提示
×
取消
确定
当前位置:首页 > 专利专论
新型环己烯酮类除草剂——苯丙草酮
来源:李祝明微信公众号   发布时间:2024-09-25 09:48
简述
苯丙草酮(feproxydim)是山东先达农化以烯草酮为先导化合物,通过修饰其肟醚位,引入具有除草活性的环苯草酮肟醚结构,设计并合成的新型环己烯酮化合物。其结构与巴斯夫公司开发的同为环己烯酮结构的水田除草剂环苯草酮结构类似。

苯丙草酮(feproxydim)是山东先达农化以烯草酮为先导化合物,通过修饰其肟醚位,引入具有除草活性的环苯草酮肟醚结构,设计并合成的新型环己烯酮化合物。其结构与巴斯夫公司开发的同为环己烯酮结构的水田除草剂环苯草酮结构类似。先达农化苯丙草酮的推广可有效防除水稻田对ALS抑制剂、ACCase抑制剂(FOPs)、激素类除草剂产生抗性的禾本科杂草,为水稻田禾本科杂草的防控提供了新的思路,同时也标志着本土企业在农化领域的技术和产品创新能力取得了长足的发展。


图片


01 产品简介

英文名称:feproxydim(P) 

中文名称:苯丙草酮 

其他名称:氯苯醚烯禾啶、马稗克、垦胜

化学名称:2-[1-[[(2R)-2-(4-氯苯氧基)丙氧基]亚氨基]丁基]-5-[2-(乙硫基)丙基]-3-羟基-2-环己烯-1-酮 

CAS登记号:2839324-63-7, 2839324-65-9 ((2S)-异构体)

分子式:C24H34ClNO4S

相对分子质量:468.049 

结构式:

图片


三维结构式:

图片


02 作用机理

推测苯丙草酮也属于ACCase抑制剂。通过抑制乙酰辅酶A羧化酶(ACCase)的活性,从而阻止脂肪酸的合成。叶面施药后迅速被植株吸收和转移,在韧皮部转移到生长点,抑制新芽的生长,杂草先失绿,后变色枯死,一般2-3周内完全枯死。

03 应用

应用作物:水稻

靶标杂草:稗草、千金子、马唐、狗尾草、芦苇、稻李氏禾、双穗雀稗和牛筋草等

常见剂型:10%苯丙草酮EC、12.5%苯丙草酮·氰氟草酯EC,可与二氯喹啉酸、氯氟吡啶酯等开发复配制剂,不建议与苯达松混配。

04 合成路线

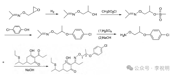
先达路线:以对氯苯酚为原料,经取代、还原、卤代、肟醚化、水解等5步反应制得0-[2-(4-氯苯氧基)丙基]-羟胺盐酸盐,0-[2-(4-氯苯氧基)丙基]-羟胺盐酸盐与5-2-(乙硫基)丙基]-3-羟基-2-丙酰基-2-环己烯-4-酮反应合成目标产物苯丙草酮。合成路线如下:

图片


改进路线:参考环苯草酮关于侧链部分的合成路线拟改进合成路线如下:

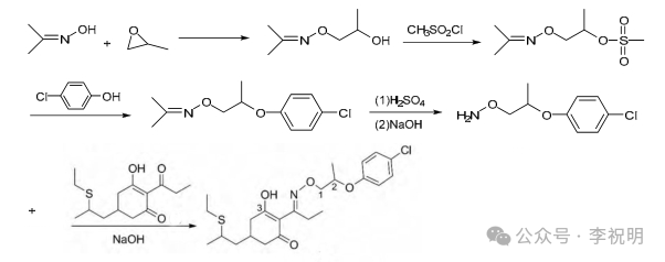
路线一:以环氧丙烷与丙酮肟为起始原料,甲醇钠提供的碱性条件下开环缩合得到丙-2-酮O-(2-羟丙基)肟,再与甲基磺酰氯发生酯化反应得到1-((丙-2-亚基氨基)氧基)丙烷-2-基甲磺酸酯,然后和对氯苯酚对接得到丙-2-酮O-(2-(4-氯苯氧基)丙基)肟,在硫酸作用下水解得到O-(2-(4-氯苯氧基)丙基)羟胺硫酸盐,然后与5-2-(乙硫基)丙基]-3-羟基-2-丙酰基-2-环己烯-4-酮反应合成目标产物苯丙草酮。该方法原料易得,操作简便。路线如下:

图片


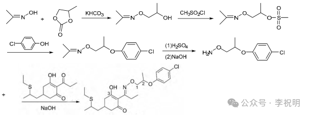
路线二:路线二和路线一的不同之处在于把原料环氧丙烷替换成了碳酸丙烯酯,以丙酮肟和碳酸丙烯酯为起始原料,碳酸氢钾做碱进行反应得到中间体,后续酯化、缩合、水解反应相同。该反应操作简便,易于进行,收率达90%,缺点是碳酸丙烯酯成本较高,且用量较大。

图片


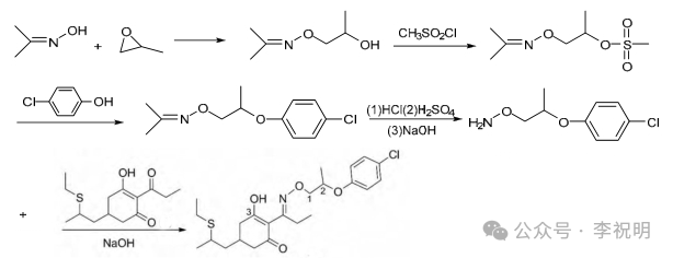
路线三:以丙-2-酮O-氧杂环丁烷-2-基甲基肟为原料,加氢开环合成丙-2-酮O-(2-羟丙基)肟,后续酯化、缩合、水解反应均与路线一相同。该方法中使用的原料来源较少。路线如下:

图片


路线四:在路线一的基础上进行改进,最后一步水解反应,先使用盐酸进行水解,然后用硫酸成盐。具体方法是反应过程中首先需要控制回流比蒸馏,蒸出主要含水和丙酮的液体,促进反应进行。反应完成后改变蒸馏条件,蒸出共沸的盐酸,剩余物再经碱化、萃取,最后和硫酸成盐。与路线一相比减少了酸性废水。合成路线如下:

图片


05 前景展望

苯丙草酮是目前国内唯一一个应用于水田的环己烯酮结构的除草剂,同目前水田使用的除草剂如氰氟草酯、噁唑酰草胺、五氟磺草胺、二氯喹啉酸等无交互抗性,且对难防杂草稗草、千金子、稻稗等具有很好的活性。目前先达已在国内外启动安全性和药效试验以及登记工作,苯丙草酮作为水稻田禾本科杂草防控的全新解决方案未来推广前景可期。