提示
×
取消
确定
当前位置:首页 > 专利专论
新型有机磷类除草剂——氯酰草膦
来源:李祝明   发布时间:2024-11-06 09:29
简述
氯酰草膦(clacyfos)是由华中师范大学创制的具有膦酸酯结构类型的有机磷类除草剂,从结构上看可看作其是在2,4-D基础上设计得到的。氯酰草膦具有内吸传导性好、除草速度快、漂移性差、持效期长、杀草谱广等优点,可广泛应用于防除水稻、玉米、小麦、草坪、果园和茶园的阔叶杂草及莎草科杂草。

氯酰草膦(clacyfos)是由华中师范大学创制的具有膦酸酯结构类型的有机磷类除草剂,从结构上看可看作其是在2,4-D基础上设计得到的。氯酰草膦具有内吸传导性好、除草速度快、漂移性差、持效期长、杀草谱广等优点,可广泛应用于防除水稻、玉米、小麦、草坪、果园和茶园的阔叶杂草及莎草科杂草。氯酰草膦曾在2007年由山东侨昌化学获中国农药临时登记,目前该登记证件已过有效期。


图片


01 产品简介

英文名称:clacyfos 
中文名称:氯酰草膦 
化学名称:rac-(1R)-1-二甲氧基磷酰基-2-(2,4-二氯苯氧基)乙酸酯 或 O,O-二甲基-1-(二氯苯氧基乙酰氧基)乙基膦酸酯 
分子式:C12H15Cl2O6P 
相对分子质量:357.124 
CAS登录号:215655-76-8
结构式:

图片


三维结构式:

图片


理化性质:原药为淡黄色液体。密度 1.371 (g/cm3,25 ℃)。溶解度(g/L,25℃):水 0.97、己烷 4.31,与丙酮、乙醇、三氯甲烷、甲苯、二甲苯混溶。常温下对光热稳定,在一定的酸碱强度下易分解。

02 作用机理

氯酰草膦为丙酮酸脱氢酶(PCHd)抑制剂,氯酰草膦通过抑制植物体内丙酮酸脱氢酶的活性,从而影响连接糖的有氧氧化、三羧酸循环和氧化磷酸化的进行,从而导致丙酮酸脱羧形成乙酰辅酶A的过程受阻,影响植物正常代谢,导致死亡。

氯酰草膦也是首个具有实用价值的植物PDHc抑制剂类除草剂。

03 应用

应用作物:小麦、水稻、玉米、草坪、苜蓿、果园、茶园、非耕地等

杀草谱:氯酰草膦对大部分的双子叶一年生阔叶杂草都有效,包括但不限于反枝苋、铁苋菜、苘麻、藜、蓼、马齿苋、繁缕、苦荬菜、苍耳、芥菜、牵牛花、水苋菜、鸭舌草、甘蓝、醴肠等多种阔叶杂草以及蕨类杂草、莎草科杂草、以及杂灌等。

图片


常见剂型:30%氯酰草膦EC

应用技术:

草坪:使用药量为有效成分405~540g/hm2(折成30%乳油商品量为90~120 g/667m2)。于草坪(高羊茅)中的杂草2~4叶期茎叶喷雾。对一年生阔叶杂草,如反枝苋、铁苋菜、苘麻等有较好的防效。对草坪(高羊茅)安全。

玉米:在玉米苗后,使用有效量225-375g/hm2,茎叶喷雾,对阔叶杂草反枝苋、马齿苋、铁苋菜、田旋花等均有好的防效。

小麦:对冬小麦田,使用有效成分用量20~30克/亩推荐剂量下,对繁缕、雀舌草、碎米荠有较好的防除效果。

水稻:在有效含量10-50克/亩剂量下,对耳叶水苋、陌上菜、碎米莎草、鸭舌草、节节菜、丁香蓼都有较好的防效,对水稻安全。

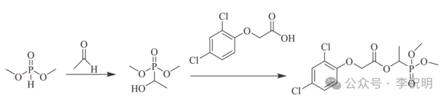
04 合成路线

将羟基膦酸酯和第一有机溶剂混合后,依次加入缚酸剂和催化剂,搅拌并调节温度到-50-70摄氏度,滴加2,4-二氯苯氧乙酰氯到反应液中,控制温度在-50-70摄氏度,搅拌0.5-6小时。反应结束后,加入水,搅拌0.5-1小时后,静置0.5-1小时,分离出水相和有机相;将有机相脱溶旋干,得到氯酰草膦。

图片


05 前景展望

自从转基因作物特别是抗草甘膦、草铵膦作物的推广,选择性除草剂的市场有所降低,推测国内近两年内也将逐渐放开转基因作物的种植,届时对选择性除草剂市场将会带来严重的冲击,加上这两年农化市场受国际局势和产能过剩的影响,导致行情下行,全球范围内大的农药公司对除草剂的研发投入大幅降低,研发新的化合物,在推广和使用成本上不符合研发企业和种植户的根本利益。但根据对过去国外转基因技术二十多年的推广经验来看,杂草特别是对双草产生抗性的杂草品类在不断增长,双草在加大剂量的使用情况下,仍旧不能解决部分问题,同时杂草对于传统激素类、磺酰脲类除草剂的抗性也日趋严重,全新作用机制的除草剂的推广势在必行。氯酰草膦作为我国自主研发的具有全新作用机制的除草剂,无论是在使用和推广成本上,还是在使用效果以及环境友好性上,较传统2,4-D、草甘膦以及磺酰脲类激素类除草剂都具有明显的优势。即使在转基因作物种植区域仍旧可以作为双草的重要补充来解决抗性杂草的问题,笔者认为未来在谷物市场,灭生性市场氯酰草膦具有很好的开发潜力。