杂草对作物产量的影响明显,当杂草长至15厘米时,其造成的经济损失为73欧元/公顷,杂草仍是农民的头号敌人,除草剂的重要性不言而喻。灭生性除草剂广泛应用于非耕地、免耕地、水生田、农田作物等除草,对杂草的防除具有重要作用。2014年灭生性除草剂全球销售额近90亿美元,占据除草剂总销售额的1/3以上,可见其市场地位重要性。
草甘膦和百草枯是灭生性除草剂中最重要的两个品种,占据了灭生性除草剂绝大部分的市场份额,但目前均遇到了各种问题。
(1)草甘膦由于其优异的杀草活性、广泛的杀草谱、较低的土壤残留、较长的控草时间,加上抗除草剂转基因作物的广泛种植,使其成为全球销量第一的除草剂品种。然而,由于长时间大量单一的连续使用草甘膦,杂草的抗性问题己经非常突出。到目前己经公布了有40多种100多个生物的杂草对草甘膦产生抗性。事实上,除了抗性杂草外,还有十多种杂草如马唐、苘麻、龙葵、蓼、藜等天然就对草甘膦有抗性。我国分别于2006年、2010年报道了小飞蓬、牛筋草对草甘膦产生抗性,尤其是牛筋草已经在我国南方免耕种植区、种植园成为优势杂草和恶性杂草,其抗性蔓延日趋严重,成为难以解决的问题。不同杂草对草甘膦的敏感性有差异,有一些杂草对草甘膦的耐药能力较强,单一使用草甘膦不能有效防除,对这些杂草的防除是亟待解决的问题。
(2)百草枯对人毒性极大,且无特效解毒药,口服中毒死亡率极高。目前已被20多个国家禁止或者严格限制使用。我国自2016年7月1日停止水剂在国内销售和使用。百草枯的禁用,留下巨大市场空缺。因此,开发一个新的可以防除抗草甘膦杂草的高效安全灭生性除草剂势在必行。
(1)创制过程
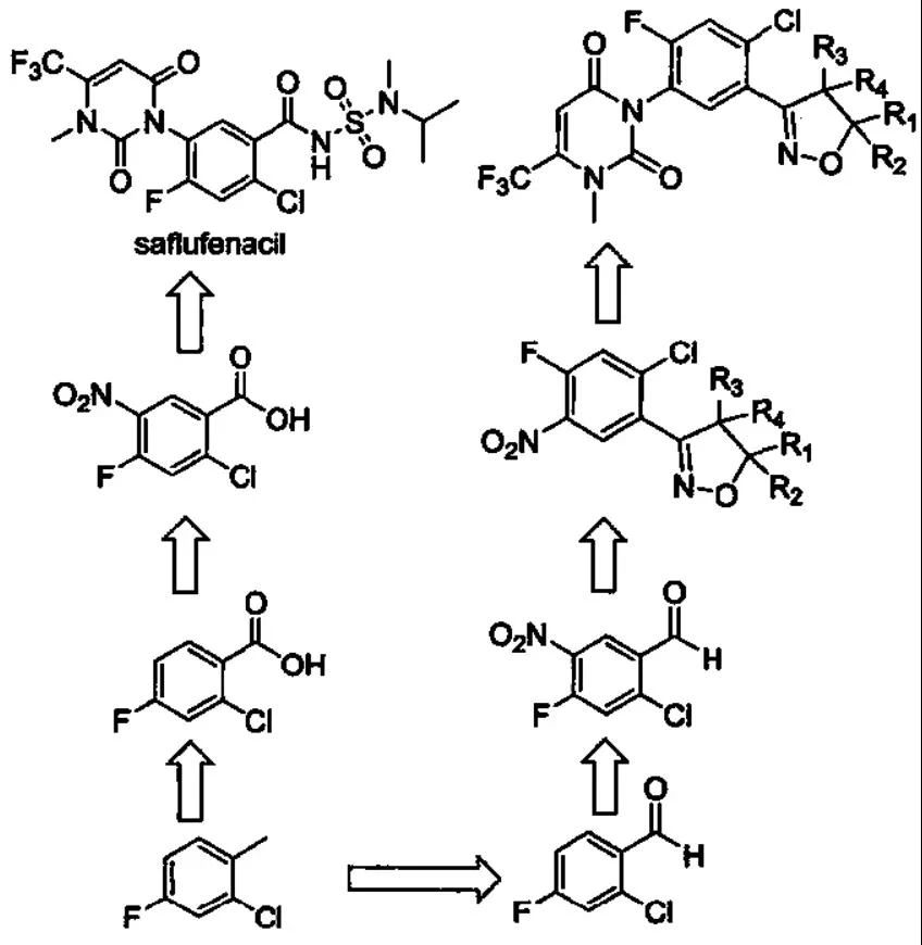
通过查阅大量资料发现,PPO抑制剂类除草剂抗性报道较少,且活性高亦可作为灭生性除草剂使用,其中尤以含有脲嘧啶官能团的活性突出,如图1所示的美国尤尼罗伊尔化学公司开发的flupropacil、先正达公司开发的氟丙嘧草酯(butafenacil)、巴斯夫公司开发的苯嘧磺草胺(saflufenacil)等均具有共同的含有脲嘧啶的苯甲酸骨架。
其中苯嘧磺草胺则是该类除草剂的佼佼者,其活性优异,用量极低,被巴斯夫称为“20多年来开发最成功的新除草剂”,“代表了阔叶杂草防除的新水平”,能够防除90余种阔叶杂草,包括一些对三嗪类、草甘膦及乙酰乳酸合成酶抑制剂存在抗性的杂草,在我国登记用于防除柑橘园和非耕地的阔叶杂草。苯嘧磺草胺对抗草甘膦小飞蓬具有较好的防除效果,可替代苯氧类除草剂2,4-D和磺酰脲类除草剂与草甘膦复配,有效降低防治顽固性杂草对草甘膦的使用量,被巴斯夫设定为防治抗草甘膦杂草的重要工具。但是苯嘧磺草胺主要防除阔叶杂草,对禾本科杂草防治效果较差,因此不能有效防除我国境内的抗草甘膦的牛筋草。

图1 脲嘧啶类除草剂结构
近几年新出现的具有异噁唑啉结构的除草剂如图2所示的巴斯夫开发的苯唑草酮(topramezone)、韩国化学技术研究所开发的methiozolin、日本组合化学公司开发的砜吡草唑(pyroxasulfone)和fenoxasulfone均具有典型的异噁唑啉官能团,结构新颖,对禾本科杂草活性优异。

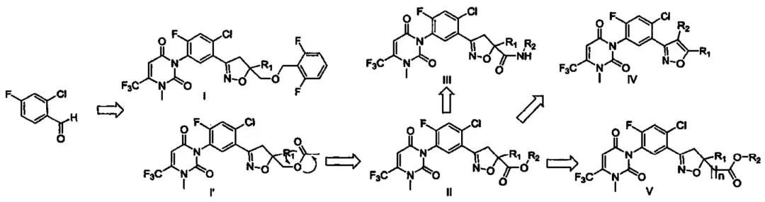
课题组在长期的新农药创制研发过程中,总结出了一种行之有效的新农药创新方法中间体衍生化方法”,包括直接合成法,替换法,衍生法。其本质是从有机合成的角度出发,利用中间体可进行多种反应的特性,把新药创制中先导化合物发明的复杂过程简单化。因为任何一个产品都是由一个或几个原料或中间体经反应而得。分析苯嘧磺草胺的衍生过程,应该是以2-氯-4-氟甲苯为起始原料,经过氧化成酸,硝化、还原、合环成脲嘧啶结构得到。为了获得活性优异并能有效防除抗性杂草的全新结构化合物,本研究同样选用苯嘧磺草胺的初始原料2-氯氟甲苯为起始原料,经过氧化成醛,后经硝化、肟化、成环衍生得到各种不同取代基的异噁唑啉中间体,后经还原、合环成为脲嘧啶结构(图3)。

图3 SY-1604创制思路
首先是结合methiozolin结构合成苄醚结构异噁唑啉环(化合物I)(图4),但是除草活性并不突出,意外的是发现其副产(化合物I')具有较为优异的活性,在室内对阔叶杂草百日草和苘麻在7.5 g a.i./hm2杀死效果100%。但是后续的田间试验发现其活性较差,分析原因可能是乙酰酯基不稳定,在室外环境下分解导致活性降低。
为了提高稳定性并保持活性,在设计的化合物时考虑将酯基的位置交换一下,也即Ⅱ类化合物,令人惊奇的是不仅保持了对阔叶杂草的活性,同时发现对禾本科杂草活性同样优异。这相对于以苯嘧磺草胺为代表的脲嘧啶除草剂来说是突破性进展,因为所有报道的该类除草剂包括苯嘧磺草胺仅对阔叶杂草有效。
后续继续对该类化合物进行优化研究,通过将酯氨化得到酰胺类化合物Ⅲ,但是活性降低。通过在酯与异噁唑啉环之间插入烷基得到化合物V,该类化合物基本保持了活性,与Ⅱ类化合物活性相当。通过氧化将异噁唑啉环衍生为异噁唑类化合物Ⅳ,尽管保持了对阔叶杂草的活性,但是对禾本科活性大大降低。结合化合物的合成成本,重点对Ⅱ类化合物进行优化,通过引入不同R2,最终发现了活性优异,性价比最高的SY-1604。

(2)SY-1604的生物活性
SY-1604室内同等剂量下对阔叶杂草的防效与苯嘧磺草胺相当或略优于,对禾本科杂草活性远优于苯嘧磺草胺(表1)。
表1 SY-1604的室内复筛活性
SY-1604的杀草谱明显比苯嘧磺草胺广(图5),且在60 g a.i./hm2时对绝大多数的杂草稗草、狗尾草、异型莎草、水莎草、马唐、荩草、苘麻、百日草、反枝苋、马齿苋、苍耳、龙葵、决明、野西瓜苗以及野大豆防效均高于85%,明显优于苯嘧磺草胺同等剂量下的防效。

SY-1604对不同叶期的禾本科杂草和阔叶杂草防除效果非常显著。在30 g a.i./hm2时对4-5叶期的稗草防除效果100%,对5-6叶期的狗尾草防除效果达到85%(表2)。同等剂量下对照药剂苯嘧磺草胺的防除效果仅分别10%和30%,甚至在120 ga.i./hm2时防除效果也未达到50%。SY-1604在30 g a.i./hm2时对5-6叶期的苘麻和6叶期的百日草的防除效果分别为95%和100%也是略优于苯嘧磺草胺在同等剂量下的防效(表2)
表2 不同叶期杂草的防效
SY-1604可以有效防除对草甘膦产生严重抗性的小飞蓬和牛筋草:SY-1604在60g a.i./hm2对小飞蓬和牛筋草防效分别为98%和80%,而草甘膦在2 400 g a.i./hm2防效仅为25%和50%(表3)。SY-1604对小飞蓬的ED50值为10 g a.i./hm2,而草甘膦钾盐仅为2512.8 g a.i./hm2,二者复配使得活性提高10倍。SY-1604对牛筋草的ED50值为21.3 g a.i./hm2,而草甘膦钾盐仅为2494.7 g a.i./hm2,二者复配使得活性提高5倍之多(表4)。因此,SY-1604与草甘膦混用具有明显的增效作用。
表3 SY-1604、草甘膦对抗性小飞蓬和牛筋草的防效试验
表4 SY-1604与草甘膦混用对抗性小飞蓬和牛筋草的防效试验
SY-1604在田间试验中同样表现出了优异的活性:在辽阳果园的试验表明(表5):SY-1604在60 g a.i./hm2时的防除效果优于苯嘧磺草胺在同等剂量下防除效果。苏家屯梨园的试验表明(表6):处理后16天,SY-1604对阔叶杂草和禾本科杂草均有很高的防效,总体防效明显高于照药剂苯嘧磺草胺,在60 g a.i./hm2时的防除效果与草甘膦在1 200 g a.i./hm2时的防除效果相当。
表5 辽阳果园15天株目测防效
表6 防除苏家屯梨树园杂草试验结果(处理后16天)
利用巴斯夫引以为傲的超高效除草剂苯嘧磺草胺的关键中间体,通过“中间体衍生化方法”进行衍生、优化,最后发现了一个不仅在活性上明显优于苯嘧磺草胺而且可以有效防除抗草甘膦杂草的全新灭生性除草剂SY-1604,其具有自主知识产权己经相继申请了中国、阿根廷、澳大利亚、加拿大、美国和巴西专利。SY-1604活性优异,用量低,杀草谱广,可以同时防除抗草甘膦的牛筋草和小飞蓬,且与草甘膦具有明显的增效作用,可有效降低草甘膦的使用量,符合国家农药减量等产业政策。SY-1604急性经口毒性LD50>5000mg/kg,是符合国家政策要求的安全、髙效、经济的除草剂。SY-1604活性得到农药研发巨头先正达公司和拜耳公司的高度认可,明确表示其具有全球开发价值。相信SY-1604在不久的将来上市后,必将在抗性杂草治理中起到重要的作用。
来源:灭生性除草剂SY-1604的创制. 中国化工学会农药专业委员会第十八届年会论文集, 2018, pp.113-118
作者单位介绍:沈阳中化农药化工研发有限公司, 新农药创制与开发国家重点实验室