(麦草畏、2,4-滴、2甲4氯)
实验证明:环丙磺酰胺作为安全剂能够对苯氧羧酸类除草剂对禾谷类的药害具有明显的解毒作用。



化合物专利
1998年阿温提斯作物科学有限公司在全球23个国家和地区申请了基于环丙磺酰胺在内的酰基磺酰基苯甲酸酰类化合物专利。
专利名称:酰基磺酰基苯甲酸酰胺,含有所述酰基磺酰基苯甲酸酰胺的植物保护剂,及其制备方法
申请号:WO1998EP06097
申请日:1998/09/24
公开号:WO9916744A1
当前专利权人:AVENTIS CROPSCIENCE GMBH
摘要:本发明涉及通式(i)的酰基磺酰基苯甲酸酰胺,其中r、r、r、r和r代表各种有机自由基,x代表ch或n,以及含有所述酰基磺酰基苯甲酸酰胺的植物保护剂。

制备专利
1、2004年拜耳作物在全球32个国家和地区申请了基于环丙磺酰胺在内的苯甲酰胺类化合物的合成专利
专利名称:制备酰基氨磺酰苯甲酰胺的方法
申请号:WO2004EP06295
申请日:2004.06.11
公开号:WO2005000797A1
公开日:2005.01.06
摘要:本发明涉及制备式(I)化合物的方法,该方法包含在氯化剂存在下将式(II)化合物与式(III)化合物反应,随后在碱存在下将所制得的式(IV)化合物与式(V)化合物反应,其中各符号如权利要求1所定义。

2、2014年拜耳作物在全球16个国家和地区申请了基于环丙磺酰胺在内的苯甲酰胺类安全剂的合成
专利名称:制备4-[(苯甲酰基)氨基]磺酰基]苯甲酰氯和制备酰基磺酰苯甲酰胺的方法
申请号:WO2014EP71388
申请日:2014/10/07
公开号:WO2015052156A1
摘要:制备4-[(苯甲酰基)氨基]磺酰基]苯甲酰氯和制备酰基磺酰苯甲酰胺的方法制备4-[(苯甲酰基)氨基]磺酰基]苯甲酰氯的方法,从式(iii)的邻甲氧基苯甲酸化合物和式(iv)的4-氨磺酰苯甲酸化合物开始,以及用于制备化合物(lb)的方法,所述化合物(lb)作为安全剂用于农业,环磺酰胺(a/-[4-(环丙基氨甲酰基)苯磺酰基]-2-甲氧基苯甲酰胺)。

3、2016年拜耳作物在全球15个国家申请了环丙磺酰胺的合成路线
专利名称:酰基磺酰胺的生产方法
申请号:WO2016EP57322
申请日:2016/04/04
公开号:WO2016162299A1
摘要:本发明涉及一种制备式(Ia)化合物的方法,特别是一种制备N [4 (环丙基氨基甲酰基)苯磺酰基] 2 甲氧基苯甲酰胺的方法。

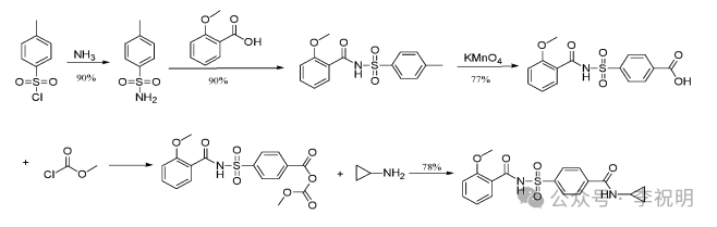
路线一:以对甲基苯磺酰氯为原料,与氨气发生氨解反应合成对甲基苯磺酰胺。随后与邻甲氧基苯甲酸在高沸点溶剂N,N-二甲基-4-吡啶胺中,通过缩合试剂1-(3-二甲胺基丙基)-3-乙基碳二亚胺(英文缩写EDCI)缩合反应合成N-(2-甲氧基苯甲酰基)-4-甲基-苯磺酰胺。随后通过高锰酸钾将上步反应产物氧化为4-(2-甲氧基-苯甲酰氨磺酰)-苯甲酸,随后与氯甲酸甲酯发生取代反应生成中间体酸酐,中间体酸酐与环丙胺发生氨解反应,生成环丙磺酰胺。合成路线如下:摘自:苟招聘.新型邻苯二酰胺类杀虫剂和新型除草剂安全剂的设计合成及活性研究[D].山东大学,2013.DOI:10.7666/d.Y2327393.和[1] Zheng Y , Liu B , Gou Z ,et al.Design of novel CSA analogues as potential safeners and fungicides[J].Bioorganic & Medicinal Chemistry Letters, 2015, 25(4):791-794.DOI:10.1016/j.bmcl.2014.12.085.

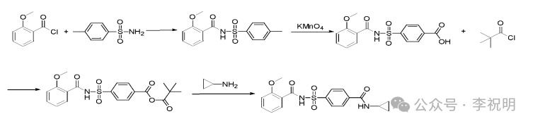
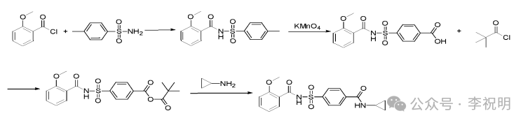
路线二(兰升路线):专利CN202010522514报道了以邻甲氧基苯甲酰氯与对甲基苯磺酰胺发生取代反应生成N-(2-甲氧基苯甲酰基)-4-甲基-苯磺酰胺。N-(2-甲氧基-苯甲酰基)-4-甲基-苯磺酰胺在高锰酸钾的氧化下生成4-(2-甲氧基-苯甲酰磺酰基)-苯甲酸。4-(2-甲氧基-苯甲酰磺酰基)-苯甲酸与特戊酰氯反应生成4-(2-甲氧基苯甲酰胺基磺酰基)-苯甲酸特戊酸酐。4-(2-甲氧基苯甲酰胺基磺酰基)-苯甲酸特戊酸酐与环丙胺发生胺解反应生成环丙磺酰胺。合成路线如下:

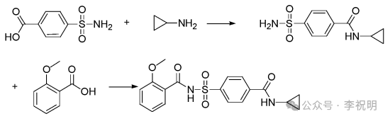
路线三:拜耳专利CN98809584报道了在四氢呋喃溶剂中,对羧基苯磺酰胺与环丙按在缩合剂NN羰基二咪唑作用下,缩合生成N-环丙基-4-氨磺酰基苯甲酰胺,本步反应收率71%左右。在四氢呋喃溶剂中,N-环丙基-4-氨磺酰基苯甲酰胺与邻甲氧基苯甲酸在缩合剂NN'羰基二咪唑作用下,缩合生成环丙磺酰胺。合成路线如下:

路线四:拜耳专利CN201680032520.8报道了以邻甲氧基苯甲酸与对羧基苯磺酰胺反应生成4-[[(2-甲氧基-苯甲酰基)氨基磺酰基]苯甲酰氯,4-[[(2-甲氧基-苯甲酰基)氨基]磺酰基]苯甲酰氯与环丙胺发生酰胺化反应生成 N-环丙基-4-[(2-甲氧基苯甲酰基)氨基磺酰基]苯甲酰胺。从路线看,合成路线短,而且收率高,采用的原料比较廉价,来源广泛,没有因保护基团延长反应路线,并且物料对环境友好,是一条比较环保友好的合成路线。合成路线如下:

其中反应涉及到的中间体有:邻甲氧基苯甲酸(CAS:529-75-9)、对羧基苯磺酰胺(CAS:138-41-0)、环丙胺(CAS:765-30-0)等。以下是中间体的合成路线。
邻甲氧基苯甲酸的合成
路线一:以邻甲氧基苄醇为原料氧化反应生成邻甲氧基苯甲酸合成路线为

路线二:以邻甲氧基苯甲醛为原料氧化反应生成邻甲氧基苯甲酸合成路线为

路线三:以邻羟基苯甲酸为原料甲基化反应制备邻甲氧基苯甲酸的合成路线为

对羧基苯磺酰胺的合成
以对甲苯磺酰氯为原料,通过氨解反应合成对甲苯磺酰胺,对甲苯磺酰胺通过氧化剂合成对羧基苯磺酰胺 。合成路线如下

环丙胺的合成
以γ-丁内酯为起始原料,与氯化亚砜、异丙醇经开环-酯化反应生成γ-氯代丁酸异丙酯。氯代丁酸异丙酯在碱性环境条件下,通过相转移催化剂的催化,生成环丙烷甲酸异丙酯。环丙烷甲酸异丙酯通过水解反应合成环丙甲酸。环丙甲酸与尿素在高温下生成环丙甲酰胺。环丙甲酰胺发生霍夫曼降解反应,即在碱性条件下与次氯酸钠反应,最终生成环丙胺。合成路线如下:[1]王帅帅. (2022). {除草剂安全剂环丙磺酰胺的清洁生产工艺及三废资源化研究}. (Doctoral dissertation, 天津大学).

环丙磺酰胺+氟唑磺隆:将环丙磺酰胺和氟唑磺隆按照5:1至1:1的范围进行组合,可将氟唑磺隆引入玉米田应用,有效地降低了氟唑磺隆对玉米的药害,从而提高对大马唐草、狗尾草、稗属杂草、苋属杂草的防效。
环丙磺酰胺+砜吡草唑+异噁唑草酮:将三种组分按照科学比例复配,可有效降低除草剂对玉米田的药害。
环丙磺酰胺+2甲4氯钠+烟嘧磺隆:三种组分按比例混合,可有效降低磺酰脲类除草剂和激素类除草剂对玉米,特别是玉米拔节期产生的药害。
环丙磺酰胺+2,4-D/2甲4氯钠/麦草畏:环丙磺酰胺的参与可以减轻特别是在小麦拔节期,激素类除草剂对于小麦产生的药害。
环丙环酰胺+芬喹酮+敌稗:将芬喹酮:环丙磺酰胺质量比按照2:1混合时,可解决芬喹酮在水稻田使用时造成水稻百化的现象,保证了除草效果的同时水稻生长正常。
环丙环酰胺+异噁草酰胺:环丙磺酰胺的引入,保证了异噁草酰胺在谷物田的推广的安全性问题,为其后面的推广提供了保障
环丙磺酰胺作为一种优秀的除草剂安全剂,其独特的分子结构使其作为安全剂在作物田除草剂的使用中发挥着重要作用。其分子设计中,环丙基的引入增强了代谢稳定性,同时能赋予化合物独特的空间位阻,而磺酰胺基团则使其具备酸性和亲核反应活性,有助于在作物体内靶向传递和调节除草剂代谢,这种设计使其能高效激活作物体内的解毒机制。
然而前期环丙磺酰胺的开发还仅限于特定的除草剂成分和使用场景,而在玉米田随着双苯噁唑酸的推广,环丙磺酰胺的市场受到一定程度的挤压,(研究表明前者能显著降低烟嘧磺隆对玉米株高和鲜重的抑制率,而环丙磺酰胺则无此生理效应,同时环丙磺酰胺在烟嘧磺隆对马唐除草效应中具有明显的解毒作用,而双苯噁唑酸则增强了烟嘧磺隆对马唐的除杀效果)。然而虽环丙磺酰胺作为安全剂早已被开发,但却仍有很大的开发空间,如解决激素类除草剂在大麦、小麦田的安全性问题等。
虽然目前国内创新化合物搞得如火如荼,但对除草剂市场而言,安全剂的开发利用仍旧是最经济有效的解决方案,如将性价比高的激素类除草剂安全有效的引入到谷物田中;将活性高的原卟啉原氧化酶抑制剂安全的引入到谷物田中等,这相较于基因编辑技术可能更容易实现。