氟嘧硫草酯(tiafenacil)是由福阿母韩农株式会社(Farm Hannong)于2009年研发的新型脲嘧啶(含有以氨基酸为骨架的酰胺结构和脲嘧啶环结构)类除草剂,2018年在韩国上市,主要用于大豆、油菜、水稻、玉米、小麦等作物,种植前、苗前、苗后以及非耕地等防除阔叶杂草和禾本科杂草,如苘麻、卷茎蓼、地肤、刺沙蓬、藜、反枝苋、芸苔、野燕麦、繁缕、普通豚草、自生玉米、马唐、一年生黑麦草、大狗尾草、宝盖草等,还可作为脱叶剂,用于棉花等作物。其专利期将于2029年9月23日到期。
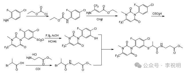
化学名称:3-[2-[2-氯-4-氟-5-[3-甲基-2,6-二氧亚基-4-(三氟甲基)嘧啶-1-基]苯基]硫烷基丙酰氨基]丙酸甲酯 氟嘧硫草酯(tiafenacil)为新型原卟啉原氧化酶(PPO)抑制剂类除草剂。以植物细胞的叶绿素为作用点,通过抑制叶绿素生物合成过程中的原卟啉原氧化酶而发挥作用。氟嘧硫草酯抑制杂草中叶绿素的形成,产生活性氧,从而破坏细胞,表现出除草活性。应用作物:大豆、油菜、水稻、玉米、小麦、棉花等和果园及非作物耕地杀草谱:一年生黑麦草、稗草、香丝草、奶蓟草、小飞蓬、问荆、苘麻、龙葵、豚草属、地肤、刺沙蓬、藜、反枝苋、铁苋菜、繁缕、马齿苋、宝盖草、卷茎蓼、鸭跖草、牵牛花等可开发剂型:30%氟嘧硫草酯SC、70%氟嘧硫草酯WG2009年韩国化学技术研究院、东部高科技株式会社申请了基于氟嘧硫草酯的化合物专利,包括PCT专利、欧洲专利、美国专利、中国专利等。此系列专利已在美国、日本、中国、澳大利亚等约30个国家获得授权。PCT专利:WO2010038953,申请于2009年9月24日,2029年9月23日到期。欧洲专利:EP2343284,申请于2009年9月24日,2029年9月23日到期。美国专利:US2011224083,申请于2009年9月24日,2029年9月24日到期。中国专利:CN102203071B(ZL200980142137.8),申请于2009年9月24日,2029年9月23日到期;发明名称:尿嘧啶系化合物及包括其的除草剂。根据文献报道,目前氟嘧硫草酯(tiafenacil)的合成路线主要有3条:路线一:以三氟乙酰乙酸乙酯为原料,经过氨基化、环化、甲基化、磺化反应等8步反应制备目标产物氟嘧硫草酯(tiafenacil),合成路线如下:该合成路线使用了三氯氧磷和五氯化磷,导致后处理时产生大量酸性废水和磷化物。此外,采用昂贵的氯化亚锡还原苯磺酰氯制备苯硫酚,收率低,产生的三废较多。路线二:以2-氟-4-氯苯胺为起始原料,经过酰胺化、环合、氯磺化、还原合成关键中间体3-(4-氯-2-氟-5-巯基苯基)-1-甲基-6-(三氟甲基)-2,4(1H,3H)-嘧啶二酮;以2-溴丙酸为原料经酸胺缩合制备中间体3-(2-溴丙酰氨基)丙酸甲酯;最后2个中间体缩合方法同路线一,制备目标化合物氟嘧硫草酯(tiafenacil)合成路线如下:路线三:在合成路线二的基础上,采用2-氟苯胺为起始原料,经过酰胺化、氯代、关环、甲基化、氯磺化、红磷还原、缩合等9步反应制得目标物氟嘧硫草酯(tiafenacil),合成路线如下:路线三中,3-(2-氯丙酰氨基)丙酸甲酯(A)的合成:由2-氯丙酸和3-氨基丙酸甲酯盐酸盐反应生成目标产物A,合成路线如下:路线三中,3-氨基-4,4,4-三氟丁烯酸乙酯(B)的合成:由三氟乙酰乙酸乙酯和醋酸铵反应生成目标产物B,合成路线如下:氟嘧硫草酯是一种新型原卟啉原氧化酶(PPO)抑制剂,具有活性高,用量少,杀草谱广,残效期短等优点,对包括一年生黑麦草在内的禾本科杂草表现出真实显著的药效,且对人畜无害,使用安全,具有良好的毒理学特性。自2018年登记上市以来,氟嘧硫草酯在国外的非选择性除草剂市场受到了广泛关注,并陆续在澳大利亚、美国、加拿大、巴西等国取得登记,在国内该类化合物包括苯嘧磺草胺、氟丙嘧草酯在内是被严重低估的一类除草剂品种,一方面是在灭生性市场其生产成本相对较高,增加了其终端使用成本,另一方面在作物使用上具有较高的使用技术,且国内老品种产能过剩,迭代缓慢,也为新品种的推广造成了一定影响。但随着工艺的优化和技术的进步,特别是应用端转基因技术的发展,未来氟嘧硫草酯将具有较好的市场前景。有关农药行业更多科技创新、专利保护等内容,敬请关注第十三届农药知识产权与科技创新大会,五大价值五大收获等着你!
