新烟碱类杀虫剂是一类高效广谱的杀虫剂,通过与昆虫神经突触后膜上的烟碱型乙酰胆碱受体(n AChRs)作用,干扰昆虫神经系统的正常功能,进而达到杀虫的目的,对哺乳动物的毒性较低。拜耳公司于1991年推出了首款新烟碱类杀虫剂———吡虫啉,因其具有良好的生物选择性和内吸性,上市后迅速引起业界高度关注。
随后10年间,各大化学农药公司先后推出了烯啶虫胺、啶虫脒、噻虫嗪、噻虫啉、噻虫胺、呋虫胺等,新烟碱类杀虫剂约占据了全球杀虫剂市场总额的20%(图1)。然而,随着新烟碱类杀虫剂的频繁使用,害虫抗药性演化加剧,导致防控难度加大。此外,该类杀虫剂对蜜蜂等非靶标生物也有一定毒性,影响作物授粉和生态系统平衡。因此,新烟碱类杀虫剂的迭代备受关注。

图1 早期商业化的新烟碱类杀虫剂
针对上述问题,一方面需加大新型先导结构开发力度,另一方面基于已有杀虫剂结构进行衍生优化,开发迭代品种也是一种高效研究策略。为获得更大的化学修饰空间,可以在分子中引入手性中心。而不同手性异构体可能表现出截然不同的生物活性、毒性和环境代谢行为等,因此需要对分子的不同手性异构体进行系统研究。2002年,三井公司推出了呋喃取代的手性新烟碱类杀虫剂———呋虫胺。与S构型相比,R构型的呋虫胺除了具有高效杀虫活性外,还表现出更低的非靶标生物毒性。由此可见,手性农药研发是绿色、高效农药创制的重要组成部分,有助于推动农业绿色可持续发展。
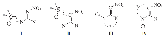
手性新烟碱类杀虫剂的结构可分为如下4类(图2):
N原子手性取代的结构Ⅰ
C原子手性取代的结构Ⅱ
N-N环系(咪唑烷环)手性取代的结构Ⅲ
C-N环系手性取代的结构Ⅳ

图2 手性新烟碱类杀虫活性化合物的结构
在新烟碱类杀虫剂的创制中,N原子的化学修饰是发现新型活性化合物的重要方法,通过在N原子上引入含有手性中心的取代基,筛选获得手性新烟碱类杀虫活性化合物。2021年,Olivares-Romero课题组以手性胺(化合物1)为原料,通过与硫代硝基亚胺(化合物2)的加成反应构建了系列手性新烟碱类化合物3;再经过后续的环化反应构建了噻虫嗪衍生手性化合物4(图3)。

图3 以手性胺为原料合成氮α-手性新烟碱类化合物
杀虫活性测试结果显示:环状手性化合物4对材小蠹(Xyleborus affinis)的活性普遍优于非环状化合物3;此外,R构型异构体的杀虫活性普遍高于S构型化合物。化合物对接结果显示,R构型的化合物与烟碱型乙酰胆碱受体存在着阳离子-π相互作用和氢键相互作用,这使得分子与蛋白的结合更加稳定,具有更高的生物活性。 2021年,该课题组基于L-脯氨酸合成了一系列手性新烟碱类化合物(图4)。

图4 以L-脯氨酸为原料合成手性新烟碱类化合物
在化合物6的脯氨酸N原子上引入苄基得到化合物(S)-6b,其杀虫(材小蠹)活性提高了60%。去掉N原子上的甲基获得化合物(S)-6c,其杀虫活性进一步提高到93%,显著高于商品药剂呋虫胺。分子对接模拟试验结果显示,相较于呋虫胺,化合物(S)-6c的硝基与受体具有更高的亲和力。神经毒性试验评估显示,(S)-6c的毒性比呋虫胺低了近40%。该团队后期也对此类化合物的R型异构体进行了合成和生物活性测试。结果显示,0.05 mol/L的(R)-6f对材小蠹的致死率达到了100%,高于传统的新烟碱类杀虫剂。计算模拟也证实了R构型的分子与受体之间存在着更强的π-π相互作用。由此可见,不同手性异构体的杀虫活性具有明显的差异,对手性新烟碱类化合物进行研究将有助于发现活性更高、毒性更低的新型杀虫活性候选化合物。由于受手性原料种类限制,目前所合成的N原子手性取代化合物结构较为单一。
除了合成上述N原子修饰的手性新烟碱类化合物之外,2024年,Chen等利用金属Ir和手性BINOL衍生的Carreira膦配体(S)-L1实现了烯丙醇对硝基亚胺的不对称烯丙基烷基化反应,成功基于C原子手性修饰合成了系列结构多样的手性烯烃取代的新烟碱类化合物9(图5)。

图5 C原子手性取代的新烟碱类杀虫活性化合物
反应过程中,过渡金属Ir首先与Carreira配体形成金属手性络合物,在布朗斯特酸的作用下活化烯丙醇产生烯丙基Ir手性中间体TS-1,然后通过对硝基烯酮亚胺的硝基邻位sp2碳进行加成(TS-2)获得目标手性化合物9。与从手性原料出发的合成方法相比,不对称催化的策略往往具有更高的底物普适性和原子经济性。杀虫活性测试结果显示,S构型的9f对蚜虫的半致死浓度(LC50)为6.40 mg/L,显著优于对应的外消旋体化合物,较商品药剂吡虫啉仍有优化提升空间。
2011年,Nishiwaki等基于吡虫啉结构,从手性氨基酸化合物10出发合成了N-N环系(咪唑烷环)手性取代的新烟碱类化合物13或14,并系统研究了其对家蝇的杀虫活性以及与乙酰胆碱受体的亲和力(图6)。结果表明,烷基取代R构型化合物的杀虫活性显著优于S构型的化合物。4位甲基取代的化合物(R)-13a对家蝇的半致死浓度(ED50)约为S构型异构体的1/5;5位甲基取代的化合物(R)-14a的ED50约为S构型异构体的1/4。当增加手性中心取代基位阻时,这种规律更加明显。例如,5位正丙基取代的化合物(R)-14b具有良好的杀虫活性,ED50仅为0.2 pmol/虫,杀虫活性是S构型的近200倍。5位异丁基取代时,R构型化合物(R)-14c的杀虫活性是S构型异构体化合物的100倍。分子对接计算模拟结果显示,咪唑烷环5位可以通过引入合适位阻的取代基来增强与烟碱型乙酰胆碱受体的氨基酸残基相互作用,进而改善分子的杀虫活性。

图6 咪唑烷环手性取代新烟碱类化合物
上述咪唑烷环手性取代的新烟碱类杀虫剂主要是基于吡虫啉分子结构衍生而来。华东理工大学钱旭红院士和李忠教授团队利用硝基亚胺化合物15的双亲核位点与二醛化合物16进行缩合反应,合成了系列含有氧桥并环结构的新烟碱类化合物17,并对豆蚜(Aphis craccivora)和粘虫(Mythimna separata)进行了杀虫活性测试(图7)。试验结果表明,化合物17e(环氧虫啶)具有优异的杀虫活性,对豆蚜和粘虫的致死率均达到100%(0.5 g/L),LC50分别为0.0047和0.0387 mmol/L,优于市售产品吡虫啉。值得注意的是,环氧虫啶对抗吡虫啉褐飞虱(Nilaparvata lugens)等害虫亦具有良好的防治效果(LC50=0.49 ng/虫),这也是我国在新烟碱类杀虫剂创制中的代表性品种。构效关系研究发现,将化合物17e中的氯代吡啶替换为其生物电子等排体氯代噻唑所合成的化合物17g仍具有优异的杀虫活性;当将氯代吡啶替换为苯环或者氯代苯时,杀虫活性明显降低,尤其是对粘虫基本失去了活性;将化合物17e的氧桥七元环扩大到八元环时(17f),杀虫活性也明显降低。因此,环系的大小和N原子取代基的种类对此类化合物的杀虫活性有着重要影响。Cheng等研究发现,环氧虫啶的不同对映异构体在油菜中的代谢行为存在明显差异,(5R,8S)对映异构体向植物顶部运输量显著高于(5S,8R)异构体;且代谢产物C9H10ClN3在(5R,8S)处理组中的占比为31.3%,显著高于(5S,8R)组的9.6%。

图7 环氧虫啶合成、活性及代谢行为
2010年,Tian等通过化合物18(吡虫啉)与α,β-不饱和醛化合物19的缩合反应合成了系列结构新颖的哌啶并环类新烟碱类化合物20,其对蚜虫具有良好的杀虫活性(图8)。当R基团为氢原子或甲基,R1基团为氢原子时,所合成的化合物20a和20b对蚜虫的致死率均在90%以上;将R1基团替换为甲基或者异丙基时,所获得的化合物20c和20d(哌虫啶)均能保持优异的杀虫活性。但是,当在R1基团中引入吸电性的三氟甲基或者烯烃时,化合物对蚜虫的活性则明显降低。由此可见,5位氧原子上的R1取代基位阻对化合物的杀虫活性影响相对较小,而取代基的电性对杀虫活性影响较大。筛选获得的高活性化合物20d(哌虫啶)也是目前我国自主研发的新烟碱类杀虫剂的代表性品种。

图8 哌啶并环类新烟碱类化合物
该团队后续利用手性脯氨酸衍生的小分子催化剂C1实现了上述新烟碱类化合物的不对称催化合成(图9)。首先手性催化剂C1与不饱和醛化合物22形成亚胺中间体TS-3;然后底物21硝基邻位的碳原子对中间体TS-3的4位进行亲核进攻形成手性中间体TS-4;最后再通过分子内的环化反应以40%~90%的产率和26%~95%的ee值得到含有手性哌啶的新烟碱类化合物23。化合物23c通过亲核取代反应能够以60%的ee值获得手性哌虫啶23f,对映选择性有待进一步提高。

图9 不对称催化合成哌虫啶衍生物
对映异构体的活性研究表明,(5R,7S)和(5S,7R)构型哌虫啶对苜蓿蚜的LC50分别为19.40、14.36mg/L,杀虫活性显著高于(5R,7R)和(5S,7S)异构体(LC50分别为288.14、50.09 mg/L),亦高于外消旋体哌虫啶(LC50为31.48 mg/L)。
同时,哌虫啶不同异构体之间的代谢行为也存在明显差异。2013年,Wang等[21]研究了哌虫啶异构体在小青菜中的吸收传导性。结果表明,哌虫啶在小青菜植株体内呈现向顶和向基双向传导,其中(5R,7R)和(5S,7S)构型的异构体转运量显著高于(5R,7S)和(5S,7R)构型;不同异构体在根部的吸收也具立体选择差异,施药144 h后,(5S,7R)和(5R,7S)构型异构体的根部吸收率为24.6%~28.8%,高于(5R,7R)和(5S,7S)异构体的根部吸收率近10个百分点。此外,哌虫啶的不同异构体在作物和土壤中的代谢行为也存在明显差异。因此,需要对活性分子的手性异构体进行系统研究,全面评估分子的构型稳定性、生物活性、生态毒理及环境归趋等特征。
新烟碱类杀虫剂是防治刺吸式口器害虫、小型鳞翅目和鞘翅目害虫的广谱高效杀虫剂。我国科研团队在新烟碱类杀虫剂创制中贡献了重要力量,开发上市了环氧虫啶、哌虫啶等高效杀虫剂品种,并且仍积极投身于新一代产品的研发创制中。新化学修饰和新结构衍生难免引入手性中心,而不同对映异构体的生物活性、毒性和环境代谢行为等往往存在差异,因此系统全面地开展手性新烟碱类杀虫剂的研究不仅有助于筛选新型杀虫活性候选化合物,还有望最大程度降低对非靶标生物的毒性以及对生态环境的影响,助力绿色农药创制。然而,开发手性新烟碱类杀虫剂面临一大问题:如何高效经济地实现手性合成。目前手性合成主要分为从手性原料出发合成和不对称催化合成。从手性原料出发合成的策略受原料种类的限制难以获得结构多样的手性化合物;相比而言,不对称催化合成不受手性原料种类限制,能够更加高效地构建结构新颖且丰富的手性化合物,具有良好的合成原子经济性。目前所开发的不对称催化合成方法还十分有限,且存在对映选择性不足、催化剂昂贵等问题,阻碍了手性杀虫剂的开发进程。
因此,手性新烟碱类杀虫剂乃至手性农药的创制需要在设计初期充分考虑手性合成难度的问题。这涉及2种方向性的研究思路:(1)从合成技术到农药创制,即有机合成技术驱动手性农药创制;(2)从农药创制到合成技术,即手性农药优势骨架导向手性合成技术开发。这2种策略都需要有机合成研究团队与农药创制研究团队的积极交叉联动,以基础科学创新推动农药产品创制,以农药应用需求导向基础学科创新。贵州大学绿色农药全国重点实验室宋宝安院士团队基于手性卡宾的催化策略高效助力了手性农药的筛选与开发,发现了多种结构新颖且具有良好生物活性的化合物,并且针对手性农药产业化问题开展了合成技术与工艺的研究。相信有机化学研究与新农药创制研究领域的交叉融合将为手性新烟碱类杀虫剂乃至手性农药创制注入强大的力量,手性农药也将迎来新的发展时代。
作者:兰献敏,穆博帅(中国农业科学院植物保护研究所 ,贵州省农业科学院植物保护研究所)