新闻1:
北京时间2020年11月23日
中化新网讯 近日,德国农化巨头拜耳表示,公司已投资20亿卢比(约合2400万欧元)在其位于印度古吉拉特邦的Vapi基地新建一座乙虫腈制造厂。新工厂产品将满足印度国内需求并出口至亚太地区和拉丁美洲,年产能为1500吨。
乙虫腈是作物保护产品杀虫剂中的有效成分。拜耳Vapi基地主管Narendra Shah表示,农业市场是乙虫腈的最大终端。新工厂建成后,除了满足印度农业的国内需求外,还将向全球其他农业市场出口。印度是拜耳作物科学部门的主要增长市场之一。通过此项战略投资,拜耳力争进一步提高在农化品制造和供应链方面的全球竞争力。
Vapi基地于1994年落成,拥有1200名全职员工,是拜耳全球最大的拟除虫菊酯生产基地,近80%的产品出口美国、巴西、法国、德国、印度尼西亚、日本和澳大利亚。
新闻2:
北京时间2019年9月25日
世界农化网中文网报道:拜耳宣布在巴西推出了杀虫剂Curbix,用于防治棉花中的棉铃象虫。该产品含乙虫腈(200克/升),可持久残效防治棉花虫害。最近,AgroPages独家采访了拜耳在巴西的作物科学部门总裁Gerhard Bohne,Gerhard介绍了该产品作用模式以及下一步计划。
Gerhard称,象鼻虫是巴西部分地区面临的一个严重问题,需要使用一系列杀虫剂方能控制。Curbix作用模式与市场上其他杀虫剂不同,有助于管理巴西不同地区棉铃象虫。
乙虫腈不是一个新产品,但在近两年来引起了足够的重视:
乙虫腈(Ethiprole)是由罗纳普朗克于1994年发现、拜耳公司开发的苯吡唑类杀虫、杀螨剂,属于第二代作用于GABA的杀虫剂低用量下对多种咀嚼式和刺吸式害虫有效,可用于种子处理和叶面喷雾,持效期长达21-28天。
乙虫腈(Ethiprole),分子式 C13H9Cl2F3N4OS,化学名称 1-(2,6-二氯-4-三氟甲基苯基)-3-氰基-4-乙基亚磺酰基-5-氨基吡唑。

物理化学性质:乙虫腈纯品为白色晶体粉末,蒸汽压(25℃)9.1×10-8 Pa,分解温度165.1℃,在有机溶剂中的溶解度(g/L,20℃)甲醇(47.2),丙酮(90.7),正辛醇(2.4),庚烷(0.004),二氯甲烷(19.9),水中溶解度为9.2 mg/L。正辛醇-水分配系数为2.9。
乙虫腈(ethiprole)在低剂量条件下,能对各个生长阶段的害虫及各种类型的害虫均表现出很高的杀虫、杀螨活性,特别是对于水稻上极难防治的害虫稻绿蝽具有极强的活性,现在常用于种子处理和叶面喷雾。氟虫腈禁用后,水稻和蔬菜害虫用药面临很大的农药缺口。目前日本已经获得登记用于防治水稻、果树和蔬菜等作物上的害虫,且已广泛大量使用,同时在美国也已经用于小麦和玉米原粮的储存保护。中国也已在水稻上获得登记,用于替代氟虫腈。
作用机理:
乙虫腈通过γ-氨基丁酸(GABA)干扰氯离子通道,从而破坏中枢神经系统(CNS)正常活动,昆虫致死。与有机磷类、拟除虫菊酯类、氨基甲酸酯类等主要的杀虫剂不存在交互抗性问题。其作用方式为触杀性,不具内吸性。对多种作物的多种咀嚼式和刺吸式口器害虫均有防治效果。
靶标害虫:
可防治水稻、棉花、大豆、茶叶和其他蔬菜,以及储粮、花生、玉米和其他柑橘类水果的多种害虫。乙虫腈与其他产品混配具有增效作用。目前,乙虫腈可有效防治飞虱、蓟马、蚜虫、象鼻虫、蝇类、蛆虫、蚱蜢、叶蝉、潜叶蝇和粉虱等害虫。由于乙虫腈可提高水稻对椿象的抗性,在水稻上应用广泛。乙虫腈属苯吡唑类广谱杀虫剂。
使用方法:
经室内活性生物试验和田间药效试验,乙虫腈对水稻稻飞虱有较好的活性和防效。用药剂量为45~60g(有效成分)/hm2(折成100g/L悬浮剂商品量为30~40mL/667m2,一般加水50L稀释),于水稻稻飞虱低龄若虫高峰期进行稻株部位全面喷雾,施药次数1~2次。该药的速效性差,持效期可达14d左右。推荐剂量下,对作物安全,未见药害产生。对捕食性天敌,如小花蝽、龟纹瓢虫等基本无影响。
乙虫腈与氟虫腈在化学结构、光化学、代谢活动和杀虫能力方面的效能非常相似。乙虫腈对环境也具有较高风险。如制剂对鱼中毒,对蜜蜂接触和经口均为高毒,对家蚕中毒。乙虫腈使用时明确规定蜜源作物花期禁用;养鱼稻田禁用,施药后田水不得直接排入水体,不得在河塘等水域清洗施药器具等注意事项。因此对环境也存在中度至高度的风险。同时乙虫腈日允许摄入量 ADI 为 0.005mg/kg bw/day,对人畜毒性也较高。为保证食品和环境安全发达国家如美国以及日本等国家严格制定 130 余种食品和作物中乙虫腈最大残留限量值(MRL:0.02-2 mg/kg)范围。
乙虫腈与其他农药类污染相似,进入环境的主要途径是植物上的喷施。由于喷施作用,乙虫腈一部分进入植物体内,而另外一部分则主要进入农田土壤。据国际纯粹与应用化学联合会(IUPAC)的数据报告,乙虫腈在土壤中呈现中等的持久性,DT50为 50 天。因此,土壤是乙虫腈的主要归宿场所。乙虫腈在有机质含量较高和酸性的水中都比较稳定,光解的效率比较低,乙虫腈在红壤中移动特性比较强,有可能渗入地下水。


其对环境的风险是市场开拓的主要阻力。
目前国内原药登记企业有5家,这些企业均能够进行合成生产,自行出口或通过贸易公司出口。但是需要注意的是乙虫腈合成难度并不大,由于乙虫腈与氟虫腈工艺类似且核心中间体2,6-二氯-4-三氟甲基苯胺通用,因此国内氟虫腈企业大都可以生产乙虫腈。

国内乙虫腈企业主要以仿制拜耳的单剂剂型为主,或与其他成分进行混配。
目前,拜耳投放的经典剂型如下:
Ethiprole 9.7%SC
Ethiprole 100g/LSC
国内目前登记的混配剂型仅有两家:
Ethiprole2%+chlorpyrifos 28%SE
Ethiprole10%+isoprocarb 50% WP
中国从来不是乙虫腈主要市场,目前乙虫腈的销售区域主要是巴西和日本,二者的销售额占全球销售总额的91%。巴西主要用于甘蔗,水稻和非作物上销售;日本则主要在水稻上使用,大豆、仁果类水果、其他果蔬以及非作物上已有使用。其他地区在水稻上略有销售,但市场份额比重较低。

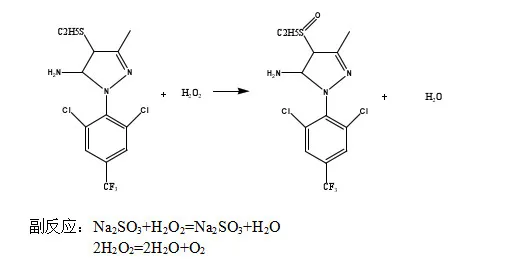
欧洲专利EP0295117中制备乙虫腈合成是以1-(2,6- 二氯-4-三氟甲基苯基)-4-乙巯基-5-氨基吡唑为原料,经双氧水氧化而成,反应方程式为:

用此方法,收率良好,但是使用双氧水氧化难免会有氧化过量的现象,从而加大提纯的困难,而且原料1-(2,6- 二氯-4-三氟甲基苯基)-4-乙巯基-5-氨基吡唑的制备过于复杂,产率低。如美国专利US 5814652以1-(2,6-二氯-4-三氟甲基苯基)-4-氰巯基-5-氨基吡唑为底物和碘代烷烃在氮气保护下,-7℃下反应,制备系列的1-(2,6-二氯-4-三氟甲基)苯基-3-氰基-4-烷基巯基-5-氨基吡唑,产率低。其原料1-(2,6-二氯-4-三氟甲基苯基)-4-氰巯基-5-氨基吡唑的制备也相当复杂,条件非常苛刻。欧洲专利E.P.0295117描述了在-78℃下,用硫氰酸钾和1-(2,6-二氯-4-三氟甲基苯基)-5-氨基吡唑反应制备1-(2,6-二氯-4-三氟甲基苯基)-4-氰巯基-5-氨基吡唑的方法。上述方法合成乙虫腈所遇到的问题乃是条件过于苛刻,操作处理过于复杂,产率低,无法实现工业化生产。
对于乙虫腈的合成工艺,目前国内主要存在如下专利文献:
中国专利公开号:CN104370818A,公开了一种氧化法制备高纯度乙虫腈的工艺,将适量原料5-氨基-3-氰基-1-(2,6-二氯-4-三氟甲基苯基)-4-乙基亚硫酰基吡唑(I)在有机溶剂中,在脂肪酸、双氧水参与下发生氧化反应,氧化反应完成后,再加入还原剂同时控制体系温度,然后以NaOH溶液调整体系酸碱度,再在升温回流后冷却结晶抽滤得到粗品乙虫腈,粗品乙虫腈(Ⅱ)经提纯即可得到合格品;其中,有机溶剂选用氯仿、二氯甲烷、二氯乙烷中的至少一种。本发明生产工艺简单、效率高、副产物少,在产品产率以及产品纯度上都得到了较大的突破,并且原料毒性相对较低,对环境污染较小,生产可控性好。
此外,中国专利公开号:CN106866537A,亦提供了一种乙虫腈的生产工艺。
目前江苏托球采用的是EP0295117的方法,且从杂质情况推测,工艺与其氟虫腈生产线共线。
乙虫腈作为氟虫腈的取代产品, 其主要的市场还是在巴西和日本,但随着氟虫腈逐步的推出市场,未来应关注的市场有亚太地区、南美、中东和非洲。目前,乙虫腈产业集中度较高,主要集中在南美、日本和中国。
未来几年,由于中国和印度对杀虫剂的需求不断增加,以及拜耳战略的调整,亚太地区有希望成为乙虫腈增速最快的市场。
感谢:秦恩昊老师提供的信息支持。
来源:磊子侃农药