一、芳氧苯氧丙酸酯类除草剂是全球除草剂市场的主流品种之一。

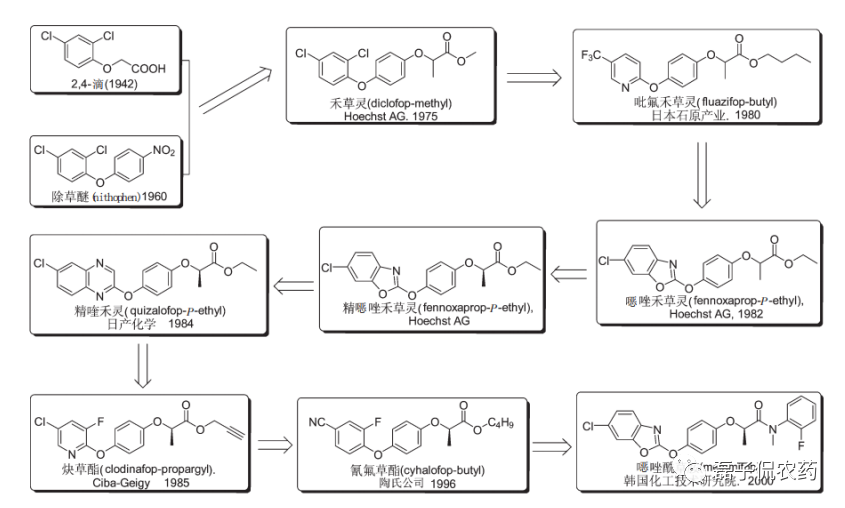
芳氧苯氧丙酸类(Aryloxy phenoxy propionate,APP)除草剂主要用于禾本科杂草的防除。其发现是在20世纪60年代,Hoechst(德国赫斯特)公司将2,4-D结构中的苯基用二苯醚替换后,研究开发了第一代芳氧苯氧丙酸类除草剂“禾草灵”。1971年确定其母环结构由A与B 构成。其后的该类除草剂都是在其基础上进行修饰改造,将一边的A苯环改变为杂环或稠环,并向环中引入活性基团F原子等,得到了一系列活性更高、选择性更好的除草剂。

(APP类除草剂结构)

(丙酸类除草剂的发展历程)
二、作用机理
芳氧苯氧丙酸类除草剂主要是乙酰辅酶A羧化酶(Acetyl-CoACarboxylase,ACCase)的活性抑制剂,进而抑制脂肪酸的合成,导致合成油酸、亚油酸、亚麻酸、蜡质层和角质层的过程受阻,导致植物的膜结构迅速破坏,透性增强,最终导致植物的死亡。
其高效、低毒、高选择性、对作物安全及易于降解的特点极大的促进了选择性除草剂的发展。
AAP类除草剂另一个特点就是其具有光学活性,其特点是同一化学结构下有不同的异构体,不同异构体的除草活性也不同。其中R(-)-异构体能有效抑制靶酶的活性,阻断杂草体内生长素和赤霉素的形成,表现出很好除草活性,而S(+)-异构体则基本无效,二者药效相差8-12倍。
商品化的APP类除草剂通常被加工成酯类,使得其更容易被杂草所吸收;但通常酯类物质的溶解度较小,吸附性较强,因此不容易淋溶,而更容易吸收在土壤中。
1.炔草酯(Clodinafop-propargyl)
炔草酯是ciba-Geigy公司于1981年开发的苯氧丙酸酯类除草剂,商品名为顶尖(Topic),化学名为(R)-2-[4-(5-氯-3-氟-2-吡啶氧基)丙酸炔丙酯。

炔草酯是含氟、具光学活性的芳氧苯氧丙酸酯类除草剂,苗后茎叶处理,防除小麦、黑麦、黑小麦等谷物田禾本科杂草,尤其对看麦娘和野燕麦等难治杂草高效。用于苗后茎叶处理,防除一年生禾本科杂草,如野燕麦、黑燕麦草、狗尾草、虉草和看麦娘等。用药量为30~60 g /hm2。具体使用方法是:从小麦2叶期至拔节期,杂草2-8叶期施药,冬季每亩用麦极(15% 炔草酯可湿性粉剂)20-30克,春季每亩用麦极(15% 炔草酯可湿性粉剂)30-40克,加水15-30公斤均匀喷雾。
炔草酯的作用机理与特点是乙酰辅酶A羧化酶抑制剂,内吸传导性除草剂,药物经由植物体的叶片和叶鞘吸收,韧皮部传导,积累于植物体的分生组织内,抑制乙酰辅酶A羧化酶,使脂肪酸合成停止,细胞的生长分裂不能正常进行,膜系统等含脂结构破坏,最后导致植物死亡。从炔草酯被吸收到杂草死亡比较缓慢,一般需要1~3周。
炔草酯的主流制剂剂型为8%、15%、20%、30%水乳剂,15%、24%微乳剂,15%、20%可湿性粉剂,8%、14%可分散油悬浮剂,24%乳油。
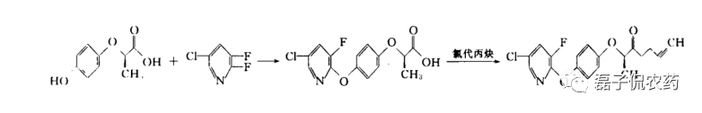
合成工艺:

首先由α-氯丙酸与对苯二酚反应制的(R)-2-(对羟基苯氧基)丙酸, 再加入5-氯-2 , 3-二氟吡啶醚化 ,不分离的情况下再与氯丙炔反应得到炔草酯,经结晶后产品含量达 97 %~ 98 %,总收率达 85 %。
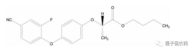
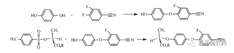
2.氰氟草酯(Cyhalofop- butyl )
氰氟草酯是美国陶氏益农公司于 1987 年开发生产的一种水稻专用除草剂,也是芳氧苯氧羧酸类除草剂中唯一对水稻具有高度安全的品种。1998 年美国陶氏益农公司在我国首家登记了氰氟草酯原药。2006年专利到期,国内开始陆续登记,2007 年国内企业(上海生农生化制品有限公司)首次登记。
陶氏的商品名为千金(Clincher),化学名为(R)-2-[4-(4- 氰基-2- 氟苯氧基)苯氧基]丙酸丁酯.

近年来在中国市场大火的美国陶氏益农的千金( 有效成分: 10% 氰氟草酯乳油) 、稻喜( 60g/L 氰氟草酯 + 五氟磺草胺) ,由于其高效安全,占据了我国水稻田除草剂的主流市场。
氰氟草酯和其他芳氧苯氧羧酸类除草剂类似,是脂肪酸合成抑制剂,抑制乙酰辅酶A羧化酶(ACCase)。主要通过叶面吸收,没有土壤活性。氰氟草酯具有内吸性,通过植物组织迅速吸收。药剂处理后,禾本科杂草立即停止生长,2~7天内出现黄化现象,2~3周内整株植物坏死和死亡。
氰氟草酯苗后施用防除水稻田禾本科杂草,热带水稻用药量为75~100g/hm2,温带水稻用药量为180~310g/hm2。其对稗属、千金子、看麦娘、小糠草、马唐、狗尾草、糠稷、心叶黍、狼尾草、玉蜀黍、牛筋草等高效。
以15%氰氟草酯乳油的使用为例,于水稻秧田稗草1.5-2.5叶期,水稻直播田千金子2-3叶期,茎叶喷雾处理,细雾均匀喷洒。施药前排水,使杂草茎叶2/3以上露出水面,施药后24小时至72小时内灌水,保持3-5厘米水层5-7天。每个水稻生长期至多使用一次。但需要注意的是该药对水生节肢动物毒性大,避免流入水产养殖场所。其与部分阔叶除草剂混用时有可能会表现出拮抗作用,表现为氰氟草酯药效降低。
其主要剂型是:氰氟草酯乳油(10%、15%、20%、30%、100g/L)、氰氟草酯可湿性粉剂(20%)、氰氟草酯水乳剂(10%、15%、20%、25%、30%、40%)、氰氟草酯微乳剂(10%、15%、250g/L)、氰氟草酯油悬浮剂(10%、20%、30%、40%)、氰氟草酯可分散油悬浮剂(5%、10%、15%、20%、30%、40%);复配剂包括与精噁唑禾草灵、五氟磺草胺、吡嘧磺隆、双草醚等的复配。
合成工艺:
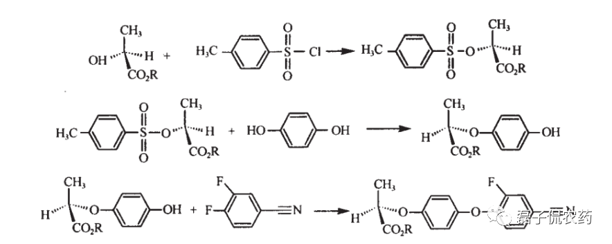
(1)主要合成工艺是以(S)- 乳酸甲酯为起始原料,经三步反应合成氰氟乙酯((R)-2-[4-(4- 氰基 -2- 氟苯氧基)苯氧基]丙酸乙酯,再经水解和酯化反应生成氰氟草酯。

(2)对苯二酚与 3, 4- 二氟苯腈反应得到 3- 氟- 4- ( 4- 羟基苯氧基) 苯腈, 然后和 ( S) - 对甲苯磺酰乳酸酯反应生成氰氟草酯。

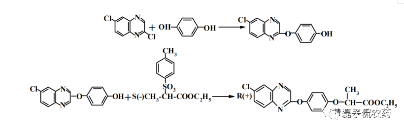
3.精喹禾灵(quizalofop-p-ethyl)
精喹禾灵,又名精禾草克,是由日本日产化学工业公司开发的芳氧苯氧丙酸酯类除草剂。1998年我国首次登记精喹禾灵原药,其化学名称为(R)-2-[4-(6-氯喹喔啉-2-基氧基)]丙酸乙酯,其结构式为:

精喹禾灵是典型的旋光异构体,其源自日产化学1983年研发的喹禾灵,精喹禾灵为喹禾灵(quizalofop-p-ethyl)的R 体,R体对水稻与稗草的抑制活性分别比S体高430倍和65倍.
精喹禾灵是一种具备高度选择性的旱田茎叶处理剂,为乙酰辅酶A羧化酶(ACCase)抑制剂,其在禾本科杂草及双子叶作物间有高度的选择性,适用对象与喹禾灵类似,对阔叶作物田的禾本科杂草有很好的防效。精喹禾灵为低毒除草剂,对环境安全。适用于大豆、甜菜、油菜、棉花、花生、阔叶蔬菜等多种作物及果树等,主要用于防治野燕麦、稗草、狗尾草、金狗尾草、马唐、野黍、牛筋草、看麦娘、画眉草、千金子等一年生和多年生禾本科杂草。
其作用机制也与喹禾灵类似,通过杂草茎叶吸收,在植物体内向上和向下双向传导,积累在顶端及居间分生组织,抑制细胞脂肪酸合成,使杂草坏死。精喹禾灵与喹禾灵相比,提高了被植物吸收性和在植株内的移动性,所以作用速度更快。
使用方法以5%精喹禾灵乳油为例,防除一年生禾本科杂草,在杂草3至6片叶时,进行茎叶喷雾处理。防除多年生禾本科杂草,在杂草4至6片叶时,进行茎叶喷雾处理。
合成工艺
以2,6-二氯喹恶啉为中间体与对苯二酚反应,得到中间体 6-氯-2-(4-羟基苯氧基)喹啉,然后将 S(-)对甲苯磺酰基乳酸乙酯和 6-氯-2-(4-羟基苯氧基)喹啉反应,合成精喹禾灵。

4.精噁唑禾草灵(fenoxaprop-p-ethyl)
精噁唑禾草灵商品名为“彪马”,是拜耳公司的产品,1984年,赫司特(现拜耳)公司上市了噁唑禾草灵。随后在其基础上开发了精噁唑禾草灵,并于1993年在中国首次登记,首次登记在油菜、花生、大豆、棉花等旱地阔叶作物,用于防除一年生禾本科杂草。其化学名为:(R)-2-[4-(6-氯-2-苯并噁唑氧基)苯氧基]丙酸乙酯。

由于精噁唑禾草灵具有植物毒性,但在加入安全剂后,作物根系中明显减少,降解加快,大大降低药害的风险。1998年由德国拜耳公司开发加入安全剂(吡唑解草酯,解草唑等), 登记在春小麦和冬小麦上防除一年生杂草。 21 世纪初,该有效成分原药和制剂开始国产化生产, 现已在生产上大面积推广应用,用于旱地禾本科杂草防除效果良好。
精噁唑禾草灵也具有旋光活性,有效成分中包括非活性部分(S体)的精制 (R体),属选择性、内吸传导型苗后茎叶处理剂。有效成分被茎叶吸收后传导到叶基、节间分生组织、根的生长点,迅速转变成苯氧基的游离酸,抑制脂肪酸进行生物合成,损坏杂草生长点、分生组织,作用迅速,施药后2~3天内停止生 长,5~7天心叶失绿变紫色,分生组织变褐,然后分蘖基部坏死,叶片变紫逐渐枯死。具有高选择性的特点。
适于双子叶作物如大豆、花生、油菜、棉花、甜菜、亚麻、马铃薯、蔬菜田及桑果园等田中防除单子叶杂草。加入安全剂Hoe070542后适于小麦田防除禾本科杂草。应用以大豆田为例:在大豆2~3片复叶、禾本科杂草2叶期至分蘖期,精噁唑禾草灵加水稀释喷雾(6.9%精噁唑禾草灵浓乳剂50~70毫升兑水20-30L),防除一年生禾本科杂草药效显著,对大豆安全。
需要注意的是精噁唑禾草灵对水生生物毒性较强,使用时需要注意保护措施,另注意精恶唑禾草灵在水环境下活性较高,容易对水稻产生影响,因此用药时一定要注意对水稻龄期及用药量的把握。
化学合成:
(1)4-(6-氯苯并恶唑-2-基氧)苯酚与R-2-(4-甲基苯磺酸基)丙酸乙酯反应制备

(2)2,6—二氯苯并恶唑与 R-对羟基苯氧基丙酸乙酯或 2, 6-二氯苯并恶唑与 R-对羟基苯氧基丙酸及乙醇反应制备。

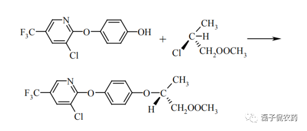
5.高效氟吡甲禾灵(haloxyfop-P-methyl)
高效氟吡甲禾灵是美国陶氏益农公司开发的芳氧苯氧丙酸类除草剂,又叫高效盖草能,化学名为(R)-2-[4-(3-氯-5-三氟甲基-2-吡啶氧基)苯氧基]丙酸甲酯,
由于氟吡甲禾灵结构中丙酸a-碳为不对称碳原子,故存在R和S两种光学异构体,其中S体除草活性的除草活性相对于R构体偏低,一般R构体成为"高效"或"精"。对从出苗到分蘖、抽穗初期的一年生和多年生禾本科杂草有很好的防除效果,对阔叶草和莎草无效。对阔叶作物安全。
杂草在吸收药剂后很快停止生长,幼嫩组织和生长旺盛的组织首先受抑制。施药后48小时可观察到杂草的受害症状。首先是芽和节等分生组织部位开始变褐,然后心叶逐渐变紫、变黄、直到全株枯死。老叶表现症状稍晚,在枯萎前先变紫、橙或红。从施药到杂草死亡一般需6~10天。但是在低剂量、杂草较大或干旱条件下,杂草有时不会完全死亡,仍然会表现出用药的症状。
用于大豆、棉花、花生、油菜及甘蓝等阔叶作物田防除看麦娘、稗草、马唐、狗尾草、牛筋草、野燕麦等禾本科杂草,对阔叶作物高度安全。一般情况下,从禾本科杂草出苗到抽穗都可以施药。在杂草3~5叶,生长旺盛时施药最好,此时杂草对高效盖草能最为敏感,且杂草地上部分较大,易接受到较多雾滴。在杂草叶龄较大时,适当加大药量也可达到很好防效。应尽量在禾本科杂草出齐后用药。
合成工艺:
高效氟吡甲禾灵合成有先醚化和后醚化两种方法。
先醚化是采用对苯二酚先与2,3-二氯-5-三氟甲基吡啶反应得到2-(4-羟基苯氧基)-3-氯-5-三氟甲基吡啶,再与具有光学异构的氯代或含甲基磺酰基的丙酸甲酯反应得到高效氟吡甲禾灵。

后醚化方法是先得到(R)-(+)-2-(4-羟基苯氧基)丙酸甲酯,再与2,3-二氯-5-三氟甲基吡啶反应得到目标产物。
