在昆虫中枢神经系统中,烟碱乙酰胆碱受体(nAChR)对介导突触传递起重要作用,一直是杀虫剂领域研究的重要作用靶标。自19世纪末烟草提取物烟碱作为天然杀虫剂被广泛使用,到20世纪90年代作用于烟碱乙酰胆碱受体的第一个合成杀虫剂吡虫啉问世,烟碱乙酰胆碱受体作为现代农药的生化靶标得到了不断的研究和开发。至今已有10多种作用于烟碱乙酰胆碱受体杀虫剂开发上市,成为对刺吸式口器害虫进行防治和抗性管理最有效的农药种类之一。
然而,作用于烟碱乙酰胆碱受体的杀虫剂(特别是竞争调节剂)多对蜜蜂等传粉昆虫的急性毒性较高(表1),具有较高的安全风险。欧盟、巴西、加拿大和法国等地区和国家先后出台了有关吡虫啉、噻虫嗪、噻虫胺、噻虫啉、氟吡呋喃酮和氟啶虫胺腈等品种的限用和禁用管理措施,使作用于烟碱乙酰胆碱受体的杀虫剂的发展受到了较大影响。与此同时,越来越多的靶标害虫对该类杀虫剂产生了抗药性,且有不断加重的趋势。开发对传粉昆虫低毒、对抗药性靶标害虫有效的作用于烟碱乙酰胆碱受体的新型杀虫剂具有重要的现实意义。
Flupyrimin是日本明治制果药业株式会社新开发的作用于烟碱乙酰胆碱受体的杀虫剂,代号ME5382。该品种对传粉昆虫相对安全,对半翅目、鳞翅目以及对吡虫啉等产生抗药性的害虫等多种害虫均有效,可广泛用于农业和非农领域,具有较大的市场潜力。本文从理化性质、毒性、作用机制、生物活性、代谢残留、产品合成与制剂应用等方面对flupyrimin 进行介绍。
表1 竞争调节烟碱乙酰胆碱受体的主要杀虫剂对蜜蜂的急性毒性
1 理化性质
Flupyrimin IUPAC 化学名称为N-[(E)-1-(6-氯-3-吡啶甲基)吡啶-2(1H)-亚基]-2,2,2-三氟乙酰胺,CAS登录号:1689566-03-7,分子式:C13H9ClF3N3O,相对分子质量:315.68。Flupyrimin可看成是吡虫啉、啶虫脒、烯啶虫胺、噻虫啉、氟吡呋喃酮、环氧虫啶(cycloxaprid)、哌虫啶(paichongding)和戊吡虫胍(guadipyr)等作用于烟碱乙酰胆碱受体的杀虫剂的衍生物,在保留后者特征基团2-氯-5-吡啶甲基(R)的同时引入N-[吡啶-2(1H)-亚基]三氟乙酰胺(R´)(图1)。值得注意的是,flupyrimin有效体的C=N双键为反式构型,与吡虫啉、啶虫脒和烯啶虫胺等的一致。

图1 作用于烟碱乙酰胆碱受体的flupyrimin及其他含R基团的杀虫剂
Flupyrimin为白色无臭味粉末固体(19℃),熔点156.6~157.1℃,沸点298.0℃,蒸气压<2.2×10-5 Pa(25℃)或<3.7×10-5 Pa(50℃),密度1.5 g/cm3(20℃),土壤吸附系数KFadsOC为32~92(25℃),油水分配系数logPow为1.68(25℃),水溶解度167 mg/L(20℃);水中稳定性DT50:5.54 d(25℃、pH 4)、228 d(25℃、pH 7)或4.35 d (25℃、pH 9),水中光解稳定性DT50:10.2 d(灭菌缓冲液、pH 6.97~6.99、25℃、22.2 W/m2、300~400 nm)或5.8 d(灭菌自然水、pH 7.48、25℃、22.2 W/m2、300~400 nm)。
2 毒性
2.1 哺乳动物毒性
Flupyrimin对哺乳动物的急性毒性较低,大鼠(雌性)急性经口毒性:300 mg/kg(体重)<LD50≤2,000 mg/kg(体重),大鼠急性经皮毒性LD50>2,000 mg/kg(体重),大鼠急性吸入毒性LC50>5 mg/L,对兔眼睛有轻微的刺激性,对兔皮肤无刺激性,对豚鼠皮肤无致敏性。此外,flupyrimin无致畸性和遗传毒性,每日允许摄入量(ADI)为0.011 mg/kg(体重),急性参考剂量(ArfD)为0.08 mg/kg(体重)。
2.2 生态毒性
Flupyrimin对生态相对安全:鲤鱼(Cyprinus carpio)LC50(96 h)>99,600 μg/L,大型溞(Daphnia magna)EC50 (48 h)>99,600 μg/L;绿藻(Raphidocelis subcapitata)ErC50 (72 h)为48,000 μg/L;摇蚊(Chironomus)幼虫EC50(48 h)为99 μg/L;蜜蜂(Apis mellifera)急性经口LD50(96 h) >53 μg/只,急性接触LC50 (96 h)>100 μg/只;欧洲熊蜂(Bombus terrestris)急性接触LC50 (96 h)>100 μg/只;角额壁蜂(Osmia cornifrons)急性接触LC50 (96 h)>100 μg/只。Flupyrimin 对鱼、大型溞和藻类等水生生物低毒,对摇蚊具有一定的抑制作用,对传粉昆虫相对安全,对蜜蜂的安全性优于吡虫啉、氟吡呋喃酮、氟啶虫胺腈和三氟苯嘧啶等竞争调节烟碱乙酰胆碱受体的其他杀虫剂(表1)。然而,flupyrimin对蜜蜂还是存在一定的急性经口毒性。
3 作用机制与生物活性
3.1 作用机制
与同类杀虫剂环氧虫啶和三氟苯嘧啶相同,flupyrimin对美洲大蠊的神经元烟碱乙酰胆碱受体具有拮抗作用,即同为烟碱乙酰胆碱受体拮抗剂。在家蝇体内与flupyrimin结合的烟碱乙酰胆碱亚型受体至少有2个,分别为烟碱乙酰胆碱受体激活剂吡虫啉的敏感亚型受体和不敏感亚型受体,这与三氟苯嘧啶结合的受体不同。由于在与受体的结合位点和作用方式等方面存在差异,flupyrimin对吡虫啉敏感和产生抗药性的害虫都有效。对大鼠大脑中的烟碱乙酰胆碱α4β2亚型受体的亲和性研究表明,flupyrimin对靶标害虫体内的烟碱乙酰胆碱受体具有选择活性,对非靶标动物安全。
结合flupyrimin的化学结构和生物化学特点,以及茎叶喷雾处理和土壤灌注施用后的杀虫效果,推测flupyrimin具有一定的触杀、胃毒、根部内吸和跨层传导活性,作用方式与吡虫啉相似。
3.2 生物活性
与吡虫啉等作用于烟碱乙酰胆碱受体的现有杀虫剂相似,flupyrimin具有广谱的杀虫活性。室内生测表明,flupyrimin对危害甘蓝、黄瓜、菜豆、水稻、小麦和苹果等作物的小菜蛾(Plutella xylostella)、甜菜夜蛾(Spodoptera litura)、黏虫(Mythimna separata)、豆蚜(Aphis fabae)、棉蚜(Aphis gossypii)、白粉虱(Trialeurodes vaporariorum)、灰飞虱(Laodelphax striatella)、褐飞虱(Nilaparvata lugens)、白背飞虱(Sogatella furcifera)、黑尾叶蝉(Nephotettix cincticeps)、稻负泥虫(Oulema oryzae)、稻水象甲(Lissorhoptrus oryzophilus)、西花蓟马(Frankliniella occidentalis)、赤须盲蝽(Trigonotylus caelestialium)、苹果小珀椿(Plautia crossota stali)和家蝇(Musca domestica)等多种害虫均具有不同程度的杀虫活性(表2)。然而,flupyrimin对二斑叶螨(Tetranychus urticae)无明显生物活性,也没有杀菌和除草活性。
表2 Flupyrimin对部分靶标害虫的杀虫活性(杀死率)

与吡虫啉相比,flupyrimin对西花蓟马、灰飞虱和黑尾叶蝉的杀虫活性大致与之相当,对家蝇、小菜蛾、褐飞虱、白背飞虱、负泥虫、赤须盲蝽的杀虫活性相对较高,但对棉蚜、豆蚜和白粉虱的杀虫活性相对较低(表3)。特别地,flupyrimin还对吡虫啉产生抗药性的稻飞虱显示出了高杀虫活性(表4)。
表3 Flupyrimin及对照药剂对相关靶标害虫的毒效


表4 Flupyrimin和吡虫啉对稻飞虱2龄幼虫的杀虫活性(6 d后的杀死率)
4 代谢残留
Flupyrimin在动、植物体内和环境中的代谢途径和产物有所不同。如图2所示,flupyrimin在动物体内主要代谢为1-(6-氯-3-吡啶基甲基)吡啶-2-(1H)-亚胺(代谢物A)和2-(6-氯烟酰胺)乙酸(代谢物B);在植物体内主要代谢为代谢物A和6-氯烟酸(代谢物C);而在土壤和水中则主要代谢为代谢物A。日本食品卫生审查委员会对flupyrimin及其代谢物在动、植物体内的残留进行了限定:flupyrimin和代谢物A和B在动物体内的残留均不得超过0.01 mg/kg,flupyrimin及代谢物A在植物体内的残留分别不得超过0.01 mg/kg和0.02 mg/kg。在日本最新确定的最大残留限定中,flupyrimin在糙米中的残留不得超过0.7 mg/kg。

图2 Flupyrimin在动植物体内、土壤和水中的代谢
Flupyrimin及其代谢物A和B在动、植物体内的残留量都可用液相色谱串联质谱仪(LC-MS/MS)进行测定,但前处理的方法有所不同。植物样品使用水溶胀后用丙酮-水(4∶1)混合溶液萃取,再用SAX柱和苯乙烯二乙烯基苯共聚物色谱柱进行纯化;动物样品则使用乙腈溶解后用乙腈-水(1∶1)混合物萃取,再使用HLB柱纯化、正己烷洗脱(动物脂肪样品在纯化前需先用正己烷洗涤)。
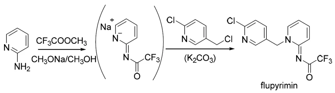
5 产品合成
Flupyrimin可以2-氨基吡啶和2-氯-5-氯甲基吡啶(R-Cl)2个吡啶衍生物为主要原料来合成。其中,2-氯-5-氯甲基吡啶为多个作用于烟碱乙酰胆碱受体的杀虫剂(图1)的共同中间体。最先报道的flupyrimin 的合成工艺路线见图3,2-氨基吡啶与无水三氟乙酸或三氟乙酸酐发生酰胺化反应得到2,2,2-三氟-N-(吡啶-2(H)-亚基)乙酰胺,后者再与2-氯-5-氯甲基吡啶发生N-烷基化反应得到粗产物,最后用乙醚重结晶得到成品。两步反应的收率分别为71%和66%,总收率仅为46.86%。为提高反应收率,日本明治制果药业株式会社还曾尝试在第1步反应中使用活性高且相对易控制的三氟乙酸酯作为酰胺化试剂,但过量酯和昂贵难回收极性溶剂的使用使得该工艺并不适合工业化生产。

图3 Flupyrimin的合成工艺路线
拜耳公司新开发的flupyrimin合成工艺专利在不改变主要原料和合成路线的前提下,对其合成工艺条件进行了优化,使其更适合工业化生产,如图4所示。该工艺第1步改用三氟乙酸甲酯为酰胺化试剂,甲醇钠-甲醇溶液为催化介质,从而使两步反应的总收率达到了83.9%(两步反应的收率分别为94.8%和88.5%),原药粗产物含量97.9%。同时,该专利还尝试了以2-氨基吡啶、2-氯-5-氯甲基吡啶和三氟乙酸甲酯为原料在甲醇钠-甲醇溶液中进行一锅合成,收率可达77.9%,原药粗产物含量96.9%。

图4 Flupyrimin的新合成工艺路线
6 制剂与应用
Flupyrimin微溶于水且可溶于有机溶剂,可制成可湿性粉剂(WP)、水分散颗粒剂(WG)、粉剂(DP)、乳油(EC)和颗粒剂(GR)等多种剂型的制剂产品。同时,flupyrimin的配伍性好,可与多种杀菌剂(噻菌灵、异噻菌胺、噻酰菌胺、噻呋酰胺、呋吡菌胺、戊菌隆、嘧菌酯、三环唑、双氯氰菌胺、tebufloquin、硅氟唑、井冈霉素、春雷霉素和肟醚菌胺等)、除草剂(唑吡嘧磺隆、唑草胺、氰氟草酯、杀草隆和吡唑特等)、兽药(伊维菌素和莫西菌素等)和杀虫剂复配或桶混使用。Flupyrimin与其他产品预混复配可制成多种制剂,如可与吡虫啉复配制成WP、WG、DP和EC等剂型,与醚菊酯、tebufloquin复配制成DP剂型,与噻菌灵、氯虫苯甲酰胺复配制成GR剂型。研究表明,flupyrimin与多种杀虫剂混用后施用,对水稻、黄瓜、甘蓝和菜豆上包含稻飞虱、二化螟、小菜蛾和西花蓟马在内的多种害虫具有显著的增效作用(表5)。
表5 与flupyrimin混用后增效的杀虫剂

目前,flupyrimin单剂及其与噻菌灵、多杀霉素和三环唑的复配制剂已在日本取得登记,用于水稻及其秧苗的多种刺吸式口器害虫的防治,可同时兼治二化螟、稻负泥虫和稻椿象等害虫,具体用法见表6。此外,flupyrimin在韩国和印度的登记也在进行中,爱利思达公司(Arysta)在2018年获得了该产品在印度的独家开发和销售权利。
表6 在日本登记的flupyrimin制剂产品及其使用方法


7 总结与展望
由日本明治制果药业株式会社新开发的作用于烟碱乙酰胆碱受体的杀虫剂flupyrimin对半翅目(棉蚜、白粉虱、飞虱、黑尾叶蝉、赤须盲蝽和小珀椿)、鳞翅目(小菜蛾和甜菜夜蛾)、鞘翅目(稻负泥虫和稻水象甲)、缨翅目(蓟马)和双翅目(家蝇)等多种类别的害虫都显示出了较好的生物活性,可用于水稻、小麦、蔬菜和水果以及非农领域的害虫防治。由于与吡虫啉和三氟苯嘧啶等作用于烟碱乙酰胆碱受体的杀虫剂在对靶标害虫的作用位点和作用方式上存在差异,flupyrimin对这些杀虫剂敏感和产生抗药性的稻飞虱等害虫均具有较高活性,同时对蜜蜂等传粉昆虫相对安全,有望为作用于烟碱乙酰胆碱受体杀虫剂的可持续发展注入新的活力,具有较好的市场前景。
Flupyrimin可用吡虫啉等作用于烟碱乙酰胆碱受体的多种杀虫剂的共同中间体2-氯-5-氯甲基吡啶来合成,其合成路线相对简单。该品种可制成多种不同类型的单一制剂或预混复配,茎叶喷雾或土壤灌注处理1次,即可实现对多种作物及其秧苗害虫的有效防治。目前flupyrimin仅被开发和登记用于水稻害虫防治,在其他农作物和非农领域的应用值得研究开发。同时,由于flupyrimin的主要受体与吡虫啉等类作用于烟碱乙酰胆碱受体杀虫剂的相同,且对蜜蜂还是存在一定的急性经口毒性,在其应用开发的过程中应注意延缓靶标害虫的抗性发展,避免对生态环境造成负面影响。
来源: 《世界农药》2021年第1期