提示
×
取消
确定
当前位置:首页 > 新闻资讯
磺酰脲类除草剂嘧苯胺磺隆,国内尚未有复配产品登记
来源:农化专利网   发布时间:2022-04-27 08:28
简述
引言嘧苯胺磺隆 (orthosulfamuron)是由意大利意赛格(Isagro)公司于1998年报道,由意赛格和RiceCo公司共同开发的嘧啶磺酰脲类除草剂,苗前、苗后用于防除水稻田莎草与禾本科杂草。

引言


嘧苯胺磺隆 (orthosulfamuron)是由意大利意赛格(Isagro)公司于1998年报道,由意赛格和RiceCo公司共同开发的嘧啶磺酰脲类除草剂,苗前、苗后用于防除水稻田莎草与禾本科杂草。2007年首次在美国以商品名Strada获准登记并销售,用于水稻田除草;2012年在中国获得登记,用于防治水稻田中的稗草、莎草及阔叶杂草。其效果明显,性能优异,有很广阔的应用前景。

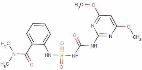
图片

嘧苯胺磺隆的结构式


作用机理


嘧苯胺磺隆属于磺酰脲类除草剂,通过抑制杂草的乙酰乳酸合成酶(ALs),阻止植物支链氨基酸的合成,从而阻止杂草蛋白质的合成,使杂草细胞分裂停止,最后杂草枯死。嘧苯胺磺隆可经杂草叶、根吸收,嘧苯胺磺隆在水稻移栽田使用,防除稗草、莎草、阔叶杂草及浮萍青苔特效、80-10g a.i./公顷,茎叶喷雾或撒施。


毒性


嘧苯胺磺隆原药大鼠急性经口、经皮LD50均>5000mg/kg;急性吸人LC50(4h)>2.190mg/L;对兔眼睛和皮肤无刺激性;豚鼠皮肤致敏试验结果为无致敏性;大鼠13周喂养亚慢性毒性试验最大无作用剂量:雄性为113mg/kg·d,雌性为131mg/kg·d;嘧苯胺磺隆50%水分散粒剂大鼠急性经口、经皮LD50均>5000mg/kg,急性吸入LC50(4h)>5.001mg/L;对兔眼睛和皮肤无刺激性:豚鼠皮肤致敏试验结果为无致敏性。嘧苯胺磺隆原药和50%水分散粒剂均为低毒除草剂。


用法


适宜作物与安全性:对水稻田稗草、莎草及阔叶杂草有较好的防效。在推荐的使用剂量下(150g a.i/hm2以下)对当茬水稻和水稻田主要后茬作物安全。


使用方法:最佳施药时期在水稻插秧后5-7d:使用方法为茎叶喷雾或毒土法。有效成分用药量为60-75g a.i./hm2(折成50%水分散粒剂商品量为120-150g/hm2或8-10g/667m2);每生长季施药1次;对低龄杂草防效较明显;在南方稻田使用,对水稻存在一定程度抑制和失绿现象,2周后可恢复。


登记


嘧苯胺磺隆由意大利赛格公司在我国首家登记,包括98%原药和50%水分散粒剂。


国内,杭州颖泰生物科技有限公司首先登记98%原药。随后,日本农药株式会社也获得98%原药和50%水分散粒剂。截至2022年4月26日,嘧苯胺磺隆登记共5个,其中原药登记3个,单剂2个,至今国内还未有复配型产品。


图片


应用


CN201410693115.3公开了一种含有嘧苯胺磺隆和嘧啶肟草醚的农药组合物,其包括活性成份嘧苯胺磺隆和嘧啶肟草醚,其余为农药助剂,嘧苯胺磺隆和嘧啶肟草醚的质量份数比为1:10~10:1,嘧苯胺磺隆和嘧啶肟草醚质量总和在农药组合物中的质量百分比为3%~92%;根据应用需要,本发明可制备成可分散油悬浮剂、悬浮剂、可湿性粉剂、水分散粒剂中的一种,用于防除移栽水稻田一年生杂草;本发明农药组合物防除移栽水稻田一年生杂草效果明显优于各单剂,减少用药量,延缓杂草抗药性。


CN201610635501.6公开了一种含有嘧苯胺磺隆和氰氟草酯的除草组合物,有效成分为嘧苯胺磺隆和氰氟草酯,嘧苯胺磺隆与氰氟草酯的重量份数比为10:1~1:10;本发明的除草组合物的防治水稻田一年生杂草的效果比单剂有了明显提高,降低了农药的使用剂量,减少了农药对生态环境的不利影响,对杂草抗性的综合治理有着重要意义,具有巨大的经济效益和社会效益。


CN201410138571.1涉及一种含有丙炔噁草酮和嘧苯胺磺隆的除草组合物,其有效成分为丙炔噁草酮和嘧苯胺磺隆,二者的重量比为10:1~1:10,更优比为5:1~1:3。


所述丙炔噁草酮和嘧苯胺磺隆重量总和在农药组合物中的重量百分比为0.1%~85%。该除草组合物具有协同增效作用,与单剂单独使用相比明显提高了除草效果,扩大了杀草谱,同时降低了农药使用量,减轻了对环境的污染、延缓了杂草抗药性的产生,主要应用于水稻田防治一年生杂草。


市场展望


嘧苯胺磺隆对水稻田稗草、莎草及阔叶杂草有较好的防效,且对后茬作物安全,其效果明显,性能优异,有很广阔的应用前景,相信未来几年会在我国得到广泛的应用。


来源:农博生物