病虫草害每年给农业生产造成了较大的损失,一般通过施用农用化学品来控制其为害。然而,近年来,多种农用化学品因环境和安全等问题先后被禁用或限用,常规农用化学品的数量在减少,有些病虫草害甚至面临无药可治的状况。另一方面,随着气候和环境的变化,不少病虫草害对常规农用化学品逐渐产生了耐药性,这使得常规药剂的药效大大降低,加大剂量又可能导致残留和安全等问题。因而,不断研究和开发广谱、高效和副作用小的新型农用化学品,对常规产品进行更新换代和补充拓展,对实现农业的可持续发展具有重要意义。
新开发的农用化学品在投放到全球市场之前,一般要向国际标准化组织(ISO)农用化学品通用名技术委员会申请国际通用名。自2018年以来,该委员会先后临时批准了多种具有全新化学结构的农用化学品,有望为病虫草害防治提供全新的轮换和治理工具。本文对这些农用化学品新品种的农业应用、合成路线及其开发趋势进行了梳理分析。
国际标准化组织农用化学品通用名技术委员会于2018年1月至2020年1月间临时批准并公布了13种新品种的国际英文通用名(表1)。其中,除草剂4种、杀虫剂3种、杀菌剂2种、杀螨剂2种、杀线虫剂和硝化抑制剂各1种。值得注意的是,四氯虫酰胺(tetrachlorantraniliprole)、乙唑螨腈(cyetpyrafen)和氟苯醚酰胺(flubeneteram)为中国自主创制品种,除草剂bixlozone和beflubutamid-M为新开发的老专利里的化合物。
表1 2018年1月至2020年1月间ISO公布的农用化学品新品种

2.1 除草剂
2.1.1 Bixlozone
Bixlozone是富美实公司在1981年开发的3-异噁唑啉酮类化合物,但在近年才作为选择性除草剂开发,代号F9600。Bixlozone的作用机理与异噁草松相同,属于1-脱氧-D-葡萄糖-5-磷酸酯(DOXP)抑制剂,可苗前或苗后处理以防除水果、蔬菜、棉花、甜菜、油菜、水稻、麦类和豆类等农作物田间的多种禾本科杂草和部分阔叶杂草。该品种同时对抗乙酰乳酸合酶(ALS)的杂草也具有较好的防治效果,且对作物安全。Bixlozone的化学结构及其合成路线(图1)与异噁草松相似。

图1 Bixlozone的化学结构及其合成路线
2.1.2 Beflubutamid-M
Beflubutamid-M是日本宇部产业公司(Ube Industries Limited)于1988年公开的酰胺类化合物,后来由德国Sthler Agrochemie GmbH(先后归属于科麦农公司和富美实公司)作为选择性除草剂开发商业化。氟丁酰草胺(beflubutamid)只有(S)-体才具有除草活性,富美实公司对该活性体进行了深入开发,代号F4050。Beflubutamid-M可用于防除谷物田间的阔叶杂草,同样防效的使用量约比其外消旋体氟丁酰草胺减半,因而大大降低了施用作物和环境的残留、对非靶标生物的副作用,有望替代氟丁酰草胺成为重要的谷物田除草剂。Beflubutamid-M的化学结构及其合成路线见图2。

图2 Beflubutamid-M的化学结构及其合成路线
2.1.3 Tetflupyrolimet
Tetflupyrolimet是杜邦公司于2015年公开的新型苯胺类手性除草剂,后由富美实公司开发,代号F9960。Tetflupyrolimet属于广谱苗前苗后处理剂,抑制敏感杂草中二氢磷酸脱氢酶,可有效防除大豆、玉米、小麦和水稻等农作物田间的多种双子叶杂草。Tetflupyrolimet的化学结构及其合成路线见图3。

图3 Tetflupyrolimet的化学结构及其合成路线
2.1.4 Dimesulfazet
Dimesulfazet是日本日产化学公司新开发的磺酰苯胺类选择性除草剂,代号NC-653。Dimesulfazet属于广谱性苗前苗后除草剂,对多种禾本科、莎草科及阔叶杂草均有效,可用于玉米和大豆等作物的苗前封闭处理,以及小麦苗后茎叶处理。Dimesulfazet的化学结构及其合成路线见图4。

图4 Dimesulfazet的化学结构及其合成路线
2.2 杀虫剂
2.2.1 四氯虫酰胺
四氯虫酰胺是沈阳化工研究院基于中间体衍生化法开发的新型含吡啶基吡唑的邻甲酰氨基苯甲酰胺类杀虫剂,代号SYP-9080。四氯虫酰胺的化学结构和作用机理与氯虫苯甲酰胺相似,属于鱼尼丁受体调节剂,可防治多种害虫,对稻纵卷叶螟、玉米螟和小菜蛾等鳞翅目类害虫具有超高活性。该杀虫剂的速效性好、持效期长,对哺乳动物低毒,可广泛用于水稻、玉米、蔬菜和果树等农作物。四氯虫酰胺的化学结构及其合成路线(图5)与氯虫苯甲酰胺相似。

图5 四氯虫酰胺的化学结构及其合成路线
2.2.2 Isocycloseram
Isocycloseram是先正达公司开发的新型异噁唑啉类杀虫剂,代号SYN547407。Isocycloseram含有2个手性中心,其化学结构新颖,作用机理尚未见报道。该杀虫剂对棉叶虫、小菜蛾、玉米根虫和烟青虫等鳞翅目害虫的虫卵及幼虫,以及全虫态的蚜虫、烟蓟马和红蜘蛛等具有较高活性,可用于棉花、蔬菜、水果和玉米等农作物以及烟草等经济作物。Isocycloseram的化学结构及其合成路线见图6。

图6 Isocycloseram的化学结构及其合成路线
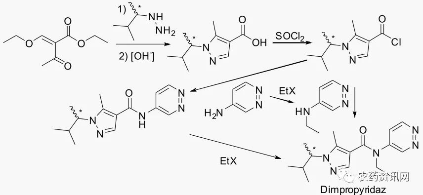
2.2.3 Dimpropyridaz
Dimpropyridaz是拜耳公司开发的新型吡唑酰胺类杀虫剂。该杀虫剂为含有一个手性中心的外消旋体, 其化学结构新颖,作用机理尚未见报道。Dimpropyridaz对多种无脊椎动物害虫均有较好防除效果,对全虫态的蚜虫有特效,可用于棉花、蔬菜和水果等农作物害虫防治。Dimpropyridaz的化学结构及其合成路线见图7。

图7 Dimpropyridaz的化学结构及其合成路线(X为卤素等取代基)
2.3 杀螨剂
2.3.1 乙唑螨腈
乙唑螨腈(cyetpyrafen)是沈阳化工研究院基于中间体衍生化法开发的β-酮腈衍生物类杀螨剂,代号SYP-9625。乙唑螨腈的化学结构和作用机理与腈吡螨酯相似,属于线粒体电子传递复合物Ⅱ抑制剂,在靶标害螨体内去酯活化后发挥作用。该杀螨剂属于负温度系数杀螨剂,对各个生长阶段的叶螨都具有很高活性,优于丁氟螨酯和腈吡螨酯。乙唑螨腈的化学结构及其合成路线见图8。需注意的是,与腈吡螨酯的化学构型不同,乙唑螨腈为顺式结构。

图8 乙唑螨腈的化学结构及其合成路线
2.3.2 Flupentiofenox
Flupentiofenox是日本组合化学公司开发的新型三氟甲基硫醚类杀螨剂,代号KII-9396。Flupentiofenox为含手性硫原子的外消旋体,其化学结构新颖,作用机制还尚未知。Flupentiofenox在低浓度时对二斑叶螨成虫和褐飞虱幼虫具有优异活性,可用于防控水果和蔬菜上的螨虫、水稻上的飞虱等有害节肢动物。Flupentiofenox的化学结构及其合成路线见图9。

图9 Flupentiofenox的化学结构及其合成路线
2.4 杀线虫剂
Cyclobutrifluram是先正达公司开发的新烟酰胺类专用杀线虫剂,由(1S,2S)-对映体和(1R,2R)-对映体组成,前者的含量不低于80%。Cyclobutrifluram的化学结构新颖,存在4种晶型,其中B和C为稳定晶型。Cyclobutrifluram可使线虫幼虫麻痹并抑制虫卵,直接施用或种子处理可有效控制黄瓜、番茄、玉米和甜菜等作物上的根结、甜菜胞囊和玉米短体等线虫。Cyclobutrifluram的化学结构及其合成路线见图10。

图10 Cyclobutrifluram的化学结构及其合成路线
2.5 杀菌剂
2.5.1 Fluoxapiprolin
Fluoxapiprolin是拜耳公司新开发的哌啶基噻唑异噁唑啉类杀菌剂,代号BCS-CS55621。Fluoxapiprolin为外消旋体,2个异构体的生物活性相同。该杀菌剂的主体化学结构与氟噻唑吡乙酮基本相同,推测其也为氧化固醇结合蛋白(OSBP)抑制剂,对卵菌纲病原菌如马铃薯、葡萄、西红柿和玉米等农作物的霜霉病和疫病具有卓越防效。Fluoxapiprolin的化学结构及其合成路线见图11。

图11 Fluoxapiprolin的化学结构及其合成路线
2.5.2 氟苯醚酰胺
氟苯醚酰胺(flubeneteram)是华中师范大学基于药效团连接碎片虚拟筛选策略(PFVS)开发的新型琥珀酸脱氢酶抑制剂类吡唑酰胺类杀菌剂,代号Y13149。该杀菌剂具有内吸传导性,用量较低且与常规的吡唑酰胺类杀菌剂无交互抗性,对纹枯病和白粉病的抑制活性优于噻呋酰胺,氟苯醚酰胺对琥珀酸脱氢酶的抑制活性约是吡噻菌胺的4倍多,对白粉病的活性也优于氯苯醚酰胺,与噻呋酰胺和啶酰菌胺相比较具有一定的成本优势。此外,氟苯醚酰胺对马铃薯晚疫病也有较高防效。氟苯醚酰胺的化学结构及其合成路线见图12。

图12 氟苯醚酰胺的化学结构及其合成路线
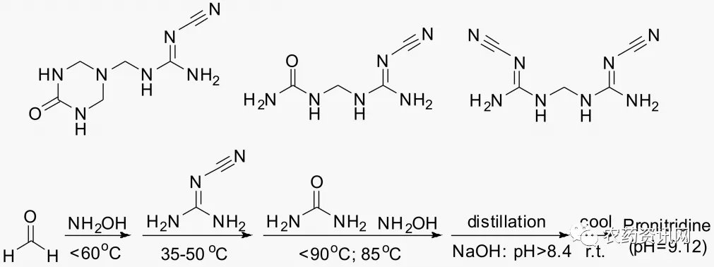
2.6 硝化抑制剂
Pronitridine是由美国科氏公司于2014年公开报道的新型胍类硝化抑制剂,代号KAS771G77。该硝化抑制剂是近40年来第一个取得美国环保署(EPA)注册登记的硝化抑制剂,可用作含氨或尿素的氮肥硝化抑制剂,阻止铵态氮氧化为硝酸盐氮,减少氮肥浸出流失,保持作物根部更多可供吸收的氮肥,提高作物产量,可用于油菜、玉米、棉花、水稻、高粱、玉米和小粒谷类等多种农作物。Pronitridine的3种主要组成物及其合成见图13。

图13 Pronitridine的3种主要组成物及其合成路线
新型农用化学品的持续研究开发并投放市场,为农业增产增收及可持续发展提供了重要的保障。随着食品健康和生态环境对新农药品种的要求越发严格,新品种的开发难度和投入也在剧增。新农用化学品从专利申请到国际通用名获批的时间间隔可能长达十多年,加上商业化的生产开发、试验登记和应用推广则更长。具有潜在全球商业化开发价值的新品种的开发速度在持续放缓,图14对1988年以来ISO每年公开的农用化学品数量进行了统计比较和趋势分析。可以看到,近年来ISO公开的新品种降到了较低水平。
另一方面,同期新农用化学品的开发也呈现出了一些趋势特点:一是手性和顺反异构体等空间构型在新产品开发中的地位凸显,beflubutamid-M、tetflupyrolimet、isocycloseram、dimpropyridaz、cyclobutrifluram、fluoxapiprolin和乙唑螨腈等品种上都有体现;二是对专利里老化合物的开发引起了关注,有望为新品种的开发上市开辟有效的捷径;三是螨虫、线虫和硝化抑制作用的细分靶标得到了重视, 乙唑螨腈、flupentiofenox、cyclobutrifluram和pronitridine等专性品种前景看好;四是中国自主创制品种国际化取得重要进展,2008年以来国际通用名获批的专利品种数量占到了总数的15%。当然,开发具有新颖化学结构的和独特作用机制的新品种仍然是农用化学品开发的重要目标。

图14 1998年以来ISO公布的农用化学品数量的统计比较和趋势分析(2020年截至1月份)
总的来说,近年来ISO公布的13种农用化学品新品种都具有独特的化学结构,广谱、高效且副作用小,具有较好的农业应用和国际市场前景,值得关注与研究。未来,应加强对这些新品种的作用机制和抗性研究,开发基于综合治理策略的产品组合和应用技术,扩展产品应用范围,延长产品生命周期。另一方面,不断优化生产工艺、降低生产和使用成本,甚至进行相关衍生品种的开发,也具有重要的现实意义。
来源:《农药科学与管理》