溴虫氟苯双酰胺是三井化学Agro株式会社发现、三井化学和巴斯夫共同开发的间二酰胺类(或间苯甲酰氨基苯甲酰胺类、间苯二甲酰胺类)杀虫剂,于2019年在澳大利亚上市,主要用于防治鳞翅目、鞘翅目如斜纹夜蛾、茶小卷叶蛾、黄曲条跳甲、小菜蛾、二化螟和稻纵卷叶螟、白蚁、蟑螂以及蚊蝇等作物上的常见害虫,目前已有的研究表明溴虫氟苯双酰胺对幼虫和成虫都有优良的活性。
化学名称:3-苯甲酰胺基-N-(4-七氟异丙基苯胺-2-甲基)苯基)苯甲酰胺
商品名:格力高®、芙利亚®、爱利可多®
CAS:1207727-04-5
化学式:C25H14BrF11N2O2
分子量:663.277
结构式:

研究表明,溴虫氟苯双酰胺是GABA门控氯离子通道 (又称为离子型GABA 受体) 变构调节剂,主要作用于该离子通道上一个独特的结合位点,抑制氯离子向细胞内传递,导致昆虫过度兴奋或痉挛,从而显示出快速的杀虫活性。
2017年,溴虫氟苯双酰胺被国际杀虫剂抗性行动委员会 指定为新类别:Group 30 (作用机制:离子型GABA 受体变构调节剂;化学类别:间二酰胺&异噁唑啉)。

溴虫氟苯双酰胺主要用于防除绿叶蔬菜、多年生作物和谷物等作物上的鳞翅目、鞘翅目、缨翅目、白蚁以及蚊蝇等害虫。另外也可用作种子处理剂,防治危害谷物的线虫,用于非作物用途,防治白蚁、蚁类、蜚蠊、蝇类等害虫。此外,该剂对斜纹夜蛾具有较高的杀幼虫活性,同时对西花蓟马、黑刺粉虱和小贯小绿叶蝉等昆虫均具有较好的杀虫活性。对水稻稻飞虱效果一般。

溴虫氟苯双酰胺目前在我国已登记上市的有5%悬浮剂(芙利亚®、爱利可多®)和100克/升悬浮剂(格力高®)两个剂型。
主要用于防控甘蓝、白菜、菜花、萝卜等十字花科蔬菜的小菜蛾、甜菜夜蛾、菜青虫、斜纹夜蛾、甘蓝夜蛾等鳞翅目食叶害虫及黄条跳甲等,一般使用5%悬浮剂1000~1500倍液、或100克/升悬浮剂2000~3000倍液,在害虫发生初期或鳞翅目害虫卵孵化盛期至低龄幼虫期均匀周到喷雾,5~7天1次,根据观察溴虫氟苯双酰胺抗性起的比较快注意与其他不同杀虫机理药剂交替使用。
另据试验验证,该药在豇豆上也可用于防控豇豆蓟马,在豇豆开花至花未闭合前使用上述剂量均匀周到喷药,能有效防控豇豆蓟马对豆角龙头的为害。
1. 结构特殊作用机理独特:溴虫氟苯双酰胺具有双酰胺结构,这一特点使得它成为一种γ-氨基丁酸(GABA)门控氯离子通道别构调节剂。
2. 杀虫谱广:溴虫氟苯双酰胺能够有效防治多种有害昆虫,包括但不限于鳞翅目、鞘翅目害虫,如小菜蛾、夜蛾、跳甲等。对白蚁、蚂蚁、蜚蠊、苍蝇等卫生害虫也有较好的防效。可开发为卫生用药。
3. 杀虫活性高:对小菜蛾、甜菜夜蛾等鳞翅目昆虫有极高活性,对斜纹夜蛾具有很高的杀幼虫活性,对蓟马类害虫也有很好的防治效果,对二化螟和稻纵卷叶螟的杀虫活性要高于氟苯虫酰胺,对蚕豆蚜虫Aphis fabae和黏虫的杀虫活性要优于溴氰虫酰胺。
4. 持效期长:溴虫氟苯双酰胺在正常使用情况下,对登记作物安全,并且其持效期较长。耐雨水冲刷,药后1小时降雨无需重喷。
5. 与现有杀虫剂无交互抗,使用安全:对抗性害虫有效:溴虫氟苯双酰胺可有效防治对其他杀虫剂产生抗性的害虫,尤其是对氟虫腈产生抗性的害虫。
6. 环境友好,安全低毒:对某些水生生物如水蚤、鲤鱼、虹鳟等毒性较低,对人类和其他哺乳动物相对安全无毒。
7. 作用方式多样:以胃毒和触杀作用为主,速效性好,2小时见效,药后24小时即能见到死虫,使害虫快速停止危害。
根据中国农药信息网数据,溴虫氟苯双酰胺在中国共有3个登记证,登记作物为甘蓝、白菜,防治对象为小菜蛾、甜菜夜蛾、黄条跳甲。
2018年3月,三井化学公司的溴虫氟苯双酰胺在日本获得登记,用于白蚁防治的土壤处理剂,并于2019年11月在日本上市。
2019年12月19日,巴斯夫公司的溴虫氟苯双酰胺原药在澳大利亚农药兽药管理局获得登记,这是巴斯夫公司的溴虫氟苯双酰胺在全球的首个登记。随后,溴虫氟苯双酰胺陆续在日本、加拿大、中国和美国获得登记。




根据目前的专利检索可以发现溴虫氟苯双酰胺目前主流复配药剂有虫螨腈、茚虫威、甲氧虫酰肼、氟啶虫胺腈等防止大虫的组合,也有多杀菌素、唑虫酰胺、苦参碱等防治小虫的组合复配。以及新烟碱类、菊酯类和其他双酰胺类广谱型的杀虫剂组合。另外还可开发为颗粒剂和药肥。
溴虫的结构还是两个酰胺的结构,一个是N-甲基酰胺,一个是二级胺,N-甲基酰胺合成相对简单,另外一个酰胺的合成可能会伴随多种杂质的生产。根据文献查询主要的合成路线有以下几种。
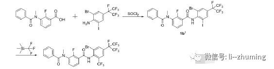
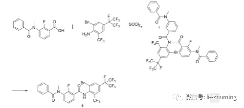
路线一:以2-氟-3-(N-甲基苯甲酰胺基)苯甲酸为原料,制作成酰氯,然后与2-溴-4-(全氟丙烷-2-基)-6-(三氟甲基)苯胺缩合主要生成的产物为酰亚胺化合物,还需要对该产物进行多次碱解才能得到溴虫原药。反应过程需要苯甲酸大大过量,一般反应中2-氟-3-(N-甲基苯甲酰胺基)苯甲酸的用量为相应苯胺的2.4倍,为避免原料浪费,需对该酸进行回收,整个工艺步骤少,但是操作繁琐。
路线二:以2-氟-3-(N-甲基苯甲酰胺基)苯甲酸为原料,制备酰氯,然后与2-溴-6-碘-4-(全氟丙烷-2-基) 苯胺缩合得到酰胺,其所涉及的缩合反应虽较路线1更易进行,但同样需要大大过量的苯甲酸原料,需进行碱分解和酸回收操作,得到酰胺后,还需进行烷基化才能最终得到溴虫原药,所需的两步合成总收率较路线一中的一步合成略低。
路线三:以2-氟-3-(N-甲基苯甲酰胺基)苯甲酸为原料,制备酰氯,然后与2-三氟甲基苯胺缩合得到关键酰胺结构。该结构与2-碘七氟丙烷作用后,再通过N-溴代琥珀酰亚胺(NBS)进行溴化得到溴虫。
其中七氟异丙基取代反应的产率略低,剩余原料与产物性质接近,产物提纯较为困难。并且,溴化过程通常在氢化钠存在下进行,在工业化生产中,氢化钠使用比较困难,操作要求高,进一步提高成本,其他无机碱,如氢氧化钠等,则收率较低,路线总收率将大幅下降。
路线四:以2-氯-3-硝基苯甲酸为原料,制备酰氯,然后与2-溴-4-(全氟丙烷-2-基)-6-(三氟甲基)苯胺为主要中间体制得酰胺结构,而后使用 KF进行氟化,使用SnCl2进行硝基还原,再通过浓硫酸-甲醛法实现 N-甲基化,最后与苯甲酰胺缩合得到溴虫。
其中酰胺结构的合成,需在-70℃下,使用强碱二异丙基氨基锂实现,反应条件较为苛刻,反应收率也较低;在N-甲基步骤中,浓硫酸既作催化剂也作溶剂,对设备腐蚀严重;同时,反应各步需使用柱色谱进行分离提纯。改路线仅仅适用于工艺等研究方面。
路线五:以2-氟-3-硝基苯甲酸为原料,制备酰氯,然后与2-溴-6-碘-4-(全氟丙烷-2-基)苯胺为关键中间体制得酰胺结构,其与三氟甲基三甲基硅烷作用实现烷基化后,再经硝基还原、N-甲基化、苯甲酰胺化得到原药。
该路线与路线四较为相似,不同之处在于其构建核心结构时反应条件更为温和,收率也更为理想,但酸用量较大(为苯胺的2倍),需进行酸回收。其中各步反应也需要通过柱色谱进行提纯分离。同样用于研发工艺等需要,不适合工业化生产。
2-氟-3-(N-甲基苯甲酰胺基)苯甲酸可以由苯甲酸与2-氟-3-羧基苯胺类化合物酰胺化反应制备。2-溴-4-(全氟丙烷-2-基)-6-(三氟甲基)苯胺可以由邻三氟甲基苯胺与2-卤代七氟丙烷反应得到2-三氟甲基-4-七氟丙烷苯胺,然后再进行溴化得到2-溴-4-(全氟丙烷-2-基)-6-(三氟甲基)苯胺。
杀虫剂在我国农业、林业和公共卫生害虫防治方面均发挥着重要作用。有机磷类、氨基甲酸酯类、拟除虫菊酯类、烟碱类和大环内酯类等杀虫剂曾被广泛使用,然而,随着人们对环保的日益重视及其本身的毒性、害虫产生抗药性或其对环境的生态毒性等原因,这些杀虫剂相继被限用或淘汰。传统的双酰胺类杀虫剂面临的问题也接踵而至,而新型双酰胺类杀虫剂溴虫氟苯双酰胺是以氟苯虫酰胺为先导,通过结构优化而成功研发的,两者在结构上具有一定相似性,但双酰胺结构从邻位到间位的改变以及对部分结构进行修饰后导致作用靶标发生了改变,这为未来新型杀虫剂的研发提供了很好的思路。溴虫氟苯双酰胺的作用位点独特,进一步明确其作用模式可为开发新型、高选择性杀虫剂提供更多的理论依据,另外溴虫氟苯双酰胺对哺乳动物和水生生物低毒,作为新型农用杀虫剂使用具有较广阔的应用前景。
