提示
×
取消
确定
当前位置:首页 > 专利专论
磺酰脲类除草剂——甲基碘磺隆钠盐
来源:李祝明微信公众号   发布时间:2024-10-25 10:52
简述
甲基碘磺隆是1991年由安万特公司(现德国拜耳作物科学有限公司)开发的磺酰脲类谷物芽后除草剂。其在实际应用中,通常以酯或盐形式存在并发挥作用,即甲基碘磺隆甲酯(iodosulfuron-methyl)和甲基碘磺隆钠盐。

甲基碘磺隆是1991年由安万特公司(现德国拜耳作物科学有限公司)开发的磺酰脲类谷物芽后除草剂。其在实际应用中,通常以酯或盐形式存在并发挥作用,即甲基碘磺隆甲酯(iodosulfuron-methyl)和甲基碘磺隆钠盐。目前市场上常见的大多为其钠盐,本文介绍主要为甲基碘磺隆钠盐为例。因碘的特殊化学特性加之碘取代中间体的成本较高,所以含碘化合物在农药中的开发和应用较少,目前国内登记的仅有辛酰碘苯腈和甲基碘磺隆钠盐,笔者所了解的也仅麦锈灵、碘磺隆等少数。目前甲基碘磺隆主要以出口为主,市场主要以澳大利亚、美洲以及欧洲市场为主,国内用量较少,国内制剂登记厂家仅江苏瑞邦和山东先达,山东先达登记玉米,国内并未推广。目前研究证明除了有除草活性外,甲基碘磺隆对部分疫霉菌也具有广谱抑菌作用,同时在未来甲基碘磺隆在构建抗磺酰脲类除草剂转基因作物方面,也存在一定的开发潜力。


01 产品简介

英文名称:iodosulfuron-methyl-sodium(D) 

中文名称:甲基碘磺隆钠盐 

其他名称:碘甲磺隆钠盐、使阔得

化学名称: ({[5-碘-2-(甲氧基羰基)苯基]磺酰基}氨基甲酰基)(4-甲氧基-6-甲基-1,3,5-三嗪-2-基)氮杂钠 

分子式:C14H13IN5NaO6S

相对分子质量:529.242

CAS登录号:144550-36-7

结构式:

图片


三维结构式:

图片


理化性质:甲基碘磺隆钠盐纯品为无嗅白色固体。其熔点为152℃,蒸气压6.7x10-4Pa (25℃),Henry常数2.29x10-11Pa·m3/mol(20℃),分配系数Kowlog P:1.07(pH5)、-0.70(pH7)、-1.22(pH9),水中溶解度(25℃,g/L):0.16(pH5)、25(pH7)、65(pH9),水解半哀期(20℃):31 d (pH5),光解半哀期约为50d。

02 作用机理

甲基碘磺隆钠盐是支链乳酸合成酶(ALS)抑制剂。通过抑制支链氨基酸缬氨酸、亮氨酸和异亮氨酸的生物合成,破坏蛋白质合成,从而干扰 DNA合成和细胞分裂与生长,最终导致植株死亡。其选择性源于它在谷物和杂草中的降解不同。碘甲磺隆钠盐单独使用时,对作物的损伤率为17%,但加入安全剂吡唑解草酯(mefenpyr-diethy1)后对作物无损伤。

03 应用

应用作物:玉米、小麦、大麦、水稻、草坪(狗牙根、结缕草)

杀草谱:野燕麦、稗草、千金、牛毛草、车前草、早熟禾、侧金盏花属、反枝苋、海绿、春黄菊属、野斗蓬草、拟南芥菜、芥菜、矢车菊、藜、田蓟、茸毛辣子草、猪殃殃、老鹳草属、向日葵、母菊属、苜蓿属、蓼、马齿苋、自芥、大爪草、繁缕、婆婆纳、草藤、巢菜、苍耳、节节菜、鸭舌草、鳢肠、野生油菜、齿果酸模、碎米荠、蛇床草、鼠麹草、羊蹄草、扬子毛菮等

常见剂型:10%甲基碘磺隆钠盐WDG、20%甲基碘磺隆钠盐WDG、2%甲基碘磺隆钠盐OD、3.6%甲基碘磺隆钠盐·甲基二磺隆WDG、6.25%甲基碘磺隆钠盐·酰嘧WDG

04 登记情况

目前国内登记的甲基碘磺隆钠盐主要以原药为主,制剂在有效期内的三家,分别为江苏激素(登记出口)、山东先达、江苏瑞邦。登记剂型为2%OD,10%WDG。

图片


05 合成路线

目前主流的甲基碘磺隆钠盐的合成路线主要有3条。

路线一:由2-乙酰氨基-4-碘苯甲酸,经水解等5步反应得到2-甲氧基羰基-5-碘苯磺酰基异氰酸酯,由该异氰酸酯和2-氨基-4-甲氧基-6-甲基均三嗪反应得到甲基碘磺隆,其钠盐可由甲基碘磺隆和氢氧化钠水溶液反应得。反应式如下:

图片


2-乙酰氨基-4-碘苯甲酸甲酯的合成:

图片


2-氨基-4-甲氧基-6-甲基均三嗪的合成:

图片


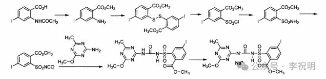
路线二:以对硝基甲苯为起始原料,经磺化等7步反应合成2-甲氧基羰基-5-碘基苯磺酰胺(中间体5),中间体5转化成异腈酸酯后与2-氨基-4-甲氧基-6-甲基均三嗪反应,得到甲基碘磺隆。

图片


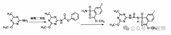
路线三:本路线仅最后一步合成甲基碘磺隆的反应与前两条路线有所不同,即先由2-氨基-4-甲氧基-6-甲基均三嗪和碳酸二苯酯反应,得到的中间体再和2-甲氧羰基-5-碘苯磺酰胺反应得到甲基碘磺隆。

图片


06 前景展望

虽然甲基碘磺隆钠盐早在2001年就上市销售,不能否定其较其他磺酰脲类除草剂相比具有低残留、对鱼、鸟、蚯蚓、蜜蜂等有益生物更加安全,对环境、生态的相容性安全性更高以及对部分抗性杂草如黑麦草、野麦草、猪秧秧、繁缕防效较好的特点,但其在国内推广过程中,确实也存在实际的问题,拿在麦田推广过程为例,其存在成本相对较高,推荐用量下对杂草的防效存在差异,使用技术较高,施用不当易造成黄化或矮化蹲苗现象,精恶唑禾草灵、唑啉草酯等产品的替代等问题,也造成甲基碘磺隆在国内麦田的推广一直没有打开局面。但在随着开发新化合物的难度和成本越来越高,作物转基因技术以及合成技术的发展等甲基碘磺隆有望再度受到农化市场的青睐。