对于目前常见的玉米田除草剂,随着莠去津的逐步退出市场,环磺酮的全球销售额仍然会是逐年上升的趋势……
环磺酮,是拜耳于2007年研发成功的三酮类除草剂,试验代号AE 0172747。是在磺草酮基础上加入三氟乙氧基合成的新化合物,属于4-羟苯基丙酮酸双氧化酶(4-hydroxyphenyl- pyruvate dioxygenase,简称HPPD)抑制剂,环磺酮是最年轻的HPPD抑制剂除草剂。环磺酮2019年10月刚过中国专利期(2019年10日)。
中文通用名:环磺酮
英文通用名:tembotrione
CAS登录号:335104-84-2
化学名称:2-{2-氯-4-甲磺酰基-3-[(2,2,2-三氟乙氧基)甲基]苯甲酰基}环己烷-1,3-二酮。
理化性质
分子量:440.8;分子式:C17H16ClF3O6S;外观:米黄色粉末;熔点:123℃(纯度98.9%);蒸气压:1.1×10-5mPa(20℃);正辛醇/水分配系数:logP=-1.37(pH9.0,23℃),-1.09(pH 7.0,24 ℃), 2.16(pH 2.0,23℃);亨利常数:1.71×10-10Pa•m3•mol-1;密度:1.56(20℃);溶解性:水0.22(pH4),28.3(pH7)(克/升,20℃),二甲亚砜和二氯甲烷>600,丙酮300~600,乙酸乙酯180.2,甲苯75.7,己烷47.6,乙醇8.2(m克/升,20℃);pKa:3.2。
毒理学
急性经口LD50:大鼠>2000mg/kg;急性经皮LD50:大鼠>2000mg/kg;急性吸入毒性LC50:大鼠>5.03m克/升;制剂中度眼睛刺激性(兔),无皮肤刺激性(兔),EC列为皮肤致敏物,USA未列为皮肤致敏物;无作用剂量NOAEL雄性大鼠0.04mg/kgb.w.;ADI:急性参考剂量aRfD值为0.0008mg/kg,慢性参考剂量cRfD值为0.0004mg/kg;无致突变性,无致畸性,无致癌性。
作用机理
环磺酮主要用于玉米田,是芽后HPPD(对羟基苯基丙酮酸双氧化酶)抑制剂类除草剂,可阻断植株体内异戊二烯基醌的生物合成,引起失绿、褪色、组织坏死,最终在2周内死亡。
主要作物
环磺酮除草谱广、除草适期长,主要靶标玉米田芽后中晚期各种阔叶杂草与禾本科杂草,对蓟、田旋花、婆婆纳、辣子草、鼬瓣花和猪殃殃等防效优异,且对后茬作物无药害。在美国有大量的使用。
环磺酮使用为苗后茎叶处理,其特点是能杀灭对草甘膦、麦草畏及ALS抑制剂类除草剂产生抗性的杂草。此外,环磺酮还有较强的抗雨水冲涮能力,且可以在作物整个生长期均保持良好的除草活性而不会对下一茬作物造成危害。
环磺酮单剂的主要剂型为OD,环磺酮的主要复配产品有:双苯噁唑酸(商品名Laudis、Soberan)、双苯噁唑酸+特丁津(商品名LaudisPlus)噻酮磺隆(商品名Capreno)等。
环磺酮一般与安全剂双苯恶唑酸复配使用,可保护玉米免收紫外线伤害,具有广谱、作用快速的特性,且与环境具有高度相容性。
登记情况
环磺酮在国内尚无登记。以国外的登记情况作为参考,国际已登记剂型有:44克/升环磺酮可分散油悬浮剂、420克/升(34.5%)环磺酮悬浮剂、22.56%环磺酮·麦草畏二甘胺醇胺盐悬浮剂、413克/升(33.9%)环磺酮·噻酮磺隆悬浮剂等。
国内专利情况
国内目前在有效期内的环磺酮相关专利共17个,大部分专利均为环磺酮的复配专利。
合成工艺
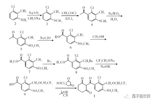
环磺酮的合成目前国内还没有详细的报道。目前文献上显示的是以3-氯-2-甲基苯胺为起始原料,在亚硝酸钠作用下与甲硫醇钠反应得到2-氯-6-甲巯基甲苯,而后与乙酰氯进行酰化和过氧化氢氧化得到2-氯-3-甲基-4-甲磺酰基苯乙酮。再经次氯酸钠氧化和甲醇酯化得到2-氯-3-甲基-4-甲磺酰基苯甲酸甲酯,经NBS溴化得到2-氯-3-溴甲基-4-甲磺酰基苯甲酸甲酯,而后经三氟乙醇醚化和水解得到最终产物2-氯-3-(2,2,2-三氟乙氧基)甲基-4-甲磺酰基苯甲酸。最后,在转位剂丙酮氰醇的作用下,与1,3-环己二酮反应得到目的产物环磺酮。

出口情况
环磺酮2019年10月刚过中国专利期(2019年10日),国内并未有出口。2016年,拜耳的环磺酮在玉米上的销售额为1.71亿美元,占其全球市场的81.3%;其在向日葵和非作物领域也有少量应用。拜耳环磺酮2018年的全球销售额为2.31亿美金,是拜耳的排名第三的除草剂品种。
环磺酮的主要市场依次为:巴西(0.96亿美元;占45.6%)、美国(0.22亿美元;占10.3%)、匈牙利、德国、法国、罗马尼亚、墨西哥、克罗地亚、荷兰、保加利亚、意大利、斯洛伐克、塞尔维亚、奥地利、南非、比利时、厄瓜多尔、智利、西班牙、捷克、加拿大、肯尼亚等。
总 结
环磺酮是由拜耳公司2007年研制的三酮类玉米田除草剂(HPPD抑制剂)新品种,其活性高于硝磺草酮,为苗后茎叶处理除草剂,可用于防除玉米田一年生禾本科杂草和阔叶杂草。该药剂在作物的整个生长期内均保持良好的除草活性,具有较强的抗雨水冲刷能力,且对作物(包括后茬作物)安全。环磺酮目前全球销售额每年都有大幅上升。对于目前常见的玉米田除草剂,随着莠去津的逐步退出市场,环磺酮的全球销售额仍然会是逐年上升的趋势。
来源:磊子侃农药