氯吲哚酰肼(chloroinconazide)是2013年南开大学以骆驼蓬中分离出的β-咔啉生物碱为先导化合物研发的酰肼类杀菌剂、抗病毒剂,后由京博进行商业化开发。研究表明氯吲哚酰肼对苹果轮纹病菌,油菜菌核病菌,辣椒疫霉病菌,小麦纹枯病菌及黄瓜灰霉病菌等多种植物致病菌都有很好的抑制效果;对马铃薯病毒病及番茄黄化曲叶病毒病,烟草花叶病毒病均具有较好的防治效果,且具有保护和治疗双重功能。同时对感染病毒病的作物生长具有促进作用。
现阶段,由于对药物防治病毒病的靶标和机理的认识仍比较欠缺,真正高效的抗病毒病药物仍较少,因此研究和探讨氯吲哚酰肼对植物病毒病的防治及作用机制具有重要的科学意义和实用价值。
化学名称:(1Ξ,3S)-N'-[(E)-(4-氯亚苄基)]-2,3,4,9-四氢-1-甲基-1H-吡啶并[3,4-b]吲哚-3-甲酰肼
氯吲哚酰肼具体的作用机理并未明确,推测其具有多重作用机理。研究表明以烟草花叶病毒(TMV)为例,氯吲哚酰肼一方面改变病毒粒子的形态结构和增加抗氧化酶的活性,使TMV在侵染作物时减少诱导的活性氧(ROS)产生;另一方面氯吲哚酰肼处理植物后可以激活植物的水杨酸(SA)途径及乙烯(ET)途径,增强ET和SA应答基因表达,达到协同抗病毒TMV的效果。
研究表明:氯吲哚酰肼最佳抗病毒效果的药物浓度是400μg/mL;抗病毒效果的剂型表现为:悬浮剂>粉剂>乳油。
西南大学孙现超教授团队通过将氯吲哚酰肼包裹在海藻酸钠凝胶网络中,设计合成了增效纳米凝胶颗粒CHI@ALGNP,以进一步提高其抗病毒效果。
应用:根据目前的研究可知,氯吲哚酰肼具有杀菌活性、抗病毒活性,植物保健功能以及推测具有部分杀虫活性。
作抗病毒剂:可应用于防治包括但不限于烟草花叶病毒病、番茄黄化曲叶病毒病、辣椒病毒病、 水稻病毒病、番薯甘薯病毒病、马铃薯病毒病和瓜类病毒病及玉米矮花叶病毒病。
作杀菌剂:可用于防治黄瓜枯萎病、花生褐斑病、苹果轮纹病、 番茄早疫病、小麦赤霉病、马铃薯晚疫病、油菜菌核病、黄瓜灰霉病、水稻纹枯病、辣椒疫霉病、水稻恶苗病、小麦纹枯病、玉米小斑病和西瓜炭疽病等。
作除草剂安全剂:氯吲哚酰肼可作为烟嘧磺隆、唑草酮、氟磺胺草醚、精喹禾灵的安全剂,缓解或消除以上除草剂带来的作物药害。
近期,科研人员又发现了氯吲哚酰肼的几种新用途,比如使用10%氯吲哚酰肼悬浮剂对玉米种子进行拌种处理,可以有效提高玉米的发芽势,提高玉米产量。对小麦种子进行处理后,可以有效提高小麦种子的发芽率和发芽势,降低赤霉病,颖枯病,全蚀病的患病率。
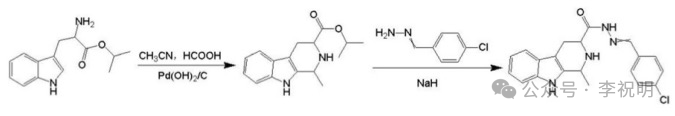
氯吲哚酰肼具有两个手性碳和一个C=C双键,具有四个手性异构体和一对顺反异构体,各异构体的都有活性。在论文J.Agric.Food Chem.2014,62, 9987‐9999公开了氯吲哚酰肼的合成方法,经过Pictet‐Spengle成环,酯化,酰胺化和Schiff Base反应四步制得氯吲哚酰肼,总收率为54%。专利CN104744460B公开了多条氯吲哚酰肼(化合物Ic-5)的合成路线,随路线不同会用到醛、硫酸、酰氯、氯化亚砜、水合肼、氢化铝锂、硼氢化钠等。京博农化在专利CN104744460B的基础上优化了氯吲哚酰肼的路线,采用色氨酸为起始原料进行合成,使得更适合大规模的工业化生产。路线如下:
路线一:




植物病毒病被称为“植物癌症”,其防治难度相对较大。首先病毒病的症状复杂多变,不同作物、不同病毒种类可能表现出不同的症状,给准确诊断带来困难。其次病毒病的传播途径复杂,可通过昆虫、土壤、种子等多种途径传播,增加了防治的难度。且目前并未有特效药能够直接治愈植物病毒病,一旦发生,大多只能采取控制病情蔓延的措施。虽然无特效药,但仍可以使用一些药剂来缓解症状或控制病情蔓延。目前市场上常见的主要有氨基寡糖素、香菇多糖、盐酸吗啉胍、辛菌胺、宁南霉素、乙酸酮、利巴韦林以及最近上市的毒氟磷。值得注意的是我国在防治病毒病的新药创制方面取得了很大的进展,甲噻诱胺、氯吲哚酰肼、菲啶毒清、病氰硝、噻唑呋林、吡唑呋喃菌素、香草硫缩病醚、氟苄硫缩病醚等一系列的在研抗病毒剂在未来将为我国在植物防治病毒病方面提供更加有效的解决方案。氯吲哚酰肼作为我国自主研发的一种新型农业用药,在植物病害防控和促进作物生长方面具有重要作用。随着研究的深入和技术的进步,其应用前景将更加广阔。