提示
×
取消
确定
当前位置:首页 > 专利专论
新型苯甲酰吡唑类除草剂——吡唑喹草酯
来源:李祝明微信公众号   发布时间:2024-10-09 09:37
简述
吡唑喹草酯(pyraquinate)是华中师范大学和山东先达农化联合研发的基于喹唑啉二酮结构的苯甲酰吡唑类除草剂,其在喹唑啉二酮母体结构的基础上引入吡唑基团,使得吡唑喹草酯具有更好的内吸传导性和速效性,同时在吡唑环的5-位上引入N,N-二乙基氨基甲酸基团使得吡唑喹草酯具有更高的生物活性和选择性。

吡唑喹草酯(pyraquinate)是华中师范大学和山东先达农化联合研发的基于喹唑啉二酮结构的苯甲酰吡唑类除草剂,其在喹唑啉二酮母体结构的基础上引入吡唑基团,使得吡唑喹草酯具有更好的内吸传导性和速效性,同时在吡唑环的5-位上引入N,N-二乙基氨基甲酸基团使得吡唑喹草酯具有更高的生物活性和选择性。作为水稻田HPPD抑制剂类除草剂,推测吡唑喹草酯上市后推广对标清原农冠同为苯甲酰吡唑类结构的除草剂三唑磺草酮。吡唑喹草酯和三唑磺草酮是我国完全自主知识产权的两个用于水稻田苗后茎叶处理防治禾本科杂草的HPPD抑制剂类除草剂,是我国优秀创新农化产品的代表。


图片


01 产品简介

英文名称:pyraquinate(P) 

中文名称:吡唑喹草酯 

商品名称:道清扬®

化学名称:4-[3-(3-氯苯基)-1,5-二甲基-2,4-二氧亚基-1,2,3,4-四氢(喹唑啉-6-羰基)]-1,3-二甲基-1H-吡唑-5-基 二乙基氨基甲酸酯 

分子式:C27H28ClN5O5

相对分子质量:537.995

CAS登录号:2378093-62-8

结构式:

图片


三维结构式:
 

图片


02 作用机理

吡唑喹草酯为全新HPPD抑制剂(吡唑酮类),通过抑制植物体控制光合作用关键色素酶的活性,使其底物转化为尿黑酸过程受阻,从而导致生育酚及质体醌无法正常合成,影响靶标体内类胡萝卜素合成,导致叶片发黄、发白,影响植物体内光合作用正常进行,最终彻底死亡。HPPD抑制剂可以通过3个途径(切断光合作用能量转换、抑制维生素合成、破坏对叶绿素的保护)导致杂草死亡。

03 应用

应用作物:水稻、小麦、玉米等

靶标杂草:稗草、千金子、双穗雀稗、狗尾草、马唐、稻李氏禾、水竹叶、野慈姑、泽泻、雨久花、鸭跖草、鸭舌草、萤蔺、异型莎草等。对抗性千金子特效。

常见剂型:5%吡唑喹草酯OD,可与氰氟草酯、二氯喹啉酸、噁唑酰草胺、五氟磺草胺、氯氟吡啶酯、异恶草松等开发复配制剂。

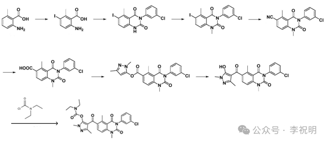
04 合成路线

以2-甲基-6-氨基苯甲酸为起始原料制备吡唑解草酯,合成路线如下

图片


05 前景展望

吡唑解草酯具有高效、低毒、低残留、活性高、内吸传导性好、除草速度快,对作物安全等特点,同时与现在主流的水稻田ALS抑制剂、ACCase抑制剂以及激素类除草剂无交互抗性,对以上除草剂产生抗性的杂草千金子、稗草、稻李氏禾等都有很好的防效,特别是对抗性千金子防效突出。另外开发公司山东先达拥有甲氧咪草烟、氰氟草酯、嘧啶肟草醚、双草醚、恶嗪草酮、异恶草松、灭草松以及苯丙草酮、2,4D-丁酸等完整全面的水稻杂草防治方案,同时先达团队在全球水稻市场深耕多年具有成熟的推广经验,据悉吡唑喹草酯已在东南亚、中亚、非洲、拉美等众多市场开展登记,未来吡唑喹草酯将为全球水稻种植者在苗后防治抗性杂草方面提供一种强大的新工具。