氟唑环菌胺(sedaxane)是先正达2002年研发的吡唑酰胺类(或苯酰胺)杀菌剂,其具有保护、治疗、内吸、传导等作用,全球范围内被开发用于防治多种作物苗期和成熟期的土传及种传病害。其中国专利期已于2023年2月届满。
英文名称:sedaxane
中文名称:氟唑环菌胺
化学名称:rac-N-{2-[(1R,2S)-1,1′-二(环丙)]-2-基苯基}-3-(二氟甲基)-1-甲基-1H-吡唑-4-甲酰胺 与其 rac-(1R,2R)-异构体的混合物
分子式:C18H19F2N3O
相对分子质量:331.360
CAS登陆号:874967-67-6. 599194-51-1(一对顺式异构体), 599197-38-3(一对反式异构体)
结构式:

三维结构式:

理化性质:白色固体,密度1.23g/cm3(25℃),Kow logP(pH 7,20℃)=3.3,蒸气压6.5×10-5 mPa(25℃),熔点121.4℃,沸点>270℃。溶解度:纯水中为670,1380(pH5),570(pH7),550(pH9)(20℃,mg/L);丙酮410,二氯甲烷500,乙酸乙酯200,己烷0.41,甲醇110,辛醇20,甲苯70(20℃,mg/L)。稳定性:氮气或空气中稳定,铝、铁、乙酸铝及乙酸铁条件下稳定。水解:50℃,pH4、5、7及9时至少5天水解稳定,25℃,pH5、7及9时至少30天水解稳定。
氟唑环菌胺属于SDHI抑制剂类杀菌剂,通过作用于细菌体内连接氧化磷酸化与电子传递的枢纽之一琥珀酸脱氢酶,导致三羧酸循环障碍,阻碍其能量的代谢,进而抑制病原菌的生长,导致其死亡,从而达到防治病害的目的。
氟唑环菌胺可从种子渗透到周围的土壤,从而对种子、根系和基茎部形成一个保护圈,在不同土壤类型中的移动性都较好,可以均匀分布于作物根系。氟唑环菌胺对多种土传和种传真菌病害具有良好的防效,由于该类除草剂作用位点单一,开发应用应注意进行抗性管理。
应用作物:小麦、大麦、燕麦、黑麦、大豆、油菜、水稻、马铃薯、玉米以及药材等
防治病害:马铃薯黑痣病、小麦纹枯病、水稻纹枯病、油菜菌核病、小麦散黑穗病、玉米小斑病等
常见剂型:44 %氟唑环菌胺SC、可与咯菌腈、苯醚甲环唑、精甲霜灵制成混配制剂
试验表明:44%氟唑环菌胺种子处理悬浮剂对玉米丝黑穗病有较好的防治效果;在玉米播种前,将45 g(有效成分)药剂与100 kg种子进行包衣处理,晾干后播种,防治效果最佳。
国内登记情况
先正达在氟唑环菌胺的复配方面进行了深入的布局,与目前主流的防治土传病害的三唑类、吡咯类、苯并咪唑类杀菌剂都做了复配。如图



化合物专利
专利名称:邻环丙基-N-甲酰苯胺及其作为杀菌剂的用途
申请号:CN03805172.9
申请日:2003年02月21日
首次公开日:2005年07月13日
申请人:辛根塔参与股份公司
当前专利权人:辛根塔参与股份公司
发明人:J.埃伦福里安德 H.托伯勒 H.沃尔特
其他形式的申请号: CN03805172 ; CN03805172.9 ; CN038051729 ; CN20038005172
失效日:2023年02月21日
其他国家专利:WO03074491A1、DK1480955T3、EP1480955A1、CA2477931A1、JP2005532271A、BR0308230A、EP1829865A2、ES2288597T3、RU2004129580A、US2005221989A1、IN2361DELNP2004A、FR12C0019I1
制备专利:
申请号:CN200680042474.6
申请日:2006.11.13
公开号:CN101309907A
公开日:2008.11.19
公告号:CN101309907B
公告日:2011.06.22
申请人:先正达参股股份有限公司
当前权利人:先正达参股股份有限公司
发明人:H·沃尔特 C·科西 J·艾伦弗兰德 H·托布勒
其他国家专利:EA200801332A1、AU2006314825A1、BRPI0618545A2、CA2627365A1、KR20080068713A、DE602006008976D1、EP1951677A1、ES2330890T3、JP2009515843A、WO2007057140A1、US2008262242A1、UA88992C2、IN3776DELNP2008A
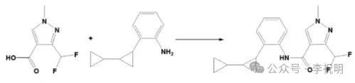
根据先正达制备专利描述,参看氟唑菌酰胺和吡唑酰胺类杀菌剂的制备可知,氟唑环菌胺的合成由吡唑酰胺类杀菌剂公用中间体1-甲基-3-二氟甲基-1H-吡唑-4-甲酸与2-(双环丙基)苯胺进行酰胺化合成,路线如下:
路线一:

合成设计主要中间体1-甲基-3-二氟甲基-1H-吡唑-4-甲酸和2-(双环丙基)苯胺的合成,由于1-甲基-3-二氟甲基-1H-吡唑-4-甲酸是吡唑酰胺类杀菌剂,氟吡菌胺、氟唑菌酰胺等的共用中间体,很多文献文献和本公众号已有描述,不过多赘述;2-(双环丙基)苯胺的制备在专利CN101124194B中描述了该中间体的合成路线,路线如下:

路线二:江苏百康德在专利CN114835644A中描述了氟唑环菌胺的合成路线,即以2‑联环丙基卤苯为起始底物,经由格氏化、硼酸化、C‑N偶联三步反应得到产物氟唑环菌胺。合成路线如下:

氟唑环菌胺+啶氧菌酯:该组合相比于单剂有明显的增效作用,同时还能提高作物的产量,增强药剂的渗透性和持效期,可用于小麦、大麦、燕麦、黑麦、大豆和油菜防治多种真菌性病害。
氟唑环菌胺+种菌唑/腈菌唑:该组合适合多种作物,具有明显的增效作用,扩大了啥菌谱,对黑穗 病、白粉病、纹枯病、锈病、黑腥病、网斑病、根腐病、立枯病、恶苗病、稻瘟病等都具有很好的防效。
氟唑环菌胺+多菌灵+福美双:该组合针对多种作物上的叶霉病、叶腐病、绿霉病、青霉病、白粉病、黑穗病、黑斑病、 立枯病、根腐病都有很好的防效。
氟唑环菌胺+氟虫腈+咯菌腈:该组合对多种植物中的真菌性病害和虫害都有很好的防效,如黑穗病、稻瘟病、恶苗病、根腐病、灰霉病、菌核病、枯萎病、立枯病、纹枯病、全蚀病、颖枯病、网斑病、青枯病、猝倒病、炭疽病、疮痂病、褐斑病,以及金针虫、蚜虫、叶蝉、粉虱、飞虱、蓟马、介壳虫、梨木虱、象甲、螟虫等。
国内特别是谷物市场,目前种子处理杀菌剂的主要品种为三唑类、吡咯类、苯并咪唑类杀菌剂复配,产品竞争激烈,大量常年的使用也使的部分地区出现抗性,价格竞争也让厂家和经销商没有利润,为了压缩成本,市场上种子处理剂良莠不齐,市场急需新的高效、广谱的种子处理剂,氟唑环菌胺对多种土传和种传真菌病害具有良好的防效,可用于水稻、马铃薯、玉米、麦类等作物种子处理,同时可促进植物生长。先正达在国内推广的氟唑环菌胺的复配产品,由于在专利期内,大田种植户在使用时要考虑成本,随着专利的到期和市场竞争的加剧,氟唑环菌胺的价格有望下降,届时氟唑环菌胺将会有很好的推广市场,同时应注重其复配产品的开发,其复配制剂在经作区作为种子处理或土壤处理也有不错的开发空间。