2019—2021年专利过期的农药品种共有8个,包括2个杀虫剂、1个杀菌剂和5个除草剂(表1),主要包括日本农药株式会社、拜耳作物科学开发的氟苯虫酰胺、先正达公司开发的双炔酰菌胺、巴斯夫公司开发的苯嘧磺草胺。本文简要其的结构、作用方式及防治效果进行简要概述,以供企业参考登记。
表1 2019-2021年专利过期农药品种概况

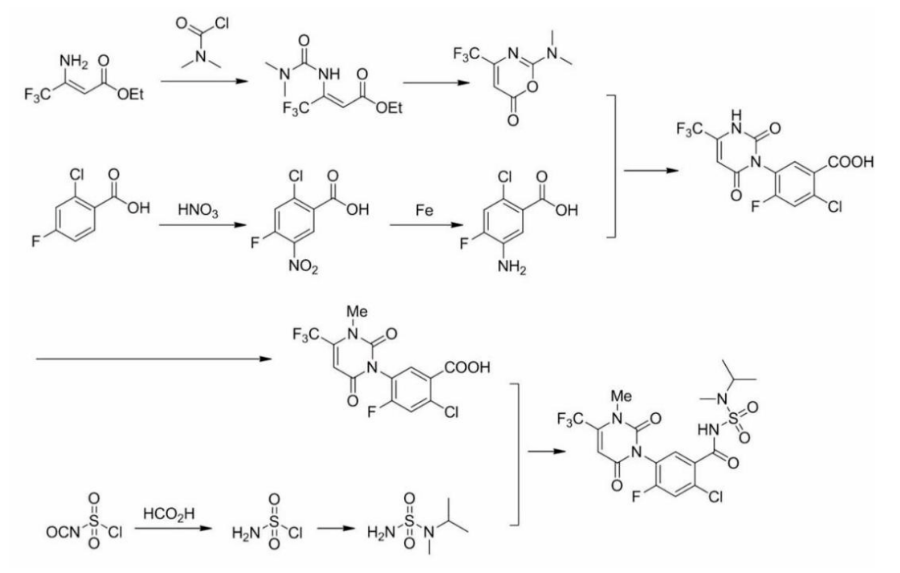
氟苯虫酰胺分子式:C23H22F7IN2O4S,相对分子质量:682.4。结构如图1所示。外观为白色结晶粉末,20℃时密度为1.659;熔点为217.5~220.7℃;20℃时在pH=7的辛醇/水溶液中,logPow=4.14;在20℃时不同溶剂中的溶解度:水29.9μg/L,对二甲苯0.488,正庚烷0.000 835,甲醇26.0,二氯乙烷8.12,丙酮102,乙酸乙酯29.4(g/L);当4<pH<9时酸性和碱性介质中均稳定;25℃,蒸馏水中光解DT50=5.5 d。氟苯虫酰肼属双酰胺类杀虫剂的一款由日本农药株式会社和拜耳作物科学联合研发的邻苯二甲酰胺类杀虫剂,具有胃毒和触杀作用,无内吸性,高效,广谱,见效较快,持效期较长。对鳞翅目害虫有光谱防效,与现有杀虫剂无交互抗性产生,可以与多种药剂混配,非常适宜于现有杀虫剂产生抗性的害虫的防治。耐雨水冲刷。作用于昆虫细胞兰尼碱受体的化合物,激活兰尼碱受体细胞内钙释放通道,导致贮存钙离子的失控性释放;是目前为数不多的作用于昆虫细胞兰尼碱(Ryanodine)受体的化合物。氟苯虫酰胺主要应用作物包括:大豆、蔬菜、果树、玉米、棉花、葫芦、葡萄、坚果树、水稻、烟草和茶树等。氟苯虫酰胺几乎对所有鳞翅目害虫均有很好的活性,有效防治鳞翅目害虫的成虫和幼虫,对幼虫防效尤佳,作用速度快,持效期长。主要通过叶面喷雾,有效成分用药量为34~180 g/hm2。但是由于其对水生生物高毒,故氟苯虫酰胺不可在水稻上登记使用。氟噻虫砜分子式:C7H5ClF3NO2S2,相对分子质量:290.94,结构如图2。该品纯品为淡黄色液体;熔点:34.8℃;pH:5.2(1%水溶液);蒸气压2.22 mPa(20℃)。在有机溶剂中的溶解度(g/L,20℃):二氯甲烷306.10,乙酸乙酯351.00,正庚烷19.00,丙酮350.00。在215℃降解。氟噻虫砜Makhteshim Chemical Works在1993—1994年发现,2014年在美国取得登记的非熏蒸性杀线虫剂。对多种植物寄生线虫有防治作用,线虫接触到此物质后活动减少,进而麻痹,暴露1 h后停止取食,侵染能力下降,产卵能力下降,卵孵化率下降,孵化的幼虫不能成活,其不可逆的杀线虫作用可使线虫死亡,而有机磷和氨基甲酸酯类杀线虫剂只暂时起作用。氟噻虫砜对线虫的多个生理过程有作用,这表明此物质具有新的作用机理,被认为与当前的杀线虫剂和杀虫剂不同。氟噻虫砜原药具有中等经口毒性,低等经皮和吸入毒性,对兔皮肤有轻微的刺激性,对兔眼睛没有刺激作用,但对豚鼠皮肤有致敏性,氟噻虫砜原药对鲤鱼LC50(96 h):41.0 mg/L,大型溞的LC50(48 h):9.1 mg/L,水藻EC50(72 h):0.022 mg/L;对非靶标和有益生物无害,对蜜蜂、鸟和蚯蚓无毒;毒性比现有的很多杀线虫剂都要低。在土壤中的半衰期DT50为11~22 d。此产品已在美国登记用于番茄、辣椒、秋葵、茄子、黄瓜、西瓜、哈密瓜和南瓜等水果和蔬菜作物防治线虫的危害。该药在或即将在多个国家申请登记,用于农业和园艺等多种作物,也在开发多种制剂以适宜用于不同的国家和不同的作物。双炔酰菌胺分子式:C23H22ClNO4;相对分子质量411.88;结构式如图3。密度:1.2 ± 0.1 g/cm3,纯品外观为浅褐色无味粉末;250g/L悬浮剂外观为灰白色至棕色液体;悬浮率98%;常温贮存稳定。熔点:96.4~97.3℃;蒸汽压(25℃)<9.4×10-7Pa;在水中的溶解度(25℃)为4.2 mg/L,分配系数:logPow=3.2(25℃)。双炔酰菌胺原药质量分数≥93%;外观为浅褐色无味细粉末;pH值6~8;在有机溶剂中溶解度(25℃,g/L):丙酮300,二氯甲烷400,乙酸乙酯120,甲醇66,辛醇4.8,甲苯29,正己烷0.042。双炔酰菌胺为先正达公司开发酰胺类杀菌剂,于2006年在奥地利和韩国获得全球首次批准,并于2007年上市。该产品于2007年11月在我国获得登记,目前已获得登记的国家有美国、德国、比利时、荷兰、巴西,智利和哥伦比亚等。其作用机理为抑制磷脂的生物合成,对绝大数由卵菌引起的叶部和果实病害均有很好的防效。对处于萌发阶段的孢子具有较高的活性,并可抑制菌丝成长和孢子形成。可以通过叶片被迅速吸收,并停留在叶表蜡质层中,对叶片起保护作用。经室内活性测定和田间药效试验,结果表明双炔酰菌胺250 g/L悬浮剂对荔枝霜疫霉病有较好的防治效果。用药剂量为125~250 mg/kg(折成250g /L悬浮剂的稀释倍数为1 000~2 000倍药液),于发病初期开始均匀喷雾,开花期、幼果期、中果期、转色期各喷药1次。推荐剂量下对荔枝树生长无不良影响,未见药害发生。产品登记情况:PD20142151 23.4%双炔酰菌胺悬浮剂、PD2010213923.4%双炔酰菌胺悬浮剂、PD20102138双炔酰菌胺原药93%。01. 氟吡磺隆(Flucetosulfuron)氟吡磺隆分子式:C18H22FN5O8S;相对分子质量:487.46;结构式如图4。密度:1.417 g/cm3;蒸气压:<1.86×10-5;熔点:178~182℃,在20℃时,酸度系数(pKa)为3.5。溶解度:25℃时在pH=7的水中的溶解度为0.114;20°C时有机溶剂中的溶解度(g/L)丙酮22.9;乙酸乙酯11.7;二氯甲烷113.0;二甲基甲酰胺265.0;二甲基亚砜211.7;正己烷0.006;甲醇3.8。氟吡磺隆韩国LG公司生命科学有限公司研制的一种新型磺酰脲类除草剂,属于磺酰脲类除草剂,是乙酰乳酸合成酶(ALS)抑制剂,可用于水稻田土壤或茎叶处理,被植物的根、茎和叶吸收后,通过抑制植物的乙酰乳酸合成酶,阻碍支链氨基酸如缬氨酸、亮氨酸、异亮氨酸的生物合成,从而破坏蛋白质的合成,干扰DNA的合成及细胞分裂与生长,最终导致植物死亡。氟吡磺隆对禾本科杂草、阔叶杂草和莎草科杂草均有防效,它可以通过植物的根、茎和叶吸收,通过叶片的传输速度比草甘膦快。可用于移栽和直播水稻田;温室和田间试验表明,用于水稻田,在常规用量15~30 g(有效成分)/hm2时,防效达90%以上,对水稻安全,对后茬作物无影响。药害症状包括生长停止、失绿、顶端分生组织死亡,植株在2~3周后死亡。但在实际使用中,对各科中不同的杂草防除效果不同,例如对稗草、扁秆藨草、野慈姑、丁香蓼、莎草等防效达90%左右,对双穗雀稗、千金子和眼子菜等的防效较差。02. 丙酯草醚(Pyribambenz-propyl)丙酯草醚分子式:C23H25N3O5,相对分子质量:423.47,结构式如图5。原药外观为白色固体,熔点96~97℃,不溶于水,易溶于二氯甲烷、丙酮,部分溶于乙醇。丙酯草醚是由浙江省化工研究院和中科院上海有机所共同创制的一种属于嘧啶类的新型除草剂,以根、芽、茎、叶吸收并在植物体内传导为主要作用方式,能有效防治一年生禾本科杂草和部分阔叶杂草,如:看麦娘、日本看麦娘、繁缕、牛繁缕、雀舌草等。是一种常见的油菜田除草剂。目前国内的登记剂型为10%丙酯草醚、10%异丙酯草醚悬乳剂。在冬油菜移栽缓苗后,看麦娘2叶1心期对水600~750 L/hm2茎叶喷雾,对看麦娘、日本看麦娘、棒头草、繁缕、雀舌草等有较好的防效,但对大巢菜、野老鹤草、稻搓菜、泥糊菜、猪殃殃、婆婆钠等防效差。冬油菜田用量10%丙酯草醚乳油为600~675 mL/hm2。施药后土壤需保持较高的湿度才能取得较好的防效。丙酯草醚活性发挥相对较慢,药后10天杂草开始表现受害症状,药后20天杂草出现明显药害症状。该药对甘兰型油菜较安全,在商品用量900 mL/hm2以上时,对油菜生长前期有一定的抑制作用,但很快能恢复正常,对产量无明显不良影响。温室试验表明:在商品量375~4 500 mL/hm2剂量范围内,对作物幼苗的安全性为:棉花>油菜>小麦>大豆>玉米>水稻。10%丙酯草醚乳油对4叶以上的油菜安全。在阔叶杂草较多的田块,该药需与防阔叶杂草的除草剂混用或搭配使用,才能取得好的防效。啶磺草胺分子式:C14H13F3N6O5S,相对分子质量:434.06,结构如图5。外观为棕褐色粉末,原药质量分数≥96.5%;熔点:208.3℃,分解温度:213℃;蒸气压:(20℃)时<1×10-7Pa,溶解度(g/L,20℃):纯净水中0.062 6,pH=7缓冲液中3.20,甲醇中1.01,丙酮中2.79,正辛醇中0.073,乙酸乙酯中2.17,二氯乙烷中3.94,二甲苯中0.035 2,庚烷中≤0.001。啶磺草胺是由美国陶氏益农公司磺酰胺类内吸传导型、选择性冬小麦田苗后除草剂,杀草谱广、除草活性高、药效作用快。该药经由杂草叶片、鞘部、茎部或根部吸收,在生长点累积,抑制乙酰乳酸合成酶,无法合成支链氨基酸,进而影响蛋白质合成,影响杂草细胞分裂,造成杂草停止生长、黄化、然后死亡。啶磺草胺杀草谱极广,对小麦田常见的禾本科杂草有良好的效果,对阔叶杂草也具有一定的防效。对日本看麦娘、多花黑麦草、野燕麦、硬草等恶性禾本科杂草的优异防效是啶磺草胺的突出优势,而且该除草剂与精唑禾草灵、炔草酯等无交互抗性。目前啶磺草胺长于其他成分复配使用,如一种含有酰嘧磺隆和啶磺草胺的除草组合物,其包括活性成分酰嘧磺隆和啶磺草胺,其余为农药助剂,酰嘧磺隆和啶磺草胺在除草组合物中的质量份数比为1:5~5:1,酰嘧磺隆和啶磺草胺质量总和在除草组合物中的质量百分比为3%~94%。一种含有精噁唑禾草灵和啶磺草胺的除草组合物,其包括活性成份精噁唑禾草灵和啶磺草胺,其余为农药助剂,精噁唑禾草灵和啶磺草胺的质量份数比为1:5~5:1,精噁唑禾草灵和啶磺草胺质量总和在组合物中的质量百分比为2%~80%。苯嘧磺草胺分子式:C17H17ClF4N4O5S,相对分子质量:500.05,结构如图7。制剂外观为浅褐色挤条颗粒状,自由状态下平均0.574 kg/L,挤压状态下0.628kg/L;分散剂木素硫化盐6%,分散剂烷化萘磺化盐4%,润湿剂烷基萘磺化盐1%,水1%,硫酸铵盐16.13%。54℃贮存21天稳定。pH=5.02。苯嘧磺草胺是由巴斯夫开发的嘧啶类原卟啉原氧化酶(PPO)抑制剂。可作为灭生性除草剂用,可有效防除多种阔叶杂草,具有作用快、残效期长等多种特性。苯嘧磺草胺能够适用于多种生产系统和非耕地,在苗后或苗前均能使用。适用作物多,苯嘧磺草胺能够用于包括谷物、玉米、棉花、水稻、高粱、大豆和果树等在内的30多种作物上。防除谱广,苯嘧磺草胺能够防除90余种阔叶杂草,包括一些对三嗪类、草甘膦及乙酰乳酸合成酶抑制剂存在抗性的杂草。叶面喷施,有效防除阔叶杂草,包括对草甘膦和ALS抑制剂有抗性的杂草。用于玉米和高粱,芽前处理,剂量50~125 g/hm2。播前用于大豆、谷物、棉花、豆类,叶面防除迅速;也用于果树和坚果后期定向除草,用量18~25 g/hm2。甜菜、油菜和向日葵易产生药害,玉米、高粱、水稻、小麦、大麦、大豆、豌豆、棉花和小扁豆播前和苗后不易产生药害。嘧氯磺草胺CAS登录号:221205-90-9,分子式:C16H19F2N3O6S相对分子质量:419.10,专利过期时间:2019年7月,结构如图9。其纯品为无臭白色粒状结晶,熔点:98.8℃,沸点:约220℃分解,故无法测定。蒸气压2.1×10-8 Pa(25℃);密度1.48 g/cm3(l9.5℃)。水中溶解度为:8.39×l04 mg/L(20℃,纯水)。分配系数:logPow=2.15(20℃,pH=3)。该药剂水中半衰期>1年(25℃,pH=4、pH=7和pH=9)。水中光解半衰期38d(蒸馏水,25℃,47.5 W/m2,300~400 nm)。嘧氯磺草胺是由日本组合化学公司新型磺胺类除草剂,研发的可有效地防除移栽水稻田中的各种一年生杂草和牛毛毡、萤蔺、矮慈菇、水莎草、窄叶泽泻、眼子菜、水芹、野慈菇、荸荠、日本藨草、扁杆藨草、稻状秕壳草、水绵等杂草。该剂亦可防除直播水稻田中的一年生杂草和牛毛毡、萤蔺、矮慈菇、水莎草和水芹等杂草。在移栽水稻田,通常在移栽后3天或稗草3叶期至收获前30天为止使用本除草剂;在直播水稻田中可在稻苗出芽前或稗草3叶期至收获前60天为止使用。嘧氯磺草胺的制剂有10%可湿性粉剂和1kg颗粒剂。单剂使用时有效成分剂量为50~70g/hm2。另有与苄嘧磺隆或吡嘧磺隆混配的制剂。经应用表明,嘧氯磺草胺对于对磺酰脲类除草剂具抗性的水田杂草亦十分有效。