吡氟酰草胺(diflufenican)属于取代吡啶基酰苯胺类除草剂, 该除草剂于1982年由拜耳公司申请专利,主要用于玉米、大豆及麦田防除多种一年生禾本科杂草和某些阔叶杂草。该品种为选择性接触和残留除草剂,作用方式为通过对八氢番茄红素脱氢酶的抑制,阻碍类胡萝卜素生物合成。
通用名:吡氟酰草胺,diflufenican;其它名称:吡氟草胺;IUPAC名:2',4'-二-2-(α,α,α-三氟间甲苯氧基)-3-吡啶酰苯胺;CA名:N-(2,4-二氟苯基)-2-[(3-三氟甲基)苯氧基]-3-吡啶甲酰胺;CAS 登录号:[83164-33-4]; 商品名:'Fenican' (拜耳作物科学);'Legacy' (马克西姆);'Tigrex' (拜耳作物科学);'Blizzard' (拜耳作物科学);'Brodal' (拜耳作物科学);'Econal' (拜耳作物科学);'Ioniz' (拜耳作物科学);'Legato' (马克西姆);'Zodiac TX' (拜耳作物科学)。结构式见下图。

早在1981年拜耳作物科学就为其申请了专利,专利到期日是2001年,1985年罗纳-普朗克(现拜耳作物科学)公司正式推出吡氟酰草胺。在之后长达30多年的发展过程中,该产品的使用一直集中在欧洲地区,其中法国和德国是主要使用国家。
近年来在中国市场的逐步开发得益于拜耳“骄马”(50%吡氟酰草胺WP)的推广,以及市场对小麦田封闭除草剂的需求。
纯度≥97%;相对分子质量:394.3;分子式;C19H11F5N2O2;外观:无色晶体;熔点:159~161℃;蒸汽压:4.25×10-3mPa (25℃,气体饱和法);分配系数KowlogP=4.9;亨利常数0.033 Pa·m3·mol-1。溶解度:在水中<0.05mg/L (25℃)。溶于大多数有机溶剂,在丙酮、二甲基甲酰胺中为100g/kg,在苯乙酮、环己酮中为50g/kg,在异佛尔酮中为35g/kg,在二甲苯中为20g/kg,在环己烷、2-乙氧基乙醇、煤油中均<10g/kg(20℃)。稳定性:在熔点下的空气中稳定。在22℃,pH为5、7和9时,在水溶液中很稳定。对光稳定。
生物化学:通过对八氢番茄红素脱氢酶的抑制,阻碍类胡萝卜素生物合成。
作用方式:选择性接触和残留除草剂,主要被萌发幼苗的芽所吸收。
广谱的选择性麦田除草剂。土壤中残效期较长。适用范围适用于大麦、小麦田防除猪殃殃、卷茎蓼、马齿苋、龙葵、繁缕、巢菜、田旋花、鼬瓣花、酸模叶蓼、柳叶刺蓼、反枝苋、鸭跖草、香薷、遏蓝菜、野豌豆、播娘蒿及小旋花等各种阔叶杂草。与2甲4氯钠盐混用,可以扩大其杀草谱。
哺乳动物毒性
急性经口LD50:大鼠>2000mg/kg,小鼠>1000mg/kg,兔子>5 000mg/kg。大鼠急性经皮LD50>2000mg/kg。对兔子的眼睛和皮肤无刺激性。大鼠急性吸入LC50(4h)>2.34mg/L(空气)。大鼠14天亚急性试验,1600mg/kg体重剂量下无不良影响。90天饲喂试验,狗的无作用剂量为1000mg/(kg·d),大鼠为500mg/kg。Ames试验无致突变性。
生态毒性
鸟类急性经LD50:鹌鹑>2150mg/kg,野鸭>4000mg/kg。鱼类吸入LC50(96h):虹鳟为56~100mg/L,鲤鱼为105mg/L。水蚤LC50 (48h):10mg/L无影响。10mg/L(96h)对藻类的生长没有抑制作用。经食或接触对蜜蜂无毒。对蚯蚓无毒。
国内目前有原药登记13家,其中有仍然在生产的企业2~3家。

国内其制剂登记剂型为50%可湿性粉剂,30%&41%悬浮剂和50%水分散粒剂为主,复配情况如下图,常与异丙隆复配用于冬小麦田的封闭除草剂。

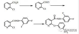
方法1:首先由2-氯烟酸与间三氟甲基苯酚在碱性条件下缩合、酸化得到 2-(3-三氟甲基苯氧基)烟酸,再与氯化亚砜反应得到酰氯,该酰氯与 2,4-二氟苯胺缩合,即得到吡氟酰草胺。

方法2:也可先由2-氯烟酸酰氯化得到2-氯烟酰氯,再先后与2,4-二氟苯胺及间三氟甲基苯酚缩合,得到吡氟酰草胺。

方法2更适合于工业化生产。两种合成方法都具有共同的重要中间体2-氯烟酸。
关于其核心中间体2-氯烟酸
是重要的农药和医药中间体,2-氯烟酸的生产装置主要集中在中国、印 度、 德国、法国和美国。
中国主要的生产公司有江苏中正生化有限公司、河北亚诺化工有限公司、浙江荣凯化工科技有限公司等10余家,印度的生产公司是西尔维乌医药公司和滚石集团 。
2-氯烟酸在农药方面,可用于合成除草剂烟嘧磺隆、吡氟酰草胺、杀菌剂啶酰菌胺等,吡氟酰草胺只是其应用的一个小类。
关于目标市场:
2018年全球销量总计1339.1吨,其中大部分使用量在欧洲。
Country | Total (000 kg) |
Total | 1 339.10 |
Germany | 281.67 |
France | 247.31 |
Australia | 165.87 |
UK | 157.64 |
Poland | 94.42 |
Unallocated | 75.80 |
Czech-Republic | 53.50 |
Spain | 46.49 |
Argentina | 34.05 |
Denmark | 24.53 |
Japan | 18.68 |
Belarus | 14.47 |
Hungary | 14.26 |
Chile | 11.47 |
Rest of Europe | 11.33 |
Slovakia | 8.95 |
South Africa | 7.79 |
Belgium | 7.63 |
全球总计销售额为1亿1千7百万美元, 而在南亚和西亚总计销售额仅仅为1千万美元。主流市场仍然是在欧洲。但是由于拜耳作物科学拥有大量的注册产品,这减少了非专利制造厂商的市场份额。
吡氟酰草胺在主要市场的专利已经到期,但它的各种复配产品在欧洲国家得到承认,这些复配产品在市场上占主导地位。拜耳作物科学对吡氟酰草胺的制剂和应用专利均有布局。对于非专利生产厂商来说,登记注册费用是他们渗透进入欧洲市场的主要困难。
吡氟酰草胺的生产是相对简单的,3个关键中间体2-氯烟酸、2,4-二氟苯胺和间三氟甲基苯酚来源也很广泛。因此,从技术的观点来看,吡氟酰草胺对于非专利生产厂商具有很大的吸引力。但现实的因素是进入欧洲市场存在的准入门槛的问题。在国内市场,其无论用在水稻还是小麦上, 容易出现叶片褪色或失绿的问题,也是农民使用较为谨慎的原因之一。
来源:磊子侃农药